Processing and structure–property relationships of natural rubber/wheat bran biocomposites
- 1.4k Downloads
- 5 Citations
Abstract
In this work, wheat bran was used as cellulosic filler in biocomposites based on natural rubber. The impact of wheat bran content [ranging from 10 to 50 parts per hundred rubber (phr)] on processing, structure, dynamic mechanical properties, thermal properties, physico-mechanical properties and morphology of resulting biocomposites was investigated. For better characterization of interfacial interactions between natural rubber and wheat bran, achieved results were compared with properties of biocomposites filled with commercially available cellulosic fillers—wood flour and microcellulose. It was observed that wheat bran, unlike commercial cellulosic fillers, contains high amount of proteins, which act like plasticizers having profitable impact on processing, physical, thermo-mechanical and morphological properties of biocomposites. This is due to better dispersion and distribution of wheat bran particles in natural rubber, which results in reduction of stiffness and porosity of the biocomposites. Regardless of cellulosic filler type, Wolff activity coefficient was positive for all studied biocomposites implying reinforcing effect of the applied fillers, while tensile strength and elongation at break decreased with increasing filler content. This phenomenon is related to restricted strain-induced crystallization of NR matrix due to limited mobility of polymer chains in the biocomposites. Furthermore, this explains negligible impact of particle size distribution, chemical composition and crystallinity degree of applied cellulosic filler on static mechanical properties of highly-filled NR biocomposites. The conducted investigations show that wheat bran presents interesting alternative for commercially available cellulosic fillers and could be successfully applied as a low-cost filler in polymer composites.
Keywords
Wheat bran Natural rubber Biocomposites Processing Structure-property relationshipIntroduction
Limited petroleum resources, continuously increasing amount of polymeric wastes and higher awareness of the society, are the main economic and environmental factors causing dynamic development of biodegradable polymeric materials. Estimated data indicates that production and application of biodegradable polymers in different branches of industry will grow by over 30 % annually (Shen et al. 2009). Therefore, searching for new biodegradable polymers and biocomposites with tailored performance properties (Franciszczak and Błędzki 2015; Kwiecien et al. 2014) and reasonable price (Chikhi et al. 2013; Korol et al. 2015a; Sałasińska and Ryszkowska 2015) received attention nowadays in many academic and industrial scientific centers all over the world.
Special group of biocomposites are wood polymer composites (WPCs) which are defined as materials consisting of one or more cellulosic filler and one or a mixture of polymers. High amount of cellulose-rich by-products, generated from wood and agriculture industry, can be successfully applied as biofillers in polymeric matrix, to reduce material costs and provide specific properties of biocomposites, e.g. low density, high stiffness, corrosion resistance, low hazard, renewable characteristics and biodegradability (Gurunathan et al. 2015; Mohammed et al. 2015; Sobczak et al. 2013). Above mentioned factors account for commonly usage of WPCs as building and automobile products and as environmental friendly alternative for pure polymers (Korol et al. 2015b; Teuber et al. 2016).
It is well known that performance properties of WPCs depend on physical and chemical interactions between polymer matrix and cellulosic filler. Matrix–filler interaction level is governed by the structure of the polymer matrix and characteristics of cellulosic filler. Many attempts have been recently focused on the influence of cellulosic filler characteristics on processing and structure–property relationships of WPCs. Liu et al. (2014) applied wood flour, lignin flour and cellulose flour (the last two were separated from wood flour) in biocomposites based on poly(propylene) (PP) or poly(lactic acid) (PLA). The results confirmed that chemical composition of lignocellulosic flour had significant influence on physical, mechanical and thermal properties of obtained biocomposites, which was also related to the type of the used polymer matrix. Peltola et al. (2014) used five types of cellulosic fillers (wood flour, thermo-mechanical spruce pulp fibers and three types of chemically bleached kraft pulp fibers) as reinforcement of PP or PLA. They reported that cellulosic fibers are dispersed more uniformly in the PLA than in the PP. The best performance properties were achieved for PLA-based composites reinforced with thermo-mechanical spruce pulp (TMP) fibers. This was related to stiffness of TMP fibers and lignin present in TMP, which might act like a compatibilizer between PLA matrix and the filler phase. Furthermore, the results have shown that in comparison to lignocellulosic fibers, wood flour is not a reinforcing filler. Faludi et al. (2014) used six different commercially available cellulosic fibers (four types of wood fibers, microcrystalline cellulose, ground corn cob) with varying chemical composition and different particle characteristics to prepare biocomposites based on PLA and observed strong interfacial adhesion between PLA matrix and cellulosic fibers. It was also reported that the reinforcing effect was related to the size and aspect ratio of cellulosic fibers and, surprisingly, was independent of their origin (chemical composition).
The present state of knowledge shows that detailed characteristics of cellulosic filler can be a valuable tool for tailoring of biocomposites with desired performance properties. However, the current researches in this field are mainly focused on thermoplastic biocomposites based on polyolefins or on biodegradable aliphatic polyesters (Berthet et al. 2015; Błędzki et al. 2015; Georgiopoulos and Kontou 2015), while correlations between cellulosic fillers characteristics and selected properties of natural rubber as renewable matrix are poorly described in the literature. Wood polymer composites with elastomeric matrix are interesting alternative for thermoplastic WPCs. A comprehensive literature overview about elastomeric composites with lignocellulosic fillers was recently presented by Zhou et al. (2015).
In this work, the potential of wheat bran (WB) as a cellulosic filler for development of biocomposites based on natural rubber (NR) was evaluated. Wheat bran is a solid by-product of food industry, which can be applied as a low-cost, eco-friendly and cellulose-rich biofiller. However, only a few recently published papers dealt with usage of WB in polymer composites (Błędzki et al. 2014; Hejna et al. 2015). In the light of above mentioned studies, we aimed to examine the effects of the WB content [in range 10–50 parts per hundred of rubber (phr)] on curing characteristics, chemical structure (FTIR analysis), thermal properties (TGA), dynamic mechanical properties (DMA), static mechanical properties (tensile strength, elongation at break, hardness), physical properties (density, porosity), swelling properties (swelling degree, cross-link density, sol fraction), and morphology (SEM) of NR/WB biocomposites. Furthermore, for comprehensive structure–properties relationships assessment and better understanding the interfacial interactions between NR and WB, the characteristics of NR/WB biocomposites were compared with properties of biocomposites filled with commercially available cellulosic fillers: wood flour (WF) and microcellulose (MC).
