Two-phase heuristic for SNCF rolling stock problem
- 51 Downloads
Abstract
A two-phase approach was adopted to solve the problem given during the ROADEF/EURO Challenge 2014 competition. The problem focuses on rolling stock management at railway sites, as defined by French Railways (SNCF). In the first phase, a train assignment problem is solved by combining a greedy heuristic procedure with integer programming. The objective is to maximize the number of assigned departures while meeting technical constraints. The second phase consists of scheduling train movements inside the station while minimizing the number of cancelled (uncovered) arrivals and departures. This schedule has to comply with resource constraints such as capacity, length, order of trains, etc. A constructive heuristic is used to build a feasible schedule, which is subject to improvement by an iterative procedure based on a local search. Experiment results, that demonstrate the effectiveness of our approach on the large scale instances provided by SNCF, are presented hereafter.
Keywords
Greedy heuristic Integer programming Local search Rolling stock Scheduling1 Introduction
This paper considers the problem of rolling stock unit management at railway sites, as defined by French Railways (SNCF) and proposed at the ROADEF/EURO Challenge 2014. The problem involves managing trains between their arrivals and departures at terminal stations. The purpose of this paper is to describe the method developed by our team upon taking part in this challenge. The main goal was to achieve the best possible results in relation to the other competitors. This problem is currently being jointly addressed by several SNCF Departments, by breaking it down into several sub-problems (train assignment, scheduling constraints, track group conflicts, platform assignment, maintenance planning, etc.) to be solved sequentially. Consequently, the integrated problem formulation dealt with here (in the challenge) actually reflects a forward-looking approach. Between terminal station arrivals and departures, the trains in fact are always present. This aspect, unfortunately, often gets neglected in railway optimization methods (Ramond and Marcos 2014). In the past however, rail networks possessed sufficient capacity to accommodate all trains without introducing excessive constraints—but this is no longer the case. Traffic has indeed increased considerably during recent years, and a number of stations are now experiencing serious congestion (Ramond and Marcos 2014; Corman et al. 2010; Huisman et al. 2005). Current traffic trends will make this phenomenon even more challenging over the next several years. The proposed model focuses on the multiple dimensions inherent in this problem, by taking into account many different aspects. The model’s scope remains within geographically limited boundaries, typically over just a few km in urban environments: train stations and their surrounding railway infrastructures are targeted by this model. The solutions to such problems involve temporary parking and shunting on station locations, which typically consists of platforms, maintenance facilities, rail yards adjacent to stations and the set of tracks linking these various resources (this infrastructure constitutes what is referred to as the “system”).
This paper will be organized as follows. A description of the problem is provided in Sect. 2. The description given herein was borrowed from the official competition subject (Ramond and Marcos 2014). Section 3 addresses a related work. Our two-phase approach is described in Sect. 4: solving the problem of matching (assigning) trains to departures is considered first, followed by the problem of scheduling trains inside the station. An iterative improvement procedure, based on a local search, is presented at the end of this section. The computational results obtained from the available set of instances, provided by SNCF, are detailed in Sect. 5. The last section presents the authors’ final remarks and conclusion.
2 Problem statement
A comprehensive description of the problem can be found in the competition subject (Ramond and Marcos 2014). Herein, we give a simplified, more concise formulation which is sufficient to describe our approach and make our presentation clearer and more readable.
2.1 Planning horizon
The planning horizon considered in this problem is an integral number of days (nDays) from morning of day 1 to midnight of day nDays. We use the word “time” to represent a time instant (date/time) during the horizon. The time horizon is discretized, the smallest duration taken into account being one second.
2.2 Arrivals and departures
-
arrival time \(arrTime_t\),
-
\(idealDwell_t\) and \(maxDwell_t\), respectively representing the ideal and the maximum time train should stay on the platform after \(arrTime_t\),
-
remaining distance before maintenance \(remDBM_t\), determining whether or not t must perform maintenance operations before being assigned to a departure.
-
\(depTime_d\), \(idealDwell_d\), \(maxDwell_d\): all similar to the train arrival attributes,
-
distance \(reqD_d\) of the journey following the departure; this value is compared, for a train \(t \in \mathcal{T}\), with \(remDBM_t\), to determine whether or not maintenance operations have to be performed on t before \(depTime_d\).
