Cascaded Multi-Level Linear-Optical Quantum Router
- 172 Downloads
- 2 Citations
Abstract
Quantum router is the requisite element in the future quantum network. In this paper, we describe an approach for constructing the cascaded multi-level quantum router, which is based on the previous work of Lemr et al. (Phys. Rev. A 87, 062333 (2013)). We show that the signals in the router output ports of the ith level can be regarded as the input signals of the (i + 1)th level. In this way, the cascaded multi-level quantum router can be constructed. We can obtain a K level quantum router with 2 K output ports. We also show that with the help of tunable c-phase gate, the success probability of the quantum router can be increased. Moreover, by exploiting the quantum nondemolition (QND) measurement, the control qubits can be reused to decrease the resource of the router. This protocol is useful for future quantum network.
Keywords
Quantum communication Quantum network Quantum router1 Introduction
Quantum information processing is an interdisciplinary of physics and information science [1, 2]. Using quantum laws to process information has great advantage, which the traditional classical methods do not have [3]. It has attracted much attention and reached remarkable achievements. Quantum communication protocols, such as quantum teleportation [4], quantum key distribution (QKD) [5, 6, 7, 8, 9, 10, 11, 12, 13, 14], quantum secure direct communication [15, 16, 17, 18, 19, 20, 21, 22, 23] and some other protocols have been widely discussed in the past ten years [24, 25, 26, 27]. On the other hand, quantum network is an indispensable technology allowing people to transmit quantum information [28, 29].
It is known that the important building block of classical information networks are the router devices, which are used to direct the information from the source to its intended destination. Similar to classical router, quantum router as a quantum node coherently connects different quantum channels and different quantum networks. Another function of the quantum router is the path selection of quantum communication, but cannot influence the quantum states. Quantum router will have the similar function with classical router in the future, such as selecting a smooth and rapid path, improving the communication speed, reducing the network communication load, saving network resources, and improving the network system flow rate. Quantum router is an important part of the quantum network composition which represents the rapidly developing research area of the quantum information processing. Recently, many theoretical proposals and experimental demonstrations of quantum router have been carried out in various systems [30, 31, 32, 33, 34, 35, 36, 37, 38, 39, 40, 41, 42, 43, 44, 45]. For example, in 2009, Aoki and Parkins realized a photon router using single cesium atoms coupled to a microtoroidal cavity in the over coupled regime [39]. In 2013, Lemr and Černoch proposed a programmable quantum router based on linear-optical element [40], and their protocol is developed subsequently [41].
On the other hand, the multi-port quantum router can be more resilient to the future complex quantum network, compared with the two output-port quantum router. Quantum router with multi-port can send signals to more destinations and realize more complex functionality. In 2013, Zhou and Yang proposed a quantum routing of single photons with cyclic three-level system [42]. In 2014, Lu and Zhou proposed a single-photon router which is a coherent control of multichannel scattering for single photons with quantum interferences using the coupled-resonator waveguide as the quantum channel [43]. In 2014, Yan and Fan proposed a scheme to achieve the multi-channel quantum routing of the single photons in a waveguide-emitter system [44]. Recently, Shomroni and Rosenblum demonstrated the experimental realization which was an all-optical coherent routing of single photons by single photons, with no need for any additional control fields [45].
It is known that the linear optics which takes advantage of easy manipulation, has been widely discussed in quantum information processing. In Re. [41], Lemr et al. described the two-port quantum router based on the linear optics. However, they do not discuss the multi-level and multi-port quantum router. In this paper, we will discuss the multi-level quantum router, where the basic elements are based on the Re. [41]. It is shown that the signals in the router output ports of the ith level can be regarded as the input signals of the (i + 1)th level. In this way, the cascaded multi-level quantum router can be constructed. We can obtain a K level quantum router with 2 K output ports. We also show that with the help of tunable c-phase gate, the success probability of the quantum router can be increased. Moreover, by exploiting the quantum nondemolition (QND) measurement, the control qubits can be reused to decrease the resource of the router.