Experimental
Materials
Natural rubber (NR) type RSS with density 0.92 g/cm3 was supplied by Guma-Pomorska (Poland).
Chemical composition of WB
| Components | Weight content (%)a,b |
|---|---|
| Cellulose | 25 |
| Hemicellulose | 32 |
| Lignin | 5 |
| Proteins | 4 |
| Ashes | 4 |
| Starch | 12 |
| Others (lipids, carbohydrates, moisture, etc.) | 18 |
Wood flour (WF) Arbocel C350 and microcellulose (MC) Arbocel B800 were purchased from Rettenmaier and Söhne GmbH (Germany) and used as received.
Vulcanization accelerators (TBBS—N-tert-butyl-2-benzothiazole sulfonamide, TMTD—tetramethylthiuram disulfide), stearic acid, zinc oxide and sulfur with technical grade purity were supplied by Standard Sp. z o.o. (Poland).
Biocomposites preparation
Biocomposites were prepared at 70 °C using a Brabender batch mixer model GMF 106/2 (Germany). The rotational speed of rotors was 100 rpm. The mixing time equaled 8 min which included 2 min of preliminary mastication of NR, 4 min of mixing with the cellulosic fillers (WB, WF or MC) and 2 min of mixing the blend with the sulfur curing system. The content of cellulosic fillers in the biocomposites was altered from 10 to 50 parts per hundred of rubber (phr). For all samples the same curing system samples was used. The curing system composition (phr): zinc oxide 5.0; stearic acid 3.0; TBBS 1.0; TMTD 0.25; sulfur 2.0. After compounding in a batch mixer, the NR/cellulosic filler biocomposites were homogenized using laboratory two roll mills from Buzuluk (Czech Republic).
The obtained composites were compression molded into 2-mm thick samples at 150 °C and 4.9 MPa according to determined optimal cure time. Unfilled NR processed in the same conditions was used as reference sample.
Measurements
Elemental analysis (C, H, N, S) of cellulosic fillers was carried out using a Flash 2000 CHNSO Analyser from Thermo Scientific (USA).
Macro- and microelements content in cellulosic filler was determined by wavelength dispersive X-ray fluorescence spectrometry (WD-XRF) using a spectrometer S8 Tiger 1KW from Bruker (USA).
Particle size distribution of cellulosic fillers was determined by sieve analysis according to our internal laboratory standard. Approximately 100 g of filler was manually sieved in constant time (30 min), using woven wire cloth sieves with size 1.02, 0.75, 0.50, 0.25 and 0.12 mm, respectively.
X-ray diffraction (XRD) measurements of cellulosic fillers were performed using a Bragg-Brentano X’PERT Philips diffractometer (Netherlands) equipped with a Cu anode X-ray tube and diffracted beam monochromator (40 kV, 30 mA, λ Cu Kα = 0.1542 nm). The samples were scanned in an angle range from 5° to 40° with 0.02° step and 1.8 s per step. No background correction was made.
Chemical structure of cellulosic fillers and biocomposites was determined using Fourier transform infrared spectroscopy (FTIR) analysis performed by means of a Nicolet iS10 spectrometer from Thermo Scientific (USA) equipped with a diamond crystal. Measurements were performed in a reflective absorbance mode (ATR-FTIR), at 1 cm−1 resolution in the range 650–4000 cm−1.
Tensile strength and elongation at break of the obtained vulcanizates were tested according to the standard ISO 37 using a Zwick Z020 testing machine (Germany) with load capacity of 20 kN. Tensile tests were performed at a cross-head speed of 500 mm/min. Direct extension measurements were conducted periodically using an extensometer with sensor arms. Hardness was determined using a Zwick 3130 durometer Shore A (Germany) in accordance with the standard ISO 7619-1. The reported results are the means of 5 measurements per sample.
Dynamic mechanical analysis was performed using DMA Q800 TA Instruments apparatus (USA). Samples cut to the dimensions of 40 × 10 × 2 mm were loaded with a variable sinusoidal deformation force in the single cantilever bending mode at the frequency of 1 Hz under the temperature rising rate of 4 °C/min within the temperature range between −80 and 60 °C.
The density of the samples was measured based on the Archimedes method, as described in ISO 2781. Accordingly, all measurements were carried out at room temperature in methanol medium.
Thermogravimetric analysis (TGA) was performed on a NETZSCH TG 209 apparatus. Samples of biocomposites weighing approx. 5-mg were placed in a corundum crucible. The measurement was conducted in the temperature range 25–600 °C and under nitrogen atmosphere, at a heating rate of 20 °C/min.
The morphology of biocomposites after extraction in toluene (at room temperature, 72 h) was observed with a JEOL 5610 scanning electron microscope. Before measurement the samples were covered with a fine gold–palladium layer in order to increase their conductivity in a vacuum chamber.
Results and discussion
Characteristics of cellulosic fillers
Elemental analysis and crystallinity of applied biofillers
| Item | Method | Unit | WB | WF | MC |
|---|---|---|---|---|---|
| C | Elemental analysis | wt% | 44.92 | 48.20 | 43.89 |
| H | 6.26 | 5.82 | 6.12 | ||
| N | 2.48 | 1.06 | 0.43 | ||
| K | WD-XRF | wt% | 1.26 | 0.14 | – |
| P | 0.62 | – | – | ||
| Mg | 0.22 | – | – | ||
| S | 0.14 | 0.03 | 0.02 | ||
| Ca | 0.08 | 0.16 | 0.04 | ||
| Cl | 0.07 | – | – | ||
| Fe | 0.01 | 0.02 | – | ||
| Si | – | 0.19 | – | ||
| TCI ( 1371/2900 cm −1 ) | FTIR | – | 1.37 | 1.23 | 1.11 |
| LOI ( 1430/893 cm −1 ) | 0.63 | 0.87 | 0.79 | ||
| HBI ( 3336/1336 cm −1 ) | 1.03 | 0.95 | 1.08 | ||
| CI | XRD | % | 13.7 | 51.4 | 59.0 |
The particle size distribution of used cellulosic fillers
FTIR spectra of used cellulosic fillers
For example, wheat bran contains proteins with amide and carbonyl groups. These polar groups are able to enhance formulation of hydrogen bonds in cellulose, which would reduce its crystallinity. Furthermore, it should be mentioned, that proteins present in biofillers have important influence on intensity of bands in FTIR spectra, which is due to similar position of infrared bands characteristic for cellulose and proteins (Barth 2007).