2.3 Maintenance
Trains must be serviced on a regular basis to enable them to operate safely. Maintenance work helps restore \(remDBM_t\) to its maximum value \(maxDBM_t\). Maintenance operations can only be performed at servicing facilities. As the system’s maintenance capability is limited, the number of operations which can be performed in one day, i.e. across all the system’s maintenance facilities, is bounded by a maximum value represented by maxMaint.
2.4 Infrastructure resources
Example of infrastructure with 8 platforms, a single yard, 5 maintenance facilities and 4 track groups connecting them
Platforms represent tracks within the train station where passengers can board and disembark. Maintenance facility resources are special tracks inside maintenance workshops. They are used to periodically reset the train remDBM. Platforms and maintenance facilities are both characterized by a length which may not be exceeded by the total length of trains using it (length of platforms in the example shown in Fig. 1 varies from 270 to 400, while all facilities have a length of 350 or 450).
Yards are sets of tracks used to park trains. Trains can stay in yards with no time restriction, but a yard has a limited physical capacity in terms of the number of trains it can handle simultaneously (25 for the yard in Fig. 1 example). Capacity is the only constraint when parking the trains in the yards, i.e. there are no constraints on movement of trains in the yards as is the case on platforms or in maintenance facilities.
Track groups are sets of tracks used by trains to move throughout the system. Its real physical configuration in terms of tracks and switches linking them can be very complex. Its complexity is not taken into account herein; we have considered it as a black box with some indications on how to identify conflicts. The duration of use of track group k by any train (i.e. travel time) is a constant denoted by \(trTime_k\). It is the time required by a train to enter the track group k on one side and exit from the opposite side. Indeed, a train entering on one side of a track group must exit from the other side. All gates on one side are reachable from all gates of the opposite side. In addition, \(hwTime_k\) represents the headway of the track group: this is a safety time which must be adhered to at any place between two trains. In Fig. 1, trTime and hwTime are shown for each track group in the top left and bottom right corners respectively; for example, for track group 2 we have \(trTime = 30\,\hbox {s}\) and \(hwTime = 3\,\hbox {min}\). When several trains use a track group over the same time period, there may be conflicts between them. A conflict occurs if the paths of two trains on the track group intersect and headway time hwTime between them is not complied with. Conflicts are considered to be unfeasible. Each arrival and each departure has a fixed arrival/departure sequence. These sequences represent the routing of trains on the tracks during the last few km before reaching the platforms. Sequence is defined by an ordered set of track groups that a train has to use when arriving/departing. In Fig. 1, possible arrival sequences are TrackGroup3-TrackGroup1 and TrackGroup4-TrackGroup2-TrackGroup1.
2.5 Solution representation and objective function
- 1.
Uncovered arrival/departure cost,
- 2.
Platform usage cost.
3 Related work
A large body of literature on train routing problems is available. However, any exact or even similar matches from previous research with the current problem could not be identified. Only variations to some of the sub-problems occurring here can be found in publications such as Lentink et al. (2003) and Freling et al. (2005). Furthermore, there is a broad range of optimization models for specific problem variants. We will not therefore be emphasizing any of the papers or related problem variants herein.
Recently, both during and after the competition, a few papers (or technical reports) were published on this topic. Cambazard and Catusse (2014) propose a methodology heavily based on modelling with both integer programming (IP) and Constraint Programming technologies for problem resolution. These authors mainly concentrate on solving the problem of assigning trains to departures and using an integer programming approach similar to that explained in this paper. Haahr and Bull (2014) propose two exact methods, IP and Column Generation, for solving the same sub-problem (called “Train Departure Matching Problem” in their paper). They report that solving the problem of assigning trains to departures exactly is very difficult, if not impossible, for a given set of instances. Most of the teams competing in the ROADEF/EURO Challenge 2014 proposed algorithms that rely on greedy procedures or integer programming or a combination of both. Modelling an entire problem, or a significant part of one, using IP is theoretically possible and has been achieved by a number of competitors, yet the outcome proved incapable of producing satisfactory results on the given set of instances. IP techniques therefore are mainly used to solve only specific sub-problems. The breakdown of a problem into two dependent sub-problems, i.e. assignment and scheduling problems, is quite a natural step given the complexity of the initial problem and was implemented in most of the approaches presented. To the best of our knowledge, none of competitors conducted a local search (at least as a significant component of their research).
