The interrelation between temperature regimes and fish size in juvenile Atlantic cod (Gadus morhua): effects on growth and feed conversion efficiency
- 992 Downloads
- 32 Citations
Abstract
The present paper describes the growth properties of juvenile Atlantic cod (Gadus morhua) reared at 7, 10, 13 and 16 °C, and a group reared under “temperature steps” i.e. with temperature reduced successively from 16 to 13 and 10 °C. Growth rate and feed conversion efficiency of juvenile Atlantic cod were significantly influenced by the interaction of temperature and fish size. Overall growth was highest in the 13 °C and the T-step groups but for different reasons, as the fish at 13 °C had 10% higher overall feeding intake compared to the T-step group, whereas the T-step had 8% higher feeding efficiency. After termination of the laboratory study the fish were reared in sea pens at ambient conditions for 17 months. The groups performed differently when reared at ambient conditions in the sea as the T-step group was 11.6, 11.5, 5.3 and 7.5% larger than 7, 10, 13 and 16 °C, respectively in June 2005. Optimal temperature for growth and feed conversion efficiency decreased with size, indicating an ontogenetic reduction in optimum temperature for growth with increasing size. The results suggest an optimum temperature for growth of juvenile Atlantic cod in the size range 5–50 g dropping from 14.7 °C for 5–10 g juvenile to 12.4 °C for 40–50 g juvenile. Moreover, a broader parabolic regression curve between growth, feed conversion efficiency and temperature as size increases, indicate increased temperature tolerance with size. The study confirms that juvenile cod exhibits ontogenetic variation in temperature optimum, which might partly explain different spatial distribution of juvenile and adult cod in ocean waters. Our study also indicates a physiological mechanism that might be linked to cod migrations as cod may maximize their feeding efficiency by active thermoregulation.
Keywords
active thermoregulation behavioural growth physiology feed conversion efficiency optimal growth temperatures size dependent growthIntroduction
Many fish species thermoregulate behaviourally through natural behaviour, i.e., seek out a temperature close to their optimal temperature for growth (Zinichev and Zotin 1987; Hill and Magnuson 1990). Hence, temperature preferanda will tend to coincide with the optimal temperature for growth (Hill and Magnuson 1990; Gadomski and Caddell 1991). In their review of the ontogenetic effects on thermal preferences of fish, McCauley and Huggins (1979) concluded that, in some fishes, there were shifts in temperature choices towards lower temperatures for larger fish. If left for a sufficient time in a temperature gradient, fish will eventually ‘gravitate’ to a final preferred temperature (Reynolds and Casterlin 1979; Larsson 2005), defined as the final preferendum temperature (Fry 1947). For several fish species, the final preferendum temperatures are suggested to coincide with the optimal temperature for growth (McCauley and Huggins 1979) or alternatively near the optimal temperature for growth efficiency (Larsson 2005). In a laboratory trial with Arctic charr (Salvelinus alpinus) the fish selected temperature lower than its optimal temperature for growth hence maximising its growth efficiency as optimal temperature for feed conversion is suggested to be lower than temperature for optimal growth (Jobling 1997; Larsson 2005). Little is known about temperature preferendum of wild juvenile Atlantic cod (Gadus morhua L.). Studies have indicated that wild juvenile cod may inhabit areas with sub-optimal growth temperatures (Kristiansen et al. 2001) in order to optimize their probability of survival, whereas other studies indicate that migratory behaviour of cod may depend on foraging strategies (Pálsson and Thorsteinsson 2003) and can broadly be divided into deep- or shallow-water migrations. The shallow-water cod appear to follow the seasonal trend in temperature characteristic for shelf waters where large seasonal differences in temperature may occur (with maximum temperatures in late summer/autumn, and minimum temperatures in late spring). The deep-water cod, however, migrate to deeper and cooler waters and increase their vertical movement. In this scenario the shallow-water cod would be more sedentary and display higher growth but at a higher predation risk. The study of Hanson (1996) indicated that juvenile cod can be found in shallow water during summer, but migrate into deeper water during autumn and winter. This could be related to juvenile thermoregulative behaviour of the deep-water cod, where the fish avoid the low winter temperatures in shallow-water. Different spatial distributions of early-life stages and adults as a consequence of different ambient temperatures have been reported for some fish species (Fonds 1979; Gadomski and Caddell 1991) including Atlantic cod (Michalsen et al. 1998; Lafrance et al. 2005), and efforts have been made to predict distribution of fish based on the optimal temperature for growth (Bryan et al. 1990) and on the ambient temperature experienced by the fish during summer and autumn (Michalsen et al. 1998).
Fish typically show a rapid increase in relative growth rate as the temperature rises, passing through a peak at optimum temperature (T opt G) and falling rapidly at temperatures beyond T opt G (cf. Brett 1979; Cuenco et al. 1985; Imsland et al. 1996; Jonassen et al. 1999). A common finding in studies examining the relationship of temperature and size on growth is that T opt G deceases as fish size increases (Imsland et al. 1996; Jonassen et al. 1999). To utilize this mechanism to improve growth, fish would have to be reared in “temperature steps” i.e. temperature should be lowered following changes in fish size, mimicking a mechanism suggested for wild cod (Hanson 1996; Björnsson and Steinarsson 2002). In the present study we try to mimic this different “temperaturestep” method by rearing one group of fish at three different temperatures i.e. 16 °C followed by 13 and 10 °C, and comparing growth with fish held at stable temperatures.