XRD patterns of cellulosic fillers
Presented results show that wheat bran contains mainly amorphous cellulose, while its semi-crystalline form is presented in microcellulose and wood flour (Nam et al. 2016). Small differences in intensity of XRD patterns observed in case of MC and WF biofillers, can be related to diverse type of wood used during preparation of wood flour. Amorphous form of wheat bran is related to thermo-mechanical milling prior application as a biofiller (please see Materials section). This suggests that heat and mechanical stress acting on wheat bran during twin screw extrusion are suitable for transformation of crystalline cellulose into its amorphous form.
Curing characteristics
Curing characteristics of biocomposites
| Component | Sample | |||||||||
|---|---|---|---|---|---|---|---|---|---|---|
| Natural rubber (NR) | 100 | 100 | 100 | 100 | 100 | 100 | 100 | 100 | 100 | 100 |
| Wheat bran (WB) | – | 10 | 30 | 50 | ||||||
| Wood flour (WF) | 10 | 30 | 50 | |||||||
| Microcrystalline cellulose (MC) | 10 | 30 | 50 | |||||||
| Curing characteristiscs at 150 °C | ||||||||||
| Minimal torque (dNm) | 2.4 | 1.7 | 2.2 | 2.6 | 2.5 | 2.9 | 2.4 | 2.9 | 7.7 | 11.7 |
| Maximal torque (dNm) | 24.0 | 24.4 | 31.2 | 37.4 | 28.4 | 34.3 | 39.6 | 29.2 | 39.7 | 47.5 |
| ΔM (dNm) | 21.6 | 22.7 | 29.0 | 34.8 | 25.9 | 31.5 | 37.2 | 26.3 | 32.0 | 35.8 |
| Scorch time (t2, min) | 5.8 | 5.9 | 5.1 | 5.3 | 5.7 | 5.3 | 5.1 | 1.3 | 1.0 | 0.9 |
| Optimum cure time (t90, min) | 7.5 | 8.2 | 8.2 | 8.7 | 7.9 | 7.6 | 7.6 | 3.2 | 3.3 | 3.5 |
| Cure rate index (CRI, min−1) | 58.8 | 43.5 | 32.3 | 29.4 | 45.5 | 43.5 | 40.0 | 52.6 | 43.5 | 38.5 |
Curing curves for natural rubber/cellulosic filler biocomposites
In case of biocomposites filled with WB or WF, increasing content of cellulosic filler caused decrease of scorch time. Higher content of WB in NR-based composites cause increase of optimal cure time, while for NR/WF composites opposite trend was observed. It is worth to notice that results for filled and unfilled NR were comparable. Slight difference between NR/WB and NR/WF biocomposites could be due to varying particle size distribution (see Fig. 1) and differences in cellulosic filler characteristics (e.g. content of proteins, sulfur or microelements, crystallinity degree—see Tables 1, 2). These parameters could affect matrix–filler interactions, thus curing efficiency of biocomposites. NR/MC biocomposites were characterized by lower values of scorch time and optimal cure time comparing to unfilled NR, NR/WB and NR/WF biocomposites. This is due to small size particles of MC, which allows good dispersion of biofiller into NR matrix and improves interactions between cellulosic filler surface and NR matrix (Sareena et al. 2012b). It was observed that increasing content of MC filler in biocomposites decreases scorch time and increases optimal cure time. It could be surprising, because according to literature the scorch time and optimal cure time of elastomer/cellulosic fillers composites tended to decrease consistently with increasing filler loading (Hong et al. 2011; Ismail et al. 2002; Sareena et al. 2012a). This trend is explained by prolonged processing time of the biocomposites on the mills, which is necessary to obtain proper homogeneity of the material. Furthermore, increasing content of cellulosic filler (increasing viscosity) enhanced shear force acting on the processed material, therefore more heat is generated due to additional friction. It should be noticed that studied biocomposites were obtained at elevated temperature (70 °C) using an internal mixer, which reduced the viscosity of biocomposites and decreased time of their processing. Moreover, comparing to two-roll mills, using of internal mixer allows generation of different type of shear forces which affect dispersion of components and final homogeneity of biocomposites. Regardless of type of cellulosic filler, cure rate index (CRI) decreases with increasing content of filler. This indicates that used cellulosic fillers hinder vulcanization of biocomposites. This phenomenon is due to possible adsorbing of the curing system (e.g. activators, accelerators) by biofillers and limited mobility of NR molecules related to good dispersion of filler in NR matrix (Jiang et al. 2013; Raza et al. 2014). For better presentation of biocomposites’ curing behavior, selected curing curves are shown in the Fig. 4. It was noticed that addition of cellulosic filler prevents adverse reversion of NR matrix, which was observed for unfilled NR during curing in prolonged time (in study case after 15 min). This phenomenon may be due to presence of phenolic compounds in cellulosic fillers, which limits thermo-oxidation of biocomposites.