4 Two-phase approach
In our method, the problem has been broken down into two sub-problems, which are then solved sequentially. During the first phase, a train assignment problem is solved by combining a greedy heuristic procedure with integer programming (IP). The main objective here is to maximize the number of assigned departures while meeting technical constraints. Other objectives are taken into account as well, with the aim of obtaining “better” input for the subsequent phase. During the second phase, the train scheduling problem, which consists of scheduling the trains inside the station, is solved using a constructive heuristic model. The goal is to schedule as many assignments as possible, by using station resources and complying with all the constraints. An iterative improvement procedure is implemented in order to improve the resulting schedule.
4.1 Assignment problem
-
The remaining distance before the maintenance of train t must be sufficient for departure d: \(remDBM_t \ge reqD_d\).
-
The time difference between arrival and departure must be large enough (for maintenance operations, parking,...).
- 1.
\(arrTime_t + maintTime(t,d) + addTime(t,d) \le depTime_d\),
- 2.
\(remDBM_t \ge reqD_d\),
-
maintTime(t, d) is the total maintenance duration required for scheduling t to d (0 if maintenance not required),
-
addTime(t, d) is an additional time necessary for parking and handling the train, i.e. in the case where the train is required to leave the arrivals platform before departure (non-immediate departure). The train may be parked either at the maintenance facility to undergo servicing or at any authorized resource before being scheduled for departure.
- 1.
maximize the number of assigned departures,
- 2.
maximize the number of immediate departures,1
- 3.
minimize the number of maintenance operations,
- 4.
minimize the number of assignments with a large difference between departure time and arrival time (greater than 10 h for example).
-
nmbM(t, d): the number of maintenances required to schedule train t to departure d (equals 0 or 1);
-
imm(t, d): equals 1 if d is immediate, 0 otherwise;
-
long(t, d): equals 1 if \(depTime_d - arrTime_t > L\), where L is a parameter, 0 otherwise.
4.1.1 Greedy procedure
-
sort departures \(d\in \mathcal{D}\) in ascending order with respect to departure time;
-
for each departure \(d\in \mathcal{D}\), find the “best” available train.
-
consider only currently unassigned trains;
-
whenever possible, choose an immediate assignment;
-
assignments without required maintenance and trains with a small remDBM are preferable for non-linked departures;
-
in contrast to the previous rule, assignments with required maintenance and trains with a large remDBM are preferable for linked departures;
-
long waiting times between arrival and departure are not desirable.
4.1.2 IP model
-
The assignment problem is solved by a greedy procedure;
-
Linked departure assignments are fixed (in updating the data on linked trains);
-
The resulting assignment problem is solved once again with IP.
-
each assignment \((t_i,d_i)\) is feasible;
-
none of the departures \(d_1,\ldots ,d_n\) is linked;
- none of the trains \(t_1,\ldots ,t_n\) has been assigned to linked departure i.e.$$\begin{aligned} \forall i \in \{1,\ldots ,n\}, j \in \{1,\ldots ,k\} t_i \ne ft_j. \end{aligned}$$
Assignments ordered by departure day and arrival day
4.1.3 Choosing maintenance days
-
sorting assignments (requiring maintenance) in ascending order by departure day and then by arrival day (example is given in Fig. 2);
- for each assignment (t, d) in a sorted list:
-
choose the first available day for maintenance, i.e. the first day in \(\{arrDay_t,\ldots , depDay_d\}\) for which the maintenance limit has not been reached.
-
Claim
Proof
-
\(day_0 = 1\) or
-
the limit is not reached for \(day_0 - 1\). (**)
-
\(A_{fi} \ge day_0\): otherwise, the chosen servicing day would not be greater than \(day_0 - 1\) because of the assignment rule and (**),
-
\(D_{fi} \le D_j\): as a result of the sorting order.
4.2 Scheduling problem
- 1.
t is scheduled for departure \(d \in \mathcal{D}\);
- 2.
t is parked inside the station until the end of the planning time frame without being scheduled for any departure;
- 3.
t is cancelled.
4.2.1 Possible train movements
-
arriving at the platform via a given set of track groups (arrival sequence),
-
departing from the platform via a given set of track groups (departure sequence),
-
move from arrivals platform to yard,
-
move from arrivals platform to facility,
-
move from parking (facility, yard) to departure platform,
-
move from yard to facility,
-
move from facility to yard.