The aim of the present study was to characterise growth potential of juvenile Atlantic cod at early juvenile stages reared at five different temperature regimes. Four regimes consisted of constant temperatures between 7 and 16 °C and one regime was designed to follow the T opt G for juvenile cod between 5–70 g. More specifically, we wanted to investigate how optimal temperature for growth and feed conversion efficiency varies with size and whether these differences (if any) are more pronounced at optimal temperature than at suband super-optimal temperatures.
Materials and methods
Fish material and experimental rearing conditions
The eggs were obtained from two commercial cod juvenile producers. The first group was attained from a cod hatchery in western (59°50′ N), Norway and transported to the facilities of the University of Bergen were they were incubated. The broodfish were wild caught in the area around Bømlo (W-Norway) in 2003 and reared in 40 m3 tanks at simulated natural photoperiod and temperature of 6–8 °C (sea water pumped from 160 m depth). The mean weight of the broodfish was approx. 7 kg (range 5–18 kg). The eggs hatched on 28 March and the larvae were subsequently transferred to a 500 l tank with a constant temperature of 7.8 °C. The larvae were reared under continuous light, fed fresh filtered natural zooplankton (gradually increasing size fraction from 80 to 1000µ) and weaned on a commercial formulated feed (Marin 030 and 050, Ewos A/S, Bergen, Norway) containing 60% protein, 12% fat and 12% carbohydrates. On 20 June 2003 the juveniles were brought to the Industrial and Aquatic Laboratory at the Bergen High Technology Centre and reared at 10 °C and simulated natural photoperiod (LDN, 60° N). This light regime was used throughout the acclimation and experimental period.
The aforementioned group of fish, which was startfed on natural zooplankton, was mixed with an equal number of fish originating from another cod hatchery from western (61°40′ N), Norway. The broodfish were wild caught in the area around Møre (W-Norway) in 2003 and reared in 70 m3 tanks at simulated natural photoperiod and temperature of 6–8 °C (sea water pumped from 100 m depth). The mean weight of the broodfish was approx. 15 kg (range 7–22 kg). This group was first fed in an intensive system using enriched rotifers for 25 days and subsequently fed the same commercial feed as the group described above (Ewos Marin 030 and 050). On 22 June the fish were transported to the Industrial and Aquatic Laboratory at the Bergen High Technology Centre and reared under the same conditions as described above.
The fish (n = 1123) from the two groups were mixed and distributed randomly into 10 rearing tanks. The 1 m2 square, grey, covered fiberglass experimental tanks had a rearing volume of 400 l and a bottom outlet. Seawater with a salinity of 33.5‰ (±0.2‰) was pumped from 90 m depth. Water flow was set to 10 l min−1 for all experimental tanks. Oxygen saturation was measured weekly in the effluent (i.e. bottom outlet) water of all tanks and was higher than 80% at all times. A 36 W fluorescent daylight tube integrated in the tank-cover provided light. Photon-irradiation measured at the bottom of the tanks was ca. 5 µmol m−2 s−1. Prior to, and during the experiment, the juveniles were fed a commercial formulated feed (Marin 10 and 20, Ewos A/S) containing 55% protein, 12% fat and 11% carbohydrate. Pellet size (2 and 3 mm) was adjusted during the experiment, depending on fish size with an introduction of 3 mm pellets from 14 October.
The growth study was carried out from 8 September until 12 December 2003. On 25 August 2003, in preparation for the study, a subgroup within each tank (n = 40–41 in each tank, n total = 484) were tagged intraperitoneally with Trovan® Passive Transponder tags, and gradually acclimated over one day (7 and 13 °C groups) or three days (16 °C and temperature-step groups) to the five experimental temperatures regimes of 7, 10, 13, 16 °C and temperature-step group (T-step group). Each temperature regime consisted of two replicate tanks. The temperature-step regime was as follows: 16 °C from 9 September to 7 October; 13 °C from 8 October to 19 November; 10 °C from 20 November to 12 December. This group is supposed to mimic temperature conditions found in Norwegian waters in late summer and autumn (Anon 2005). The mean rearing temperature in this group was 13.2 °C. The temperature in all groups was measured twice daily, and remained within ±0.2 °C (SD) of that prescribed. All fish were anaesthetised (metacain, 0.05 g l−1), and weighed individually (0.1 g) at 22–28 days interval during the experiment.
Feed was provided in excess for two 30 min periods daily (09:00–09:30 h and 14:30–15:00 h). Uneaten pellets were collected after each feeding (no later than 30 min after each feeding pulse) by filtering the outlet water with a fine mesh and counted to estimate feed intake and feed conversion efficiency.