Dependence torque increment of biocomposites according to Wolff on filler content
Physico-mechanical properties
Physico-mechanical properties of the biocomposites
| Component | Sample | |||||||||
|---|---|---|---|---|---|---|---|---|---|---|
| Natural rubber (NR) | 100 | 100 | 100 | 100 | 100 | 100 | 100 | 100 | 100 | 100 |
| Wheat bran (WB) | 10 | 30 | 50 | |||||||
| Wood flour (WF) | 10 | 30 | 50 | |||||||
| Microcrystalline cellulose (MC) | 10 | 30 | 50 | |||||||
| Physico-mechanical properties | ||||||||||
| Tensile strength (MPa) | 20.5 ± 1.6 | 14.0 ± 0.9 | 12.4 ± 0.4 | 7.2 ± 0.7 | 16.2 ± 1.3 | 12.2 ± 1.1 | 6.2 ± 0.5 | 19.4 ± 2.0 | 10.9 ± 1.4 | 7.0 ± 0.5 |
| Elongation at break (%) | 674 ± 34 | 675 ± 19 | 621 ± 59 | 534 ± 31 | 652 ± 23 | 646 ± 15 | 587 ± 17 | 694 ± 35 | 608 ± 26 | 527 ± 18 |
| Modulus at 100 % (MPa) | 0.81 ± 0.07 | 0.95 ± 0.03 | 1.34 ± 0.03 | 1.69 ± 0.11 | 1.08 ± 0.07 | 1.50 ± 0.12 | 1.64 ± 0.18 | 1.16 ± 0.03 | 1.73 ± 0.06 | 1.99 ± 0.15 |
| Modulus at 300 % (MPa) | 2.02 ± 0.19 | 1.93 ± 0.04 | 2.43 ± 0.19 | 2.63 ± 0.13 | 2.15 ± 0.07 | 2.29 ± 0.18 | 2.37 ± 0.10 | 2.35 ± 0.17 | 2.76 ± 0.11 | 3.01 ± 0.17 |
| Hardness (Sh A) | 46 | 50 | 59 | 66 | 54 | 61 | 68 | 54 | 62 | 70 |
| Experimental density (g/cm3) | 0.950 | 0.977 | 1.031 | 1.069 | 0.977 | 1.025 | 1.051 | 0.983 | 1.044 | 1.075 |
| Theoretical density (g/cm3) | – | 0.987 | 1.045 | 1.089 | 0.994 | 1.063 | 1.115 | 1.004 | 1.089 | 1.153 |
| Porosity (%) | – | 1.027 | 1.376 | 1.847 | 1.692 | 3.731 | 6.112 | 2.070 | 4.242 | 7.275 |
| Cross-link density (mol/cm3 × 10−4) | 0.99 | 0.84 | 1.02 | 1.17 | 0.91 | 0.95 | 0.95 | 0.97 | 0.99 | 1.20 |
| Sol fraction (%) | 3.2 | 3.3 | 3.2 | 3.1 | 3.1 | 2.9 | 2.4 | 3.1 | 2.8 | 2.3 |
a Stress–strain curves determined for biocomposites and b samples after tensile tests
Furthermore, it can be seen that increasing amount of incorporated filler results in enhanced hardness of the biocomposites. This confirms increased stiffness of the biocomposites due to limited mobility of NR chains. It was noticed that higher content of cellulose present in biofiller resulted in improvement of biocomposites’ hardness, while the presence of proteins (sample NR/WB) in cellulosic filler caused opposite effect. Summing up, differences between mechanical properties of biocomposites filled with WB, WF and MC are related to particle size distribution and content of proteins in used fillers.
Differences in the densities between composites are related to the applied fillers and porosity of studied biocomposites. The ascending trend in the density of green composites prepared in this work upon filler content is in good agreement with previous studies (Datta and Głowińska 2011; Li et al. 2008). The highest values were noticed for NR/MC biocomposites, which was expected considering the density of fillers (1.398, 1.484 and 1.605 g/cm3 for WB, WF and MC, respectively). NR/WB biocomposite samples showed higher values of density in comparison to NR/WF biocomposites, which not correlated with the theoretical values. Such phenomenon can be associated with different porosity of the biocomposites. It can be seen that incorporation of wheat bran into natural rubber matrix resulted in the lowest value of porosity, which can be related to the chemical composition and crystallinity degree of applied filler. Comparing to wood flour and microcellulose, wheat bran contains significant amount of proteins and lipids, which can act like plasticizers, simultaneously enhancing the molecular motion and facilitating the fitting of WB particles into pores between polymer chains (Selmin et al. 2015; Stein and Greene 1997; Stein et al. 1999). Furthermore, amorphous structure of cellulose present in WB could enhance matrix–filler interactions (Avolio et al. 2015; Tsuboi et al. 2012).
Swelling degree of biocomposites as function of time (swelling conducted in toluene at room temperature)
Samples modified with wheat bran particles showed slightly higher values of sol fraction than NR biocomposites filled with WF or MC. This phenomenon can be related to amorphous structure of wheat bran (see Fig. 3) and higher content of nonstructural wood constituents (Horvath 2006) in this cellulosic filler comparing to wood flour or microcellulose (see Table 2).
FTIR analysis
Based on economic and environmental aspects of the intended application, further research was performed for the biocomposites with the highest (50 phr) content of cellulosic fillers, which showed satisfactory processing and physico-mechanical properties.
FTIR spectra of studied biocomposites
Thermogravimetric analysis
TGA and DTG curves determined for biocomposites
Thermal decomposition characteristics of prepared biocomposites
| Sample | Mass loss (%) | Tmax1 (°C) | Tmax2 (°C) | |||
|---|---|---|---|---|---|---|
| 2 | 5 | 10 | 50 | |||
| Temperature (°C) | ||||||
| WB | 111.7 | 225.3 | 265.3 | 336.8 | 309.4 | – |
| WF | 188.8 | 263.3 | 288.8 | 364.7 | – | 373.3 |
| MC | 175.6 | 288.5 | 311.1 | 360.4 | – | 367.4 |
| NR | 264.8 | 320.7 | 349.8 | 392.7 | – | 388.0 |
| NR + 50 phr WB | 193.4 | 262.8 | 292.0 | 386.6 | 310.4 | 388.1 |
| NR + 50 phr WF | 209.6 | 280.0 | 310.8 | 386.4 | – | 385.0 |
| NR + 50 phr MC | 208.4 | 285.2 | 321.6 | 382.7 | – | 374.7 |
Moreover, noticeable differences have been observed between samples filled with WB and other fillers. Such phenomenon is associated with different chemical composition of applied cellulosic fillers. Wheat bran, except cellulose, contains significant amounts of hemicellulose, lignin and other compounds (e.g. proteins, starch) and according to literature reports, decomposition of hemicellulose and lignin occurs in lower temperature range in comparison to cellulose (Chapple and Anandjiwala 2010). Hemicellulose and lignin present in cell walls of wheat bran begin to decompose even before reaching 150 °C, while decomposition of the cellulose, resulting in formation of volatiles and char, starts around 200 °C (Fan and Naughton 2016).