The paper is organized as follows: in Section 2, we describe the principle of the multiple-port quantum router, give the expression of the output states, and calculate the success probability of each output port. In Section 3, we use the tunable c-phase gate in our multiple-port quantum router to increase the success probability. In Section 4, we will briefly discuss the quantum router with quantum nondemolition (QND) measurement. In Section 5, we will provide a discussion and conclusion.
2 Basic Model of Quantum Router
Basic model of the quantum router [41]. Signal qubit is routed into a coherent superposition of two output modes S 1, S 2, depending on the state of the control qubit
The success probability of the one-level quantum router [41], which is altered with θ. The total success probability of \(P^{(1)}_{succ}\) can reach the maximum of 1/8 when θ = 0, and can reach the minimum of 1/24 when \(\theta =\frac {\pi }{2}\)
The model of cascaded two-level quantum router with four output ports
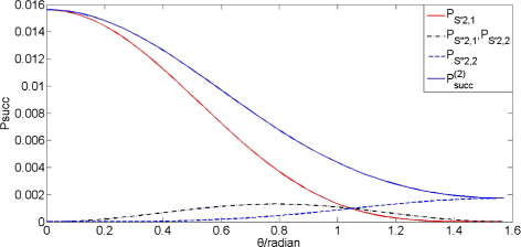
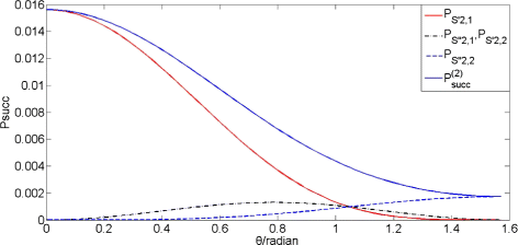
The success probability of the two-level quantum router. Suppose that all the control qubits are the same. The success probability of port \(S_{2,1}^{\prime \prime }\) is equal to port \(S_{2,2}^{\prime }\), because \(P_{s_{2,1}^{\prime \prime }}=P_{s_{2,2}^{\prime }}=|A^{\prime }A^{\prime \prime }|^{2}\)
Here, i = 1, 2, ⋯ and j = 1, 2, ⋯2 i−1. The index of i means the ith level quantum router and the index of j means the jth quantum router.
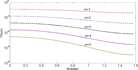
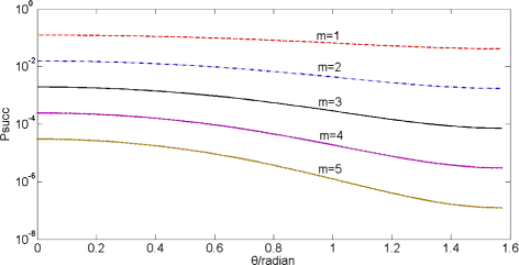
The total success probability of the multi-level quantum router. Here m is the number of the level
3 Improvement of Multi-port Router by Tunable C-Phase Gate
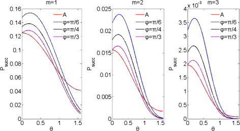
Further more, if the control qubit of each router and all the c-phase gate are all the same, the success probability of the state in the third level can be simplified as \(P_{succ}^{(3)}=\left (P_{succ}^{(1)}\right )^{3}=\left (|A^{\prime }|^{2}+|A^{\prime \prime }|^{2}\right )^{3}\), and the success probability of the mth level \(P_{succ}^{(m)}=\left (P_{succ}^{(1)}\right )^{m}=\left (|A^{\prime }|^{2}+|A^{\prime \prime }|^{2}\right )^{m}\).
4 Multilevel Multiple-qubit Router
5 Discussion and Conclusion
So far, we have fully described our cascaded multi-level quantum router. From above description, each signals in the output ports can be regarded as the initial signal, which can be used to implement the cascaded multi-level quantum router, by adding another control qubits. Suppose that the level of the router is K, we can obtain 2 K output ports, which is analogy with the classical router in current network.