Rearing in sea pens
After termination of the temperature trial all individual fish (n = 473) were acclimatized to 10 °C and transported by truck on January 15 2004 to the production site of Marine Harvest at Smøla (W-Norway, 63°31′) where the fish are reared at ambient temperatures (mean temperature 15 °C in August, mean temperature 5 °C in March) in sea pens (40 m in diameter, 7 m deep, 1000 m3 in volume). The fish were reared together with 7500 other (untagged) cod in one sea pen. Mean weight at start (all fish) was 172 g and the total biomass in the sea pen was approx. 9000 kg at start. The fish were hand fed five times a week using a commercial formulated feed from Ewos (Ewos Cod feed, 5–13 mm). On June 29 2005 we conducted a sampling where weight of 158 tagged fish from the temperature study was measured. Number of fish in June 2005 was 7700 with an average weight (all fish) of 1200 g.
Data analysis and statistical methods
SGR was regressed against geometric mean weight (GM), where GM is: GM=(W 1 W 2)1/2. To avoid pseudoreplication, data for tagged fish (N = 30–50) in each tank were combined in this regression.
Results
Mortality
Total mortality was 2.3% (11 fish). No systematic trend was found as mortality occurred in all rearing units except for the T-step group (7 °C=5 fish; 10 °C=2 fish; 13 °C=1 fish; 16 °C=3 fish, χ 2 < 2:2, p > 0.2). Ten of the dead fish were registered from 16–19 November. A size-dependent mortality was found on 19 November as the dead fish were significantly smaller than the surviving fish at both 7 and 16 °C (one way ANOVA, p < 0.05).
Effect of temperature on growth
Mean weight of juvenile Atlantic cod reared at five different temperature regimes. Vertical line indicating SE may be obscured by symbol. Different letters indicate statistical differences (two-way nested ANOVA, p<0.05), with ‘a’ as the highest value. The values for two replicates are combined; n=80–82 for each mean value; ns=not significant.
Mean specific growth rates of individually tagged Atlantic cod reared at five temperature regimes during the experimental period. Vertical whiskers SEM. Different letters denote significant differences (Student-Newman-Keuls test, p<0.05) within each temperature regime, n=80–82 for each mean value.
Effect of fish size on growth
Specific growth rate (SGR) versus geometric mean weight (GM) of juvenile Atlantic cod. Each data point is the mean of 39–50 individually tagged fish from each replicate. (a) 7 °C : SGR=1.56 − 0.016GM, p>0.15, (b) 10 °C : SGR=2.28 − 0.027GM, p<0.01, (c) 13 °C : SGR=2.48 − 0.025GM, p<0.05, (d) 16 °C : SGR=2.77 − 0.041GM, p<0.01, (e) T-step: SGR=2.62 − 0.030GM, p<0.01. n=8 for all groups.
Analysis of covariance (ANCOVA) for the regression of specific growth rate (SGR, %day−1) against geometric mean (covariate=GM) weight (W, g wet weight) at different temperatures (T, °C); df= degrees of freedom
| Source of variation | Sum of squares | df | Mean square | F-ratio | p |
|---|---|---|---|---|---|
| Main effect | |||||
| Temperature (T) | 3.27 | 4 | 0.81 | 18.8 | <0.01 |
| Covariate | |||||
| GM weight (W) | 3.66 | 1 | 3.66 | 84.6 | <0.001 |
| Interaction | |||||
| T × W | 5.31 | 5 | 1.06 | 24.5 | <0.001 |
| Residual | 1.47 | 34 | 0.04 |
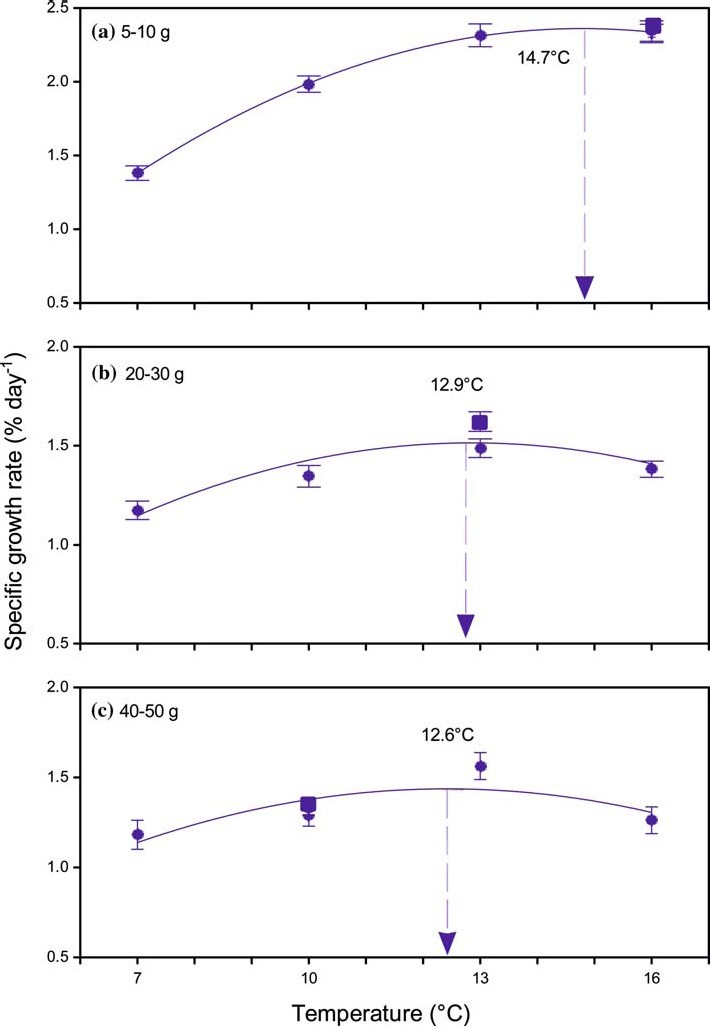
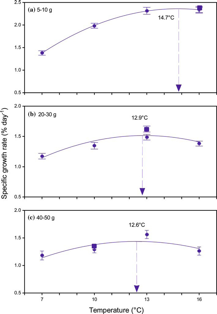
Changes in specific growth rate (SGR) with temperature for three different size classes of juvenile Atlantic cod. The lines represent the least-squares second order polynomial fit to the data: SGR=a T 2+b T +c where SGR=Specific growth rate, T=temperature, and a,b and c are constants determined by the regression. Vertical lines indicate standard error of mean, n=30–40 for each data point. The T-step group is marked by square symbol. For the three size classes optimum temperature for growth (T opt G) indicated by the broken lines were calculated from the first order derivative of the parabolic regressions (i.e. when dG/dT=0).