As it can be seen in differential thermogravimetric (DTG) curves, for sample NR + 50 phr WB, there is a noticeable peak at 310.4 °C, related to the degradation of components present in wheat bran. Similar peak was observed in case of thermal degradation of pure wheat bran (309.4 °C). For the samples NR + 50 phr WF and NR + 50 phr MC only one peak is observed on DTG curves, due to the overlapping of peaks characteristic for natural rubber and cellulose present in wood flour and microcellulose. However, it can be seen that addition of cellulosic fillers shifts position of peak towards lower temperatures. Such signal is very characteristic for cellulose materials, which show rapid mass loss around 360 °C (Gao and Dai 2006).
Dynamic mechanical analysis
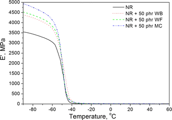
Storage modulus of biocomposites as a function of temperature
Plot of tanδ of biocomposites as a function of temperature
Glass transition temperatures, volume fractions of immobilized polymer chains and adhesion factors of the biocomposites
| Properties | Sample | |||
|---|---|---|---|---|
| NR | NR + 50 phr WB | NR + 50 phr WF | NR + 50 phr MC | |
| Tg (with respect to tan δ max) (°C) | −41.19 | −39.22 | −41.50 | −43.15 |
| Tg (with respect to E″ max) (°C) | −48.48 | −47.61 | −49.48 | −49.30 |
| E’ at 25 °C (MPa) | 5.00 | 6.67 | 6.51 | 11.01 |
| tan δ at 25 (°C) | 0.15 | 0.09 | 0.15 | 0.13 |
| Cv | 0 | 0.0498 | 0.0552 | 0.0977 |
| A | – | 0.0211 | −0.0808 | −0.3467 |
A low value for A indicates high level of interface adhesion and enhanced interactions between the matrix and filler particles (Wei et al. 2013). The A values for analyzed samples are presented in Table 6. Adhesion factor values are in line with the presented values of Cv, which suggest the highest matrix–filler adhesion for samples containing MC and the lowest for NR/WB biocomposite. Presented calculations explain the differences in static mechanical properties between studied biocomposites. Negative values of adhesion factor in case of samples containing wood flour and microcellulose can be associated with the simplification of model and neglecting of the filler anisotropy and with development of the interphase region, which obviously have slight influence on the macromolecular mobility at the filler surroundings (Correa et al. 2007).
Scanning electron microscopy
SEM images of biocomposites surface after swelling tests (magnification ×100): a unfilled NR, b NR + 50 phr WB, c NR + 50 phr WF and d NR + 50 phr MC
Conclusions
Natural rubber based biocomposites filled with varying content of wheat bran were prepared using internal mixer and followed by cross-linking with sulfur curing system. For better understanding of the interfacial interactions between natural rubber and wheat bran, the properties of the prepared biocomposites were compared with those filled with two commercial cellulosic fillers: wood flour and microcellulose. The obtained biocomposites were examined for structure, processing, physico-mechanical, swelling, thermal and morphological properties. Reinforcing activity of applied cellulosic fillers was evaluated using a Wolff activity coefficient. The obtained results suggest reinforcing effect of applied fillers, which increases with content of filler. It was noticed that reinforcing activity of cellulosic fillers did not correspond with the results of mechanical properties, which can be related to strain inducted crystallization of natural rubber. Higher amount of cellulosic filler in natural rubber matrix limited mobility of polymer chains, which was confirmed by the results of modulus at 100/300 % elongation, hardness, cross-link density and dynamic mechanical analysis. This phenomenon resulted in very limited strain-induced crystallization of natural rubber matrix. The results have shown that comparing to commercial cellulosic fillers, presence of amorphous cellulose and high content of amino-acids in the wheat bran has a beneficial influence on processing, physico-mechanical and morphological properties of the biocomposites. Furthermore, high content of macro- and microelements present in wheat bran may affect in positive way on further biodegradation of the biocomposites.
This work confirms that wheat bran can be successfully applied as low-cost alternative for “conventional” cellulosic fillers in elastomeric composites. Furthermore, presented results indicate that further studies on that field should focus on: (1) evaluation the impact of proteins, macro- and microelements present in cellulosic filler on biodegradation efficiency of biocomposites; (2) optimization of NR based biocomposites’ processing and curing conditions (e.g. applied curing system); (3) application of WB together with other fillers (e.g. nanofillers) as “hybrid fillers” in biocomposites.
Notes
Acknowledgments
We thank Prof. Maria Gazda at Faculty of Applied Physics and Mathematics, Gdansk University of Technology for XRD measurements and valuable help during description of obtained results. This research received no specific grant from any funding agency in the public, commercial or not-for-profit sectors.