The scheduling procedure seeks to identify a feasible schedule for a given train with small number of travels. The choice of movements depends on the type of operations that need to be carried out (e.g. maintenance), total time to be spent at the station, etc. Train movements are planned one by one. If no feasible travel can be found at some point during the planning procedure, then the train will be cancelled, i.e. no attempt will be made to modify the previous movements.
4.2.2 Resource consumption and travel feasibility
Resource consumption is tracked by recording the set of all previous visits for each resource in the station. A visit to a resource has the following attributes: entry time and side, exit time and side, train length, and entry and exit gates. Each time the resource needs to be visited by a train, all constraints for a given resource are checked and the visit is only allowed if found to be feasible. Then, verifying the feasibility of travel T(P, h) simply requires checking the visit feasibility on each resource in path P, with corresponding entry and exit times being uniquely determined by h.
4.2.3 Time spent on a resource between two travels
- 1.
If the last travel resource is a yard: the exit time is equal to departure time if the train is to be scheduled for a departure; otherwise, the exit time is the end of the planning horizon.
- 2.If the last travel resource is a facility (for either parking or maintenance).
-
same as (1) in the case maintenance is not required,
-
otherwise, exit time is equal to the minimum between departure time and facility entry time plus 12 h.
-
- 3.
If the last resource of travel \(T(P_i, h_i)\) is a platform: travel \(T(P_i, h_i)\) and \(T(P_{i + 1}, h_{i + 1})\) are planned together. This step is equivalent to planning a single travel, with possible routes/paths being a combination of two paths (paths for travels \(T(P_i, h_i)\) and \(T(P_{i+1}, h_{i+1})\)), yet time spent on the platform is no longer fixed and needs to be determined.
4.2.4 Travel starting time
-
if arrival train t needs to be moved from platform (to yard or facility) then the ideal starting time will minimize the dwell cost on the platform, i.e. \(idealST = arrTime_t + idealDwell_t\);
-
if train t, parked at a yard or facility, needs to be moved to the platform for departure d then the ideal starting time will minimize the dwell cost on the platform, i.e. \(idealST = depTime_d - idealDwell_d - travelDur\), where travelDur is the duration of travel;
-
if the train is to be moved from one parking resource to another (i.e. from yard to facility or vice versa) then the ideal starting time is the earliest possible starting time, est.
4.2.5 Dealing with parking capacity
- 1.
planning departures: schedule each assigned train t (\(d(t) \ge 0\)) and if the train cannot be successfully scheduled for departure d(t), then cancel it;
- 2.
park unassigned and cancelled trains at the very end of the procedure (after optimizing the solution).
4.2.6 Choosing gates: avoiding conflicts on track groups
The main difficulty with this problem, from our experience, lies in effectively choosing the gates for each track group to enter and exit, as this gate selection will allow more trains to travel on the track groups without conflict. As defined in Sect. 2, conflicts on track groups are prohibited. For each travel T(P, h) by a train t, a set of entry/exit gates on each track group in P needs to be determined. As with all other resources, the exact entry and exit times for each track group are known if the starting time, h, of the travel is given.
Let \(n_1\) be the number of possible gates to choose for an entering track group \(TG \in P\), and \(n_2\) the number of possible gates for exiting. We then have a total of \(n_1 \times n_2\) possible moves to choose from. It is simple to check whether or not the selected move conflicts with any of the previous moves on the track group. For this purpose, as with any other resource type, we have kept a set of all visits (moves) to the track group, and only those moves that do not conflict with any moves in the given set are to be allowed. A set of entry/exit gates without conflicts must be determined for the entire travel T(P, h), which means that a feasible move needs to be found on each track group in P. Consequently, the number of possible combinations of moves becomes greater. One should notice that choice of exit gate on one resource automatically determines the choice of entering gate on the next one. A simple depth-first search (DFS) to find a feasible set of moves for travel has been used. This procedure explores all possible combinations of moves (one move for each track group in P) until a feasible one (without conflicts) is found. The most basic way of using a DFS procedure is to begin with the first possible gate on each track group and increase the gate index, according to a depth-first sequence, whenever a feasible choice has not been found. This manner of choosing the gates is not necessarily a good one as regards track group usage. To improve the choice of gates, let us attempt to identify a different order for exploring the possibilities in a DFS procedure. Formally, for each path \(P=(R_1,R_2,\ldots ,R_n)\), a “preferred” entry gate on each resource in P will be defined and the DFS procedure will explore all possibilities by starting with a preferred gate on each resource. The set of preferred gates for travel T(P, h) is determined according to the first and last resources, more specifically \(R_1\) and \(R_n\) in P, and depending on the positions of these resources relative to the neighbouring track groups, \(R_2\) and \(R_{n-1}\). It should be noted that the majority of travels start or end at the platform. Consequently, the most critical track groups are those either connected to or close to the platforms. We have therefore decided to define the preferred gates solely according to the relative position of the platform with respect to the connected track group. If \(R_1\) is the \(j-th\) of N platforms connected to track group \(R_2\) (according to gate indices) and \(g_1, g_2,\ldots , g_k\) are the gates from \(R_i\) to \(R_{i+1}\) (\(2 \le i < n\)), then a preferred gate is \(g_l\), where: \( l = \frac{j \times k}{N}\). The same rule is applied if \(R_n\) is a platform. For example, if the chosen platform is the top platform, then it is only natural to choose the top gate on each resource in path P. We have conducted several experiments with a more complicated choice of gates, however the results obtained only changed slightly and were not necessarily always better. Moreover, the local search procedure described at the end of this section will question this choice of gates.