The relationship between growth rate (SGR) and temperature in °C (T) estimated by a second order polynomial (G=aT 2+bT+c) for different weight range of juvenile Atlantic cod
| Weight range | a | b | c | n | r2 | ToptG | ±SE range | Gmax |
|---|---|---|---|---|---|---|---|---|
| 5–10 | −1.191 | 0.481 | −0.016 | 259 | 0.39 | 14.7 | 14.2–15.2 | 2.35 |
| 20–32 | 0.309 | 0.283 | 0.011 | 252 | 0.13 | 12.9 | 12.6–13.2 | 1.51 |
| 40–50 | 0.178 | 0.256 | 0.010 | 271 | 0.20 | 12.6 | 12.4–12.8 | 1.43 |
Size and growth ranking
A significant size rank correlation (initial weight versus final weight) was maintained at all temperature regimes (r Sp>0.62, p<0.05). The size rank correlation was highest at 7 °C (r Sp=0.82) and lowest at 13 °C (r Sp=0.62). Also, there was an overall significant positive correlation between adjacent growth rates (i.e. week n and weekn+i) in all temperature groups at all dates. Accordingly, initial vs. final growth rates were significantly correlated at all temperatures (r Sp=0.33, p<0.05).
Feed intake and feed conversion efficiency
Changes in feed conversion efficiency (FCE) with temperature for three different size classes of juvenile Atlantic cod. The lines represent the least-squares second order polynomial fit to the data: FCE=aT 2+bT+c where FCE=Feed conversion efficiency, T=temperature, and a,b and c are constants determined by the regression. Vertical lines indicate standard error of mean, n=2 for each data point. The T-step group is marked by square symbol. For the three size classes optimum temperature for growth (T optFCE) indicated by the broken lines were calculated from the first order derivative of the parabolic regressions (i.e. when dG/dT=0).
Feed consumption (C T), daily feeding rate (F%) and feed conversion efficiency (FCE) of juvenile Atlantic cod reared under five temperature regimes
| Temperature (°C) | CT(g ww) | F% | FCE |
|---|---|---|---|
| 7 | 428.3 (41.4)b | 1.07 (0.15)b | 1.11 (0.13)b |
| 10 | 655.3 (78.9)b | 1.31 (0.22)ab | 1.14 (0.06)b |
| 13 | 883.7 (149.9)a | 1.45 (0.27)a | 1.19 (0.06)a |
| 16 | 839.1 (71.9)a | 1.45 (0.38)a | 1.17 (0.06)ab |
| T-step | 800.9 (59.3)a | 1.42 (0.39)a | 1.28 (0.05)a |
The relationship between feed conversion efficiency (FCE) and temperature in °C (T) estimated by a second order polynomial (FCE=aT 2+bT+c) for different weight range of juvenile Atlantic cod, n=10 for all three regressions
| Weight range | a | b | c | r2 | ToptFCE | ±SE range | FCEmax |
|---|---|---|---|---|---|---|---|
| 8–12 | 0.705 | 0.094 | 0.004 | 0.42 | 11.3 | 10.8–11.8 | 1.24 |
| 18–32 | 0.633 | 0.090 | 0.003 | 0.20 | 12.2 | 10.2–14.2 | 1.18 |
| 32–50 | 0.606 | 0.105 | 0.004 | 0.22 | 12.2 | 9.9–14.5 | 1.25 |
Growth in the sea
Mean weight of Atlantic cod reared five different temperature regimes during early juvenile stage and then reared in sea pens at ambient conditions for 17 months. Vertical line indicating SE may be obscured by symbol. Different letters indicate statistical differences (Fisher LSD test, p<0.05), with ‘a’ as the highest value, n=20–43 for each mean value.