References
- Abdalla M, Dean D, Adibempe D, Nyairo E, Robinson P, Thompson G (2007) The effect of interfacial chemistry on molecular mobility and morphology of multiwalled carbon nanotubes epoxy nanocomposite. Polymer 48:5662–5670CrossRefGoogle Scholar
- Agarwal UP, Reiner RS, Ralph SA (2010) Cellulose I crystallinity determination using FT-Raman spectroscopy: univariate and multivariate methods. Cellulose 17:721–733CrossRefGoogle Scholar
- Avolio R, Graziano V, Pereira YDF, Cocca M, Gentile G, Errico ME, Ambrogi V, Avella M (2015) Effect of cellulose structure and morphology on the properties of poly(butylene succinate-co-butylene adipate) biocomposites. Carbohydr Polym 133:408–420CrossRefGoogle Scholar
- Bernardinelli OD, Lima MA, Rezende CA, Polikarpov I, deAzevedo ER (2015) Quantitative 13C MultiCP solid-state NMR as a tool for evaluation of cellulose crystallinity index measured directly inside sugarcane biomass. Biotechnol Biofuels 8:110CrossRefGoogle Scholar
- Barth A (2007) Infrared spectroscopy of proteins. Biochim Biophys Acta 1767:1073–1101CrossRefGoogle Scholar
- Berthet MA, Angellier-Coussy H, Machado D, Hilliou L, Staebler A, Vicente A, Gontard N (2015) Exploring the potentialities of using lignocellulosic fibres derived from three food by-products as constituents of biocomposites for food packaging. Ind Crop Prod 69:110–122CrossRefGoogle Scholar
- Bertran MS, Dale BE (1986) Determination of cellulose accessibility by differential scanning calorimetry. J Appl Polym Sci 32:4241–4253CrossRefGoogle Scholar
- Bindu P, Thomas S (2013) Viscoelastic behavior and reinforcement mechanism in rubber nanocomposites in the vicinity of spherical nanoparticles. J Phys Chem B 117:12632–12648CrossRefGoogle Scholar
- Błędzki AK, Franciszczak P, Mamun A (2014) The utilization of biochemically modified microfibers from grain by-products as reinforcement for polypropylene biocomposite. Express Polym Lett 10:767–778Google Scholar
- Błędzki AK, Franciszczak P, Osman Z, Elbadawi M (2015) Polypropylene biocomposites reinforced with softwood, abaca, jute, and kenaf fibers. Ind Crop Prod 70:91–99CrossRefGoogle Scholar
- Brüning K, Schneider K, Heinrich G (2012) Deformation and orientation in filled rubbers on the nano- and microscale studied by X-ray scattering. J Polym Sci Pol Phys 50:1728–1732CrossRefGoogle Scholar
- Budarin VL, Clark JH, Lanigan BA, Shuttleworth P, Macquarrie DJ (2010) Microwave assisted decomposition of cellulose: a new thermochemical route for biomass exploitation. Bioresour Technol 101:3776–3779CrossRefGoogle Scholar
- Cao X, Lee LJ, Widya T, Macosko C (2005) Polyurethane/clay nanocomposites foams: processing, structure and properties. Polymer 46:775–783CrossRefGoogle Scholar
- Caprez A, Arrigoni E, Amadò R, Neukom H (1986) Influence of different types of thermal treatment on the chemical composition and physical properties of wheat bran. J Cereal Sci 4:233–239CrossRefGoogle Scholar
- Chapple S, Anandjiwala R (2010) Flammability of natural fiber-reinforced composites and strategies for fire retardancy: a review. J Thermoplast Compos Mater 23:871–893CrossRefGoogle Scholar
- Chikhi M, Agoudjil B, Boudenne A, Gherabli A (2013) Experimental investigation of new biocomposite with low cost for thermal insulation. Energy Build 66:267–273CrossRefGoogle Scholar
- Ciolacu D, Ciolacu F, Popa VI (2011) Amorphous cellulose—structure and characterization. Cellul Chem Technol 45:13–21Google Scholar
- Colom X, Carrillo F, Nogués F, Garriga P (2003) Structural analysis of photodegraded wood by means of FTIR spectroscopy. Polym Degrad Stab 80:543–549CrossRefGoogle Scholar
- Correa CA, Razzino CA, Hage E (2007) Role of maleated coupling agents on the interface adhesion of polypropylene–wood composites. J Thermoplast Compos Mater 20:323–338CrossRefGoogle Scholar
- Datta J, Głowińska E (2011) Influence of cellulose on mechanical and thermomechanical properties of elastomers obtained from mixtures containing natural rubber. Polimery 56:823–827Google Scholar
- Faix O (1991) Classification of lignins from different botanical origins by ft-ir spectroscopy. Holzforschung 45:21–27CrossRefGoogle Scholar
- Faludi G, Dora G, Imre B, Renner K, Móczó J, Pukánszky B (2014) PLA/lignocellulosic fiber composites: particle characteristics, interfacial adhesion, and failure mechanism. J Appl Polym Sci 131:39902CrossRefGoogle Scholar
- Fan M, Naughton A (2016) Mechanisms of thermal decomposition of natural fiber composites. Compos Part B Eng 88:1–10CrossRefGoogle Scholar
- Flory PJ, Rehner J (1943) Statistical mechanics of cross-linked polymer networks I. Rubberlike elasticity. J Chem Phys 11:512–520CrossRefGoogle Scholar
- Franciszczak P, Błędzki AK (2015) Tailoring of dual-interface in high tenacity PP composites—toughening with positive hybrid effect. Compos Part A Appl Sci Manuf. doi: 10.1016/j.compositesa.2015.07.001 Google Scholar
- French AD (2014) Idealized powder diffraction patterns for cellulose polymorphs. Cellulose 21:885–896CrossRefGoogle Scholar
- French AD, Cintrón MS (2013) Cellulose polymorphy, crystallite size, and the Segal crystallinity index. Cellulose 20:583–588CrossRefGoogle Scholar
- Gao M, Dai QJ (2006) Studies on the thermal degradation of cellulosic fibers treated with flame retardants. Chin J Process Eng 6:242–246Google Scholar
- Georgiopoulos P, Kontou E (2015) The effect of wood-fiber type on the thermomechanical performance of a biodegradable polymer matrix. J Appl Polym Sci 132:42185CrossRefGoogle Scholar