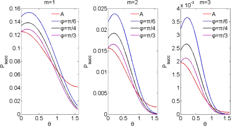
The success probability of the multi-level quantum router using the generalized c-phase gate and tunable c-phase gate, altered with θ. Curve A is the success probability with generalized c-phase gate and the other curves are the success probability with tunable c-phase gate, respectively. It is shown that the success probability can be improved using the tunable c-phase gate by changing θ in the approximate area θ ∈ (0, 1)
Finally, let us briefly discuss the basic elements in our protocol. In this protocol, we essentially exploit the basic block of quantum router to obtain the cascaded quantum router. The basic block of the quantum router is shown in Fig. 1, which is first discussed in Re. [41]. As discussed in Re. [41], the basic elements such as the generalized c-phase gate, PPG, and QND are all based on the linear optics. Certainly, we should point out that to implement the QND with linear optics, they should require the auxiliary entangled photon pair. Moreover, the total success probability cannot reach 100 %. Usually, the QND can be implemented with the nonlinear optics [53, 54]. For example, the cross-Kerr nonlinearity is a good candidate to construct the QND, which has been widely discussed and used in current quantum information processing [55, 56, 57, 58, 59, 60].
In conclusion, we have described an approach to implement the cascaded multi-level quantum router. We can obtain a K level quantum router with 2 K output ports. The signals in the output port of the ith level can be regarded as the signals of the input ports of the (i + 1)th level. We calculated all the states and each success probability in the output ports. On the other hand, it is shown that, with the help of tunable c-phase gate, we can also improve the total success probability. Moreover, with the help of the QND, we can improve this protocol by reusing the control qubits, which can save the initial resources. We hope that this protocol is useful in future quantum network.
Notes
Acknowledgments
This work is supported by the National Natural Science Foundation of China under Grant Nos. 11474168 and 61401222, the Qing Lan Project in Jiangsu Province, the open research fund of Key Lab of Broadband Wireless Communication and Sensor Network Technology, Nanjing University of Posts and Telecommunications, Ministry of Education (No. NYKL201303), and a Project Funded by the Priority Academic Program Development of Jiangsu Higher Education Institutions.
References
- 1.Bennett, C.H., DiVincenzo, D.P.: Nature 404, 247–255 (2000)ADSCrossRefGoogle Scholar
- 2.Biolatti, E., Iotti, R.C., Zanardi, P., Rossi, F.: Phys. Rev. Lett. 85, 5647 (2000)ADSCrossRefGoogle Scholar
- 3.Bocchieri, P., Loinger, A.: Lettere al Nuovo Cimento 39, 148–150 (1984)CrossRefGoogle Scholar
- 4.Bennett, C.H., Brassard, G., Crépeau, C., Jozsa, R., Peres, A., Wootters, W.K.: Phys. Rev. Lett. 70, 1895–1899 (1993)MathSciNetADSCrossRefMATHGoogle Scholar