Discussion
Growth rate and feed conversion efficiency of juvenile Atlantic cod were significantly influenced by temperature and fish size. In the first part of the experiment juvenile cod at 16 °C had the highest growth rate (2.19% day−1, Figure 2), whereas juvenile cod reared at T-step regime and at 13 °C had the highest growth rates in the latter stages of the experiment. Overall growth rates were highest at 13 °C and the T-step groups (1.80% day−1 in both groups). It is notable that although growth rates and biomass increase were similar in these two groups the physiological basis differs as the fish at 13 °C had 10% higher overall feeding intake compared to the T-step group, whereas the T-step had 8% higher feeding efficiency. It may be that different feeding dynamics are to some extent be reflected in the behaviour of cod. Robichaud and Rose (2004) reviewed a century of tagging studies with Atlantic cod and found that of all cod groups investigated 41% could be categorized as sedentary, 20% as dispersers and 38% as homers (i.e. deep water foraging in the paper by Pálsson and Thorsteinsson 2003). Moreover, Robichaud and Rose (2004) found that it was the sedentary cod groups that had lower maximum historical biomass, confirming that migration begets abundance. This effect would mostly be attributed to secondary effect of migration as migrating cod can better exploit the seasonal changes in productivity. Our data point to another positive effect of migration as cod moving from high to low temperature might also increase their feeding efficiency and energy utilisation, thus adding to larger biomass of migrating cod as compared to sedentary cod. The T-step rearing regime mimics the mechanism of behavioural thermoregulation where juveniles may seek temperatures maximising their fitness (Michalsen et al. 1998: Kristiansen et al. 2001). In some species juveniles seek out a temperature close to their optimal temperature for growth (Zinichev and Zotin 1987; Hill and Magnuson 1990; Wildhaber and Crowder 1990), whereas other species seek to maximise their feeding efficiency. Björnsson et al. (2001) postulated that cod migrations around Iceland are, at least partly, driven by feeding and optimal foraging mechanism i.e. seeking out temperatures that maximises feeding efficiency. In a natural environment, these temperatures could be much lower than what has been found in laboratory experiments, as T opt G decreases with decreased feed availability (Jobling, 1994).
The current study shows that fish following its T opt G gradient will benefit in terms of higher feeding efficiency (Table 4) and the effect can be apparent after the fish has moved from higher to lower temperature (Figure 5). Moreover, the groups performed differently when reared at ambient conditions in the sea (Figure 6) as the T-step group was 11.6, 11.5, 5.3 and 7.5% larger than 7, 10, 13 and 16 °C, respectively in June 2005. Based on this observation and the fact that the T-step rearing regime had, together with the 13 °C group, the highest overall growth rates in the temperature trial, we postulate that rearing fish at downward temperature regime (i.e. T-step) may result in long term positive effect on feeding efficiency and growth in juvenile cod. The changes that occur during thermal acclimation involve a series of adaptations at the enzymatic level that may lead to higher feed efficiency. There is some evidence that downward thermal acclimation (i.e. moving fish from higher to lower temperature) may result in increased activities in enzymes involved in aerobic energy liberation and ion transport in muscle (Jobling 1994) and increased digestive enzyme activity (Kuzmina et al. 2003). Optimal temperature for enzymatic activity can vary with size (Luszkovich and Stellwag, 1993). Accordingly, the fish in the T-step group may have been reared closer to optimal temperatures for enzymatic activity than the fish in the constant temperature groups. The data for different periods in the temperature trial show that FCE is indeed improved in line with reduced temperature in the T-step group. FCE improved from 1.0 to 1.2 to 1.35 when reared at 16, 13 and 10 °C, respectively. In contrast, FCE remained stable throughout the trial in the other temperature groups.
In other demersal fish species the positive effect of T opt G rearing scheme has been noted. When studying growth of spotted wolffish (Anarhichas minor) larvae up to 63 days after hatching (0.2–3 g), Hansen and Falk-Petersen (2002) found that growth was highest when larvae were moved from 12 to 10 and later to 8 °C, compared to constant temperatures. In Atlantic halibut (Hippoglossus hippoglossus, 160–400 g) reared at constant (11 and 14 °C) or switched (14 moved to 11 °C and vice versa) temperature regimes, Aune et al. (1997) found that growth rate was highest in fish transferred from 14 to 11 °C. This coincides with the T opt G for Atlantic halibut which has been shown to decrease from 14.9 to 12.7 °C in the early juvenile stage (Jonassen et al. 1999). These findings are in line with results from the present experiment showing a decrease in temperature optimum with increasing fish size. Overall, the positive correlation between the thermal sum and growth indicates that high growth can be achieved in juvenile Atlantic cod by rearing juvenile cod in the temperature range of 13–16 °C during the first months in culture.
In nature Atlantic cod larvae are poorly developed at hatching (approx. 4 mm) with a relatively small yolk sac, which is completely absorbed after 5 days. They feed and live pelagically for several weeks and settle in coastal areas in benthic environments at 4–5 cm length (Pedersen and Falk-Petersen 1992). Observations on growth of wild juvenile Atlantic cod indicate that a size of 15–20 g can be reached 5–9 months after hatching (i.e. the same age as current experimental material) (Astthorsson et al. 1994; Björnsson et al. 2001). Compared with the higher optimum temperature for growth and the much higher growth seen in the present experiment this demonstrate that wild Atlantic cod seldom experience temperature conditions where their full growth potential can be achieved. Björnsson et al. (2001) pointed out the fact the benefits of selecting T opt G may be outweighed by other crucial factors such as feed availability, risk of starvation and predation risk.