- Gurunathan T, Mohanty S, Nayak SK (2015) A review of the recent developments in biocomposites based on natural fibres and their application perspectives. Compos Part A Appl Sci Manuf 77:1–25CrossRefGoogle Scholar
- Hejna A, Formela K, Saeb MR (2015) Processing, mechanical and thermal behavior assessments of polycaprolactone/agricultural wastes biocomposites. Ind Crop Prod 76:725–733CrossRefGoogle Scholar
- Hong H, He H, Jia D, Zhang H (2011) Effect of wood flour on the curing behaviour, mechanical properties, and water absorption of natural rubber/wood flour composites. J Macromol Sci Part B Phys 50:1625–1636CrossRefGoogle Scholar
- Horvath AL (2006) Structurally complicated materials: I. Wood. J Phys Chem Ref Data 35:77–92CrossRefGoogle Scholar
- Ismail H, Edyham MR, Wirjosentono B (2002) Bamboo fibre filled natural rubber composites: the effects of filler loading and bonding agent. Polym Test 21:139–144CrossRefGoogle Scholar
- Jacob M, Thomas S, Varughese KT (2004) Mechanical properties of sisal/oil palm hybrid fiber reinforced natural rubber composites. Compos Sci Technol 64:955–965CrossRefGoogle Scholar
- Jiang C, He H, Jiang H, Ma L, Jia DM (2013) Nano-lignin filled natural rubber composites: preparation and characterization. Express Polym Lett 7:480–493CrossRefGoogle Scholar
- Jong L (2015) Toughness of natural rubber composites reinforced with hydrolyzed and modified wheat gluten aggregates. J Polym Environ 23:541–550CrossRefGoogle Scholar
- Karaağaç B (2014) Use of ground pistachio shell as alternative filler in natural rubber/styrene–butadiene rubber-based rubber compounds. Polym Compos 35:245–252CrossRefGoogle Scholar
- Karimi K, Taherzadeh MJ (2016) Analytical methods in pretreatment of lignocelluloses: composition, imaging, and crystallinity. Bioresour Technol 200:1008–1018CrossRefGoogle Scholar
- Kasapis S, Sablani SS, Rahman MS, Al-Marhoobi IM, Al-Amri IS (2007) Porosity and the effect of structural changes on the mechanical glass transition temperature. J Agric Food Chem 55:2459–2466CrossRefGoogle Scholar
- Khan RA, Beck S, Dussault D, Salmieri S, Bouchard J, Lacroix M (2013) Mechanical and barrier properties of nanocrystalline cellulose reinforced poly(caprolactone) composites: effect of gamma radiation. J Appl Polym Sci 129:3038–3046CrossRefGoogle Scholar
- Kljun A, Benians TAS, Goubet F, Meulewaeter F, Knox JP, Blackburn RS (2011) Comparative analysis of crystallinity changes in cellulose I polymers using ATR-FTIR, X-ray diffraction, and carbohydrate-binding module probes. Biomacromolecules 12:4121–4126CrossRefGoogle Scholar
- Kojima Y, Usuki A, Kawasumi M, Okada A, Kurauchi T, Kamigaito O (1993) Sorption of water in nylon 6-clay hybrid. J Appl Polym Sci 49:1259–1264CrossRefGoogle Scholar
- Korol J, Lenża J, Formela K (2015a) Manufacture and research of TPS/PE biocomposites properties. Compos Part B Eng 68:310–316CrossRefGoogle Scholar
- Korol J, Burchart-Korol D, Pichlak M (2015b) Expansion of environmental impact assessment for eco-efficiency evaluation of biocomposites for industrial application. J Clean Prod. doi: 10.1016/j.jclepro.2015.11.101 Google Scholar
- Kramárová Z, Alexy P, Chodák I, Špirk E, Hudec I, Koŝíková B, Gregorová A, Šúri P, Feranc J, Bugaj P, Ďuračka M (2007) Biopolymers as fillers for rubber blends. Polym Adv Technol 18:135–140CrossRefGoogle Scholar
- Kraus GJ (1963) Swelling of filler-reinforced vulcanizates. J Appl Polym Sci 7:861–871CrossRefGoogle Scholar
- Kubát J, Rigdahl M, Welander M (1990) Characterization of interfacial interactions in high density polyethylene filled with glass spheres using dynamic-mechanical analysis. J Appl Polym Sci 39:1527–1539CrossRefGoogle Scholar
- Kwiecień I, Adamus G, Bartkowiak A, Kowalczuk M (2014) Synthesis and structural characterization at the molecular level of oligo(3-hydroxybutyrate) conjugates with antimicrobial agents designed for food packaging materials. Des Monomers Polym 17:311–321CrossRefGoogle Scholar
- Li X, Tabil LG, Oguocha IN, Panigrahi S (2008) Thermal diffusivity, thermal conductivity, and specific heat of flax fiber-HDPE biocomposites at processing temperatures. Compos Sci Technol 68:1753–1758CrossRefGoogle Scholar
- Liu R, Peng Y, Cao J, Chen Y (2014) Comparison on properties of lignocellulosic flour/polymer composites by using wood, cellulose, and lignin flours as fillers. Compos Sci Technol 103:1–7CrossRefGoogle Scholar
- López-Manchado MA, Herrero B, Arroyo M (2003) Preparation and characterization of organoclay nanocomposites based on natural rubber. Polym Int 52:1070–1077CrossRefGoogle Scholar
- Manaila E, Stelescu MD, Doroftei F (2015) Polymeric composites based on natural rubber and hemp fibers. Iran Polym J 24:135–148CrossRefGoogle Scholar
- Menon ARR, Pillai CKS, Nando GB (1998) Vulcanization of natural rubber modified with cashew nut shell liquid and its phosphorylated derivative—a comparative study. Polymer 39:4033–4036CrossRefGoogle Scholar
- Mohammed L, Ansari MNM, Pua G, Jawaid M, Islam MS (2015) A review on natural fiber reinforced polymer composite and its applications. Int J Polym Sci. Article ID 243947Google Scholar
- Nam S, French AD, Condon BD, Concha M (2016) Segal crystallinity index revisited by the simulation of X-ray diffraction patterns of cotton cellulose Iβ and cellulose II. Carbohydr Polym 135:1–9CrossRefGoogle Scholar
- Peltola H, Pääkkönen E, Jetsu P, Heinemann S (2014) Wood based PLA and PP composites: effect of fibre type and matrix polymer on fibre morphology, dispersion and composite properties. Compos Part A Appl Sci Manuf 61:13–22CrossRefGoogle Scholar