4.2.7 Virtual visits
- for each arrival \(t \in \mathcal{T}\) and each matched departure \(d \in \mathcal{D}\)
-
randomly choose a compatible platform p,
-
find a set of gates for arrival/departure (sequence + platform) with a minimum number of conflicts with V (as explained in previous section),
-
add the matching set of visits to the track groups to V.
-
4.2.8 Scheduling order
- 1.Assigned trains,
- (a)
trains that may be departing immediately: only arrival and departure gates are used,
- (b)
trains assigned to linked departures: uncovering a linked departure may cause more uncovered departures,
- (c)
trains that do not require any maintenance,
- (d)
remaining assigned trains,
- (a)
- 2.
Unassigned trains.
4.3 Iterative improvement procedure
-
(1) schedule more trains by allowing conflicts in the track groups,
-
(2) resolve conflicts by means of a local search,
-
repeat steps (1)–(2) until the stopping criteria are met.
Solution process
4.3.1 Feasible to infeasible solution with more trains
The first step of this improvement procedure consists of adding more trains (and departures) to the feasible schedule by allowing conflicts. For each train added, the allowed track group conflicts are limited to a given number (e.g. a maximum of 3 conflicts per train). This scheduling procedure is the same as the one previously explained, but without adhering to the constraint on track group conflicts. All other constraints are to be met. An infeasible solution generated in this manner will serve as input for the local search procedure described below.
4.3.2 Local search to resolve track group conflicts
An infeasible solution is repaired by means of a local search procedure. The aim of this procedure is to change the choice of gates in order to reduce the number of conflicts to zero. The entry and exit times are to remain unchanged for each visit, as is the list of resources allocated for each train. Accordingly, a complete schedule for the train will either remain the same or be deleted (in the case of cancelling the train). The initial configuration (solution) is an infeasible set of visits on track groups. A visit is represented by a pair of gates (g1, g2). The configuration is denoted by \(\mathcal{V}=\{(g1_1,g2_1),\ldots ,(g1_n,g2_n)\}\) and the initial one by \(\mathcal{V}^0=\{(g1^0_1,g2^0_1),\ldots ,(g1^0_n,g2^0_n)\}\). The domain of each variable \(g1_i\) (\(g2_i\)) includes all gates connecting the same pair of resources as \(g1^0_i\) (\(g2^0_i\)) and \(\textsc {null}\) value. A visit corresponding to \((g1, \textsc {null})\), \((\textsc {null},g2)\) or \((\textsc {null},\textsc {null})\) is called a partial visit. It is assumed that no conflict occurs with a partial visit. A configuration \(\mathcal{V}\) is called partial if it contains a partial visit.
Remark
Two successive visits of the same train \((g1_i,g2_i)\) and \((g1_j,g2_j)\) share a common gate, i.e. \(g2_i=g1_j\). For these cases, the local search procedure will perform the same modification at both gates. The objective of the local search procedure is to minimize the number of cancelled trains. A train is cancelled if one of its visits is partial.