The significant effect of size on growth rate (Figures 3–4) is in accordance with studies on several fish species (Brett 1979, Fonds et al. 1992; Rijnsdorp 1993; Imsland et al. 1996; Jonassen et al. 1999) including cod (Pedersen and Jobling 1989). In the present experiment, size dependent growth was significantly influenced by temperature (Figures 3–4). There was an inverse relation between size and growth rate (Figure 3), except in the 7 °C group where no significant relationship was found (Figure 3a). The stable growth rates seen with increasing size in the 7 °C group are in accordance with our T optG calculations (Figure 4): at this sub-optimal temperature fish approach their optimum temperature range for growth as size increases, in line with the general pattern described by Brett (1979). The parabolic regressions (Figure 4) suggest an optimum temperature for growth of juvenile Atlantic cod in the size range 5–50 g to be between 14.7 and 12.6 °C, and decreasing with size. A similar decrease in T opt G with size has been reported for plaice (Pleuronectes platessa, Fonds et al. 1992), turbot (Scophthalmus maximus, Imsland et al. 1996), Atlantic halibut (Jonassen et al. 1999), Atlantic cod (Björnsson et al. 2001), and for fish in general (Cuenco et al. 1985). Atlantic cod appears to be rather eurythermal, which is expressed by high growth rates over a relatively wide temperature range. This also conforms to the benthic thermal range in the distribution area for Atlantic cod in the North Atlantic (Brander 1995). It is worth noting that the parabolic regressions between growth rate and temperature becomes less sharply defined with increasing size (Figure 4), indicating increasing temperature tolerance with size. This is in accordance with earlier studies on Atlantic cod (Björnsson et al. 2001), and other species (Brett et al. 1969; Elliott 1975; Imsland et al. 1996). Cuenco et al. (1985) indicated that, in general, the temperature optimum for growth in fish declines 1–2 °C with increasing weight in the range of 10–500 g. Our findings are in line with these predictions as T opt G declines with 2.3 °C in the size range 5–50 g. Earlier studies with Atlantic cod have also indicated that the drop in T opt G is highest for the early juvenile stage (Björnsson et al. 2001; Björnsson and Steinarsson 2002) with a drop in T opt G from 17.3 °C for 2 g cod to 10.7 °C for 200 g cod, whereas T opt G is between 6 and 7 °C for 2–5 kg cod (Björnsson et al. 2001).
Calculated optimal temperature for feed conversion efficiency (T optFCE) is slightly lower than T opt G which is in line with findings on Atlantic halibut (Björnsson and Tryggvadóttir 1996), turbot (Imsland et al. 2001) and Atlantic cod (Björnsson et al. 2001). The suggested explanation for this finding is that at an unrestricted ration growth rate reaches a maximum at a temperature lower than that giving maximum ingestion rate (Jobling, 1994). Accordingly, as the temperature is lowered slightly below T opt G the growth rate decreases less than the ingestion rate, resulting in increased feed conversion efficiency (Björnsson and Tryggvadóttir 1996).
The high size rank correlation observed at all temperatures may indicate an early establishment of stable size ranks (hierarchies), which is common under culture conditions (Imsland et al. 1998). As in the present experiment, such hierarchies have been shown to form even under excess feeding (Ehrlich et al. 1976; Jobling 1982; McCarthy et al. 1992, Imsland et al. 1998). Alternatively, the changes in size distribution in the present study may have originated from inherent genetic differences in growth capacity of the fish (Imsland et al. 1998). This growth element, apparently, has some kind of “memory” (see discussion in Imsland et al. 1998) as we found an overall positive correlation between adjacent (i.e. week n and weekn+i) at all temperatures. As growth declined with increasing size (Figure 3), the correlation between initial and final growth rates can be interpreted as stable growth variation with increasing size.
In conclusion, the present study verifies a significant ontogenetic variation in optimum temperature for growth in juvenile Atlantic cod, with a reduced temperature optimum and an increased capacity for growth at lower temperatures as fish size increases. Moreover, our data show a possible mechanism for increasing feed conversion efficiency by “mimicking” thermoregulative behaviour as juvenile cod reared at a temperature step regime had a lower feed intake, but higher feed efficiency compared to cod at constant temperature regimes. There may be a substantial gain in growth by rearing fish at high temperatures (13–16 °C) during early juvenile stage as growth in a follow up trial in the sea indicated 5–13% gain in weight by applying a T-step rearing regime in the land-based rearing phase. These findings may have important consequences for optimization of commercial production of Atlantic cod, but might also help to explain the motivation of cod migration.
Notes
Acknowledgement
This study was financed by the Norwegian Research Council (No. 156204/120).