- 5.Bennett, C.H., Brassard, G.: In Proceedings of IEEE International Conference on Computers, Systems and Signal Processing, 175–179 (1984)Google Scholar
- 6.Ekert, A.K.: Phys. Rev. Lett. 67, 661–663 (1991)MathSciNetADSCrossRefMATHGoogle Scholar
- 7.Bennett, C.H., Brassard, G., Mermin, N.D.: Phys. Rev. Lett. 68, 557 (1992)MathSciNetADSCrossRefMATHGoogle Scholar
- 8.Deng, F.G., Long, G.L.: Phys. Rev. A 68, 042315 (2003)ADSCrossRefGoogle Scholar
- 9.Deng, F.G., Long, G.L.: Phys. Rev. A 70, 012311 (2004)ADSCrossRefGoogle Scholar
- 10.Ma, X., Qi, B., Zhao, Y., Lo, H.K.: Phys. Rev. A 72, 012326 (2005)ADSCrossRefGoogle Scholar
- 11.Ma, X., Fung, C.H.F., Lo, H.K.: Phys. Rev. A 76, 012307 (2007)ADSCrossRefGoogle Scholar
- 12.Li, X.H., Deng, F.G., Zhou, H.Y.: Phys. Rev. A 78, 022321 (2008)ADSCrossRefGoogle Scholar
- 13.Zhang, C.M., Song, X.T., Treeviriyanupab, P., Li, M., Wang, C., Li, H.W., Han, Z.F.: Chin. Sci. Bull. 59, 2825–2828 (2014)CrossRefGoogle Scholar
- 14.Su, X.: Chin. Sci. Bull. 59, 1083–1090 (2014)CrossRefGoogle Scholar
- 15.Long, G.L., Liu, X.S.: Phys. Rev. A 65, 032302 (2002)ADSCrossRefGoogle Scholar
- 16.Deng, F.G., Long, G.L., Liu, X.S.: Phys. Rev. A 68, 042317 (2003)ADSCrossRefGoogle Scholar
- 17.Deng, F.G., Long, G.L.: Phys. Rev. A 69, 052319 (2004)ADSCrossRefGoogle Scholar
- 18.Wang, C., Deng, F.G., Li, Y.S., Liu, X.S., Long, G.L.: Phys. Rev. A 71, 044305 (2005)ADSCrossRefGoogle Scholar
- 19.Chang, Y., Xu, C., Zhang, S., Yan, L.: Chin. Sci. Bull. 58, 4571–4576 (2013)CrossRefGoogle Scholar
- 20.Gu, B., Huang, Y.G., Fang, X., Chen, Y.L.: Commun. Thero. Phys. 56, 659–663 (2011)ADSCrossRefMATHGoogle Scholar
- 21.Gu, B., Huang, Y.G., Fang, X., Zhang, C.Y.: Chin. Phys. B 20, 100309 (2011)ADSCrossRefGoogle Scholar
- 22.Chang, Y., Zhang, S., Yan, L., Li, J.: Chin. Sci. Bull. 59, 2835–2840 (2014)CrossRefGoogle Scholar
- 23.Chang, Y., Xu, C., Zhang, S., Yan, L.: Chin. Sci. Bull. 59, 2541–2546 (2014)CrossRefGoogle Scholar
- 24.Liu, Y.: Chin. Sci. Bull. 58, 2927–2931 (2013)CrossRefGoogle Scholar
- 25.Liu, Y., Ouyang, X.: Chin. Sci. Bull. 58, 2329–2333 (2013)CrossRefGoogle Scholar
- 26.Heilmann, R., Gräfe, M., Nolte, S., Szameit, A.: Sci. Bull. 60, 96–100 (2015)Google Scholar
- 27.Xu, J.-S., Li, C.-F.: Sci. Bull. 60, 141–141 (2015)Google Scholar
- 28.Kimble, H.: Nature 453, 1023–1030 (2008)ADSCrossRefGoogle Scholar
- 29.Qin, W., Wang, C., Cao, Y., Long, G.L.: Phys. Rev. A 89, 062314 (2014)ADSCrossRefGoogle Scholar
- 30.Ham, B.S.: ETRI journal 23, 106–110 (2001)CrossRefGoogle Scholar
- 31.Zhang, T., Mo, X.F., Han, Z.F., Guo, G.C.: Phys. Lett. A 372, 3957–3962 (2008)MathSciNetADSCrossRefMATHGoogle Scholar
- 32.Zueco, D., Galve, F., Kohler, S., Hänggi, P.: Phys. Rev. A 80, 042303 (2009)ADSCrossRefMATHGoogle Scholar
- 33.Yupapin, P., Mitatha, S.: Recent Patents Comput. Sci. 2, 14–20 (2009)CrossRefGoogle Scholar
- 34.Hoi, I.C., Wilson, C.M., Johansson, G., Palomaki, T., Peropadre, B., Delsing, P.: Phys. Rev. Lett. 107, 073601 (2011)ADSCrossRefGoogle Scholar