Greedy procedure to resolve track group conflicts
The first part of a local search is the greedy procedure to clear conflicts by deleting gates, i.e. setting the gate values to \(\textsc {null}\). The objective here is to compute a partial, but feasible, configuration (set of visits). The heuristic is simple: delete the gate that will decrease conflicts by the greatest number until conflicts no longer exist.
Tabu search on the partial feasible configuration
- ADD gate means one of 2 possible moves:
-
\(({\textsc {null}},g2_i) \Rightarrow (g1_i,g2_i)\) (\(g1_i \ne {\textsc {null}}\) and \(g1_i\) leads to the same neighbour resource as \(g1^0_i\))
-
\((g1_i,{\textsc {null}}) \Rightarrow (g1_i,g2_i)\) (\(g2_i \ne {\textsc {null}}\) and \(g2_i\) leads to the same neighbour resource as \(g2^0_i\))
-
- DROP gate means one of 2 possible moves:
-
\((g1_i,g2_i) \Rightarrow ({\textsc {null}},g2_i)\) (delete g1)
-
\((g1_i,g2_i) \Rightarrow (g1_i,{\textsc {null}})\) (delete g2)
-
- 1.
number of trains cancelled,
- 2.
number of deleted gates, i.e. the number of gates with a null value.
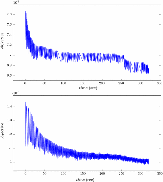
Objective function oscillation during improvement phase for instances B1 and X4. The X-axis represents time elapsed since improvement procedure start, while the Y-axis represents the value of the objective function after adding new trains to the feasible solutions and after the local search procedure
Improvement by local search (instances B1–B12)
MIP instead of Local Search The problem of repairing the conflicts explained above, and solved by local search procedure, may also be solved in different ways. One possible approach that we tested is to define a problem as a mixed integer program (which is not too complicated), with the objective of determining the maximum subset (in terms of number of scheduled trains) of train schedules without conflicts on track groups. The overall improvement procedure remains the same, we only try to “repair conflicts” by using mixed integer programming instead of local search. If we consider a single improvement phase iteration (add trains + repair) i.e. solving the problem—given a set of train schedules with conflicts, choose the gate values so that a minimum number of departures/arrivals is cancelled—it is clear that MIP will produce better (or at least the same) solutions than local search. However, using MIP instead of local search has not made any (or negligible) improvements to the final results using presented improvement framework, particularly for a 10-min running time when using MIP usually produces poorer results. The main reason for this is the fact that after many improvement phase iterations (e.g. 100) solution values obtained by local search come very close to the values of infeasible solutions, i.e. only a few trains can be added to the feasible solutions. In addition, many more iterations can be done in the same running time if local search is used, which is crucial for some instances. Similar conclusions can be drawn when MIP is used with a given running time limit (thus, transforming an exact solution approach into an heuristic one).
4.4 Final algorithm
5 Evaluation and computational results
Instances characteristics
| Inst | nDays | |\(\mathcal T\)| | |\(\mathcal D\)| | maxMaint | LDep |
|---|---|---|---|---|---|
| B1 | 7 | 1235 | 1235 | 30 | 475 |
| B2 | 7 | 1235 | 1235 | 30 | 475 |
| B3 | 7 | 1235 | 1235 | 60 | 0 |
| B4 | 7 | 1780 | 1780 | 50 | 722 |
| B5 | 7 | 2153 | 2153 | 60 | 720 |
| B6 | 7 | 1780 | 1780 | 50 | 722 |
| B7 | 1 | 304 | 304 | 100 | 143 |
| B8 | 1 | 304 | 304 | 100 | 143 |
| B9 | 7 | 1967 | 1967 | 100 | 860 |
| B10 | 1 | 196 | 196 | 20 | 60 |
| B11 | 7 | 1122 | 1122 | 20 | 486 |
| B12 | 3 | 570 | 570 | 20 | 263 |
| X1 | 7 | 1235 | 1235 | 30 | 475 |
| X2 | 7 | 1499 | 1499 | 40 | 475 |
| X3 | 7 | 1235 | 1235 | 30 | 475 |
| X4 | 7 | 1780 | 1780 | 50 | 722 |
| X5 | 7 | 1780 | 1780 | 50 | 722 |
| X6 | 7 | 1780 | 1780 | 100 | 0 |
| X7 | 7 | 1967 | 1967 | 100 | 860 |
| X8 | 3 | 905 | 905 | 100 | 445 |
| X9 | 3 | 905 | 905 | 100 | 445 |