References
- Anonymous2005Coastal Monitoring Along the Norwegian CoastInstitute of marine researchBergen, Norwayhttp://pegasus.nodc.no:8080/stasjoner/Google Scholar
- Astthorsson, O.S., Gislason, A., Gudmundsdottir, A. 1994Distribution, abundance, and length of pelagic juvenile cod in Icelandic waters in relation to environmental conditionsICES Mar. Sci. Symp.198529541Google Scholar
- Aune, A., Imsland, A.K., Pittman, K. 1997Growth of juvenile halibut (Hippoglossus hippoglossus L.) under a constant and switched temperature regimeAquac. Res28931939CrossRefGoogle Scholar
- Björnsson, B., Steinarsson, A. 2002The food-unlimited growth rate of Atlantic cod (Gadus morhua)Can. J. Fish. Aquat. Sci.59494502CrossRefGoogle Scholar
- Björnsson, B., Tryggvadóttir, S.V. 1996Effect of size on optimal temperature for growth and growth efficiency of immature Atlantic halibut (Hippoglossus hippoglossus L.)Aquaculture1423342CrossRefGoogle Scholar
- Björnsson, B., Steinarsson, A., Oddgeirsson, M. 2001Optimal temperature for growth and feed conversion of immature cod (Gadus morhua L.)ICES J. Mar. Sci.582938CrossRefGoogle Scholar
- Brander, K.M. 1995The effect of temperature on growth of Atlantic cod (Gadus morhua L.)ICES J. Mar. Sci.52110CrossRefGoogle Scholar
- Brett, J.R, Shelbourn, J.E., Shoop, C.T. 1969Growth rate and body composition of fingerling sockeye salmon, Oncorhynchus nerka, in relation to temperature and ration sizeJ. Fish. Res. Board Can.2623632394Google Scholar
- Brett, J.R. 1979Environmental factors and growthHoar, W.S.Randall, D.J.Brett, J.R. eds. Fish Physiology Vol VIII. Bioenergetics and GrowthAcademic PressNew York599675Google Scholar
- Bryan, J.D., Kelsch, S.W., Neill, W.H. 1990The maximum power principle in behavioral thermoregulation by fishesTrans. Am. Fish. Soc.119611621CrossRefGoogle Scholar
- Chambers, R.C., Miller, T.J. 1995Evaluating fish growth by means of otolith increment analysis: special properties of individual-level longitudinal dataSecor, D.H.Dean, J.M.Campana, S.E. eds. Recent developments in fish otolith researchUniversity of South Carolina PressColombia South Carolina155175Google Scholar
- Cuenco, M.L., Stickney, R.R., Grant, W.E. 1985Fish bioenergetics and growth in aquaculture ponds: II. Effects of interactions among size, temperature, dissolved oxygen, unionized ammonia and food on growth of individual fishEcol. Model.27191206CrossRefGoogle Scholar
- Ehrlich, K.F., Blaxter, J.H.S., Pemberton, R. 1976Morphological and histological changes during the growth and starvation of herring and plaice larvaeMar. Biol.35105118CrossRefGoogle Scholar
- Elliott, J.M. 1975The growth rate of brown trout (Salmo trutta L.) fed on maximum rationsJ. Anim. Ecol.44805821CrossRefGoogle Scholar
- Fonds, M. 1979Laboratory observations on the influence of temperature and salinity on development of the eggs and growth of the larvae of Solea solea (Pisces)Mar. Ecol. Prog. Ser.19199CrossRefGoogle Scholar
- Fonds, M., Cronie, R., Vethaak, A.D., Puyl, P. 1992Metabolism, food consumption and growth of plaice (Pleuronectes platessa) and flounder (Platichthys flesus) in relation to fish size and temperatureNeth. J. Sea Res.29127143CrossRefGoogle Scholar
- Fry, F.E.J. 1947Effects of the environment on animal activityUniversity of Toronto Studies Biological Series55162Google Scholar
- Gadomski, D.M., Caddell, S.M. 1991Effects of temperature on early-life-history stages of California halibut Paralichthys californicus Fish. Bull.89567576Google Scholar
- Hansen, T.K., Falk-Petersen, I.B. 2002Growth and survival of first-feeding spotted wolffish (Anarhichas minor Olafsen) at various temperature regimesAquac. Res.3311191127CrossRefGoogle Scholar
- Hanson, J.M. 1996Seasonal distribution of juvenile Atlantic cod in the southern Gulf of St. LawrenceJ. Fish Biol.4911831152CrossRefGoogle Scholar
- Hill, D.K., Magnuson, J.J. 1990Potential effects of global climate warming on the growth and prey consumption of Great Lakes fishTrans. Am. Fish. Soc.119265275CrossRefGoogle Scholar
- Hintze, J.L. 1996PASS Users GuideNCSSKaysville, UtahGoogle Scholar
- Houde, E.D., Schekter, R.C. 1981Growth rates, rations and cohort consumption of marine fish larvae in relation to prey concentrationsRapp. P.-v. Réun. Cons. Int. Explor. Mer.178441453Google Scholar
- Imsland, A.K., Nilsen, T., Folkvord, A. 1998Stochastic simulation of size-variation in turbot: possible causes analysed with an individual based modelJ. Fish Biol.53237258CrossRefGoogle Scholar