- 35.Ma, X.S., Zotter, S., Kofler, J., Jennewein, T., Zeilinger, A.: Phys. Rev. A 83, 043814 (2011)ADSCrossRefGoogle Scholar
- 36.Agarwal, G.S., Huang, S.: Phys. Rev. A 85, 021801 (2012)ADSCrossRefGoogle Scholar
- 37.Liu, Y.K., Wang, S.C., Li, Y.Y., Song, L.Y., Xie, X.S., Feng, M.N., Krauss, T.F.: Light: Science & Applications 2, e52 (2013)CrossRefGoogle Scholar
- 38.Xia, K., Twamley, J.: Phys. Rev. X 3, 031013 (2013)Google Scholar
- 39.Aoki, T., Parkins, A.S., Alton, D.J., Regal, C.A., Dayan, B., Ostby, E., Kimble, H.J.: Phys. Rev. Lett. 102, 083601 (2009)ADSCrossRefGoogle Scholar
- 40.Lemr, K., Černoch, A.: Opt. Commun. 300, 282–285 (2013)ADSCrossRefGoogle Scholar
- 41.Lemr, K., Bartkiewicz, K., Černoch, A., Soubusta, J.: Phys. Rev. A 87, 062333 (2013)ADSCrossRefGoogle Scholar
- 42.Zhou, L., Yang, L.P., Li, Y., Sun, C.P.: Phys. Rev. Lett. 111, 103604 (2013)ADSCrossRefGoogle Scholar
- 43.Lu, J., Zhou, L., Kuang, L.M., Nori, F.: Phys. Rev. A 89, 013805 (2014)ADSCrossRefGoogle Scholar
- 44.Yan, W.B., Fan, H.: Scientific Reports 4, 4820 (2014)ADSGoogle Scholar
- 45.Shomroni, I., Rosenblum, S., Lovsky, Y., Bechler, O., Guendelman, G., Dayan, B.: Science 345, 903–906 (2014)ADSCrossRefGoogle Scholar
- 46.Xiu, X.M., Dong, L., Gao, Y.J., Yi, X.X.: Quantum Inf. Comput. 12, 159–170 (2012)MathSciNetMATHGoogle Scholar
- 47.Xiu, X.M., Dong, L., Shen, H.Z., Gao, Y.J., Yi, X.X.: J. Opt. Soc. Am. B 30, 589–597 (2013)ADSCrossRefGoogle Scholar
- 48.Miková, M., Fikerová, H., Straka, I., Mičuda, M., Fiurášek, J., Ježek, M., Dušek, M.: Phys. Rev. A 85, 012305 (2012)ADSCrossRefGoogle Scholar
- 49.Lemr, K., Černoch, A., Soubusta, J., Kieling, K., Eisert, J., Dušek, M.: Phys. Rev. Lett. 106, 013602 (2011)ADSCrossRefGoogle Scholar
- 50.Kieling, K., O’Brien, J.L., Eisert, J.: New J. Phys. 12, 013003 (2010)ADSCrossRefGoogle Scholar
- 51.Yang, C.P., Zheng, S.B., Nori, F.: Phys. Rev. A 82, 062326 (2010)ADSCrossRefGoogle Scholar
- 52.DiCarlo, L., Chow, J.M., Gambetta, J.M., Bishop, L.S., Johnson, B.R., Schuster, D.I., Schoelkopf, R.J.: Nature 460, 240–244 (2009)ADSCrossRefGoogle Scholar
- 53.Nemoto, K., Munro, W.J.: Phys. Rev. Lett. 93, 250502 (2004)ADSCrossRefGoogle Scholar
- 54.Barrett, S.D., Kok, P., Nemoto, K., Beausoleil, R.G., Munro, W.J., Spiller, T.P.: Phys. Rev. A 71, 060302 (2005)ADSCrossRefGoogle Scholar
- 55.He, B., Ren, Y., Bergou, J.A.: Phys. Rev. A 79, 052323 (2009)ADSCrossRefGoogle Scholar
- 56.He, B., Lin, Q., Simon, C.: Phys. Rev. A 83, 053826 (2011)ADSCrossRefGoogle Scholar
- 57.Xu, J., Chen, L.W., Li, B.A., Ma, H.R.: Phys. Rev. A 79, 035802 (2009)ADSCrossRefGoogle Scholar
- 58.Sheng, Y.B., Deng, F.G., Zhou, H.Y.: Phys. Rev. A 77, 042308 (2008)ADSCrossRefGoogle Scholar
- 59.Sheng, Y.B., Deng, F.G., Zhou, H.Y.: Phys. Rev. A 77, 062325 (2008)ADSCrossRefGoogle Scholar
- 60.Sheng, Y.B., Zhou, L., Zhao, S.M., Zheng, B.Y.: Phys. Rev. A 85, 012307 (2012)ADSCrossRefGoogle Scholar