- Proniewicz LM, Paluszkiewicz C, Wesełucha-Birczyńska A, Majcherzyk H, Barański A, Konieczna A (2001) FT-IR and FT-Raman study of hydrothermally degradated cellulose. J Mol Struct 596:163–169CrossRefGoogle Scholar
- Raza MA, Ashraf MA, Westwood AVK, Jamil T, Ahmad R, Inamm A, Deen KM (2014) Maleated high oleic sunflower oil-treated cellulose fiber-based styrene butadiene rubber composites. Polym Compos. doi: 10.1002/pc.23273 Google Scholar
- Ren Y, Zhao R, Yao Q, Li Q, Zhang X, Zhang L (2015) Effects of plasticizers on the strain-induced crystallization and mechanical properties of natural rubber and synthetic polyisoprene. RSC Adv 5:11317–11324CrossRefGoogle Scholar
- Sałasińska K, Ryszkowska J (2015) The effect of filler chemical constitution and morphological properties on the mechanical properties of natural fiber composites. Compos Interfaces 22:39–50CrossRefGoogle Scholar
- Sareena C, Ramesan MT, Purushothaman E (2012a) Utilization of coconut shell powder as a novel filler in natural rubber. J Reinf Plast Compos 31:533–547CrossRefGoogle Scholar
- Sareena C, Ramesan MT, Purushothaman E (2012b) Utilization of peanut shell powder as a novel filler in natural rubber. J Appl Polym Sci 125:232–234CrossRefGoogle Scholar
- Saunders RM (1978) Wheat bran: composition and digestibility. In: Spiller GA (ed) Topics in dietary fiber research, 1st edn. Plenum Press, New York, pp 43–58CrossRefGoogle Scholar
- Schwanninger M, Rodrigues JC, Pereira H, Hinterstoisser B (2004) Effects of short-time vibratory ball milling on the shape of FT-IR spectra of wood and cellulose. Vib Spectrosc 36:23–40CrossRefGoogle Scholar
- Selmin F, Franceschini I, Cupone IE, Minghetti P, Cilurzo F (2015) Aminoacids as non-traditional plasticizers of maltodextrins fast-dissolving film. Carbohydr Polym 115:613–616CrossRefGoogle Scholar
- Shen CH, Springer GS (1976) Moisture absorption and desorption of composite materials. J Compos Mater 10:2–20CrossRefGoogle Scholar
- Shen L, Haufe J, Patel MK (2009) Product overview and market projection of emerging biobased plastics. Report No: NWS-E-2009-32 The Netherlands: UtrechtGoogle Scholar
- Sobczak L, Brüggemann O, Putz RF (2013) Polyolefin composites with natural fibers and wood-modification of the fiber/filler–matrix interaction. J Appl Polym Sci 127:1–17CrossRefGoogle Scholar
- Sormana JL, Meredith JC (2004) High-throughput discovery of structure-mechanical property relationships for segmented Poly(urethane−urea)s. Macromolecules 37:2186–2195CrossRefGoogle Scholar
- Stein TM, Gordon SH, Greene RV (1999) Amino acids as plasticizers: II. Use of quantitative structure-property relationships to predict the behavior of monoammoniummonocarboxylate plasticizers in starch-glycerol blends. Carbohydr Polym 39:7–16CrossRefGoogle Scholar
- Stein TM, Greene RV (1997) Amino acids as plasticizers for starch-based plastics. Starch 49:245–249CrossRefGoogle Scholar
- Tarakcilar AR (2011) The effects of intumescent flame retardant including ammonium polyphosphate/pentaerythritol and fly ash fillers on the physicomechanical properties of rigid polyurethane foams. J Appl Polym Sci 120:2095–2102CrossRefGoogle Scholar
- Teuber L, Osburg VS, Toporowski W, Militz H, Krause A (2016) Wood polymer composites and their contribution to cascading utilization. J Clean Prod 110:9–15CrossRefGoogle Scholar
- Tomaszewska-Ciosk E, Golachowski A, Zdybel E (2013) Determination of biodegradation rate of carrier for microorganism immobilization fabricated based on starch. Pol J Chem Technol 15:110–114CrossRefGoogle Scholar
- Tsuboi T, Yoshino T, Mori M (2012) Improvement of physical properties of poly(lactic acid) by adding amorphous cellulose. Seikei-Kakou 24:612–617CrossRefGoogle Scholar
- Wei L, Liang S, McDonald AG (2015) Thermophysical properties and biodegradation behavior of green composites made from polyhydroxybutyrate and potato peel waste fermentation residue. Ind Crop Prod 69:91–103CrossRefGoogle Scholar
- Wei L, McDonald AG, Freitag C, Morrell JJ (2013) Effects of wood fiber esterification on properties, weatherability and biodurability of wood plastic composites. Polym Degrad Stab 98:1348–1361CrossRefGoogle Scholar
- Xu F, Yu J, Tesso T, Dowell F, Wang D (2013) Qualitative and quantitative analysis of lignocellulosic biomass using infrared techniques: a mini-review. Appl Energy 104:801–809CrossRefGoogle Scholar
- Yona AMC, Budija F, Kricej B, Kutnara A, Pavlic M, Pori P, Tavzes C, Petric M (2014) Production of biomaterials from cork: liquefaction in polyhydric alcohols at moderate temperatures. Ind Crop Prod 54:296–301CrossRefGoogle Scholar
- Yue Y, Han J, Han G, Zhang Q, French AD, Wu Q (2015) Characterization of cellulose I/II hybrid fibers isolated from energycane bagasse during the delignification process: morphology, crystallinity and percentage estimation. Carbohydr Polym 133:438–447CrossRefGoogle Scholar
- Zhou Y, Fan M, Che L, Zhuang J (2015) Lignocellulosic fibre mediated rubber composites: an overview. Compos Part B Eng 76:180–191CrossRefGoogle Scholar
Copyright information
Open AccessThis article is distributed under the terms of the Creative Commons Attribution 4.0 International License (http://creativecommons.org/licenses/by/4.0/), which permits unrestricted use, distribution, and reproduction in any medium, provided you give appropriate credit to the original author(s) and the source, provide a link to the Creative Commons license, and indicate if changes were made.