- Imsland, A.K., Sunde, L.M., Folkvord, A., Stefansson, S.O. 1996The interaction between temperature and size on growth of juvenile turbotJ. Fish Biol.49926940CrossRefGoogle Scholar
- Imsland, A.K., Foss, A., Gunnarsson, S., Berntssen, M., FitzGerald, R., Bonga, S.W., Ham, E., Nævdal, G., Stefansson, S.O. 2001The interaction of temperature and salinity on growth and food conversion in juvenile turbot (Scophthalmus maximus)Aquaculture198353367CrossRefGoogle Scholar
- Jobling, M. 1982Some observations on the effects of feeding frequency on the food intake and growth of plaice, Pleuronectes platessa LJ. Fish Biol.20431444CrossRefGoogle Scholar
- Jobling, M. 1994Fish BioenergeticsChapman and HallLondonGoogle Scholar
- Jobling, M. 1997Temperature and growth: modulation of growth rate via temperature changeWood, D.M.McDonald, D.G. eds. Global Warming: Implications for Freshwater and Marine FishCambridge University PressCambridge, UK225253Google Scholar
- Jonassen, T.M., Imsland, A.K., Stefansson, S.O. 1999The interaction of temperature and size on growth of juvenile Atlantic halibutJ. Fish Biol.54556572CrossRefGoogle Scholar
- Kristiansen, T.S., Michalsen, K., Jacobsen, J.A., Huse, I. 2001Optimal selection of temperature areas by juvenile cod (Gadus morhua L.) in the Barents Sea modelled by dynamic optimisationICES J. Mar. Sci.58172182CrossRefGoogle Scholar
- Kuzmina, V., Glatman, L., Drabkin, V., Gelman, V. 2003Amylolytic activity in fish intestinal mucosa: temperature effectsComp. Biochem. Physol. B — Biochem. Mol. Biol.134529534CrossRefGoogle Scholar
- Lafrance, P., Castonguay, M., Chabot, D., Audet, C. 2005Ontogenetic changes in temperature preference of Atlantic codJ. Fish Biol.66553567CrossRefGoogle Scholar
- Larsson, S. 2005Thermal preference of Arctic charr, Salvelinus alpinus, and brown trout, Salmo trutta — mplications for their niche segregationEnv. Biol. Fish.738996CrossRefGoogle Scholar
- Luczkovich, J.J., Stellwag, E.J. 1993Isolation of cellulotic microbes from the intestinal-tract of the pinfish, Lagodon rhomboides, size-related changes in diet and microbial abundanceMar. Biol.116381388CrossRefGoogle Scholar
- McCarthy, I.D., Carter, C.G., Houlihan, D.F. 1992The effect of feeding hierarchy on individual variability in daily feeding of rainbow trour, Oncorhynchyus mykiss (Walbaum)J. Fish Biol.41257263CrossRefGoogle Scholar
- McCauley, R.W., Huggins, N.W. 1979Ontogenetic and non-thermal seasonal effects on thermal preferenda of fishAm. Zool.19267271Google Scholar
- Michalsen, K., Ottersen, G., Nakken, O. 1998Growth of North-east Arctic cod (Gadus morhua L.) in relation to ambient temperatureICES J. Mar. Sci.55863877CrossRefGoogle Scholar
- Pálsson, Ó.K., Thorsteinsson, V. 2003Migration patterns, ambient temperature, and growth of Icelandic cod (Gadus morhua): evidence from storage tag dataCan. J. Fish. Aquat. Sci.6014091423CrossRefGoogle Scholar
- Pedersen, G., Falk-Petersen, I.B. 1992Morphological changes during metamorphosis in cod (Gadus morhua L.), with particular reference to the development of the stomach and pyloric caeceJ. Fish Biol.41449461CrossRefGoogle Scholar
- Pedersen, T., Jobling, M. 1989Growth rates of large, sexually mature cod, Gadus morhua, in relation to condition and temperature during an annual cycleAquaculture81161168CrossRefGoogle Scholar
- Reynolds, W.W., Casterlin, M.E. 1979Behavioral thermoregulation and the ‘final preferendum’ paradigmAm. Zool.19211224Google Scholar
- Rijnsdorp, A.D. 1993Relationship between juvenile growth and the onset of sexual maturity of female North Sea plaice, Pleuronectes platessa Can. J. Fish. Aquat. Sci.5016171631CrossRefGoogle Scholar
- Robinchaud, D., Rose, G.A. 2004Migratory behaviour and range of Atlantic cod: inference from a century of taggingFish and Fisheries5185214CrossRefGoogle Scholar
- Scheffé, H. 1959The analysis of varianceJohn Wiley & SonsNew York, NYGoogle Scholar
- Schmidt-Nielsen, K. 1990Animal physiology: adaptation and environment4Cambridge University PressCambridgeGoogle Scholar
- Sokal, R.R., Rohlf, R.J. 1995Biometry3WA FreemanSan Francisco, CAGoogle Scholar
- Wildhaber, M.L., Crowder, L.B. 1990Testing a bioenergetics-based habitat choice model: Bluegill (Lepomis macrochirus) responses to food availability and temperatureCan. J. Fish. Aquat. Sci.4716641671CrossRefGoogle Scholar
- Zar, J.H. 1984Biostatistical analysis2Prentice-HallEnglewood Cliffs, NJGoogle Scholar
- Zinichev, V.V., Zotin, A.I. 1987Selected temperature and optimums for development in prolarvae and larvae of chum salmon, Oncorhynchus keta J. Ichthyol.27141144Google Scholar