| X10 | 1 | 196 | 196 | 20 | 89 |
| X11 | 7 | 1122 | 1122 | 20 | 486 |
| X12 | 3 | 570 | 570 | 20 | 263 |
Results on data sets B, X: average and best values from 20 runs of 10 min are reported, as well as competition results
| Instance | Challenge | With MIP included (20 runs) | ||
|---|---|---|---|---|
| Our result | Best others | Average | Best | |
| B1 | 699,750 | 1,026,208 | 643,651 | 622,879 |
| B2 | 636,550 | 980,607 | 582,000 | 561,579 |
| B3 | 545,974 | 976,754 | 480,960 | 462,848 |
| B4 | 1,263,764 | 1,671,107 | 1,179,584 | 1,142,660 |
| B5 | 1,573,290 | 2,060,485 | 1,471,631 | 1,417,578 |
| B6 | 1,097,572 | 1,586,010 | 1,047,493 | 993,580 |
| B7 | 168,369 | 257,986 | 171,257 | 167,993 |
| B8 | 213,190 | 291,216 | 221,480 | 208,573 |
| B9 | 1,332,256 | 1,719,646 | 1,234,501 | 1,130,644 |
| B10 | 168,457 | 155,100 | 149,301 | 142,600 |
| B11 | 1,192,687 | 1,142,072 | 1,100,200 | 1,076,260 |
| B12 | 620,527 | 571,497 | 577,000 | 556,853 |
| X1 | 790,506 | 1,036,393 | 712,260 | 683,939 |
| X2 | 1,176,901 | 1,323,148 | 890,666 | 874,014 |
| X3 | 735,579 | 1,040,464 | 669,864 | 655,220 |
| X4 | 1,109,468 | 1,608,134 | 1,026,635 | 983,693 |
| X5 | 1,012,268 | 1,519,608 | 925,955 | 884,348 |
| X6 | 943,024 | 1,560,462 | 822,780 | 768,395 |
| X7 | 1,642,024 | 1,914,783 | 1,569,772 | 1,543,090 |
| X8 | 534,889 | 777,363 | 560,170 | 553,427 |
| X9 | 732,818 | 871,027 | 748,539 | 711,395 |
| X10 | 193,210 | 184,022 | 180,707 | 168,407 |
| X11 | 1,107,732 | 988,996 | 1,018,810 | 965,892 |
| X12 | 501,218 | 467,605 | 477,634 | 455,736 |
There is clearly a significant difference between the average and best solutions, sometimes more than 5%. This is due to the randomness in the heuristics proposed. However, running the algorithm for more seeds (e.g. 100 instead of 20) or with larger time limit will not yield a significant further improvement for a given set of instances.
The percentage of arrivals and departures cancelled varies from 11.90% on the B3 instance to 44.21% on B12, the average value being 26.17%. Train cancellation is mainly due to the fact that track group conflicts are prohibited. These conflicts are not always the actual conflicts due to a “black-box” approach introduced to model track groups in the current problem. The approach does not appear to lead to a solution that can be used in practice, due to a large number of cancelled arrivals and departures. As previously stated, we have been trying to solve the problem ‘as posted’ in the competition, adhering to all the given constraints to obtain the best possible result. However, the problem needs to be formulated differently in order to recommend solutions that can be used in practice. It is important to mention that the original problem formulated at the start of the competition allowed track group conflicts and there was a penalty in the objective function for each conflict. But the organizers changed this in a later phase.
6 Conclusion
This rolling stock unit management problem on a railway site is extremely difficult to solve for several reasons. Most induced sub-problems, such as the train assignment, scheduling, track group conflicts and platform assignment, are indeed complicated. In order to solve this problem, we implemented a two-phase approach that combines exact and heuristic methods. A natural way of approaching the problem consists of dividing it into two sub-problems, the first consisting of matching (assigning) trains to departures and the second consisting of planning train movements (scheduling) inside the station, and then solving both sequentially. It would also be quite natural to consider a break down of the problem by days (and subsequently combining the days), as there are hardly any arrivals and departures at night. However, the experiments we performed have shown that the quality of the solutions decreases, while not greatly increasing algorithm simplicity or computational time. This was the case, in particular, for the first version of the problem (i.e. with conflicts on track group as soft constraints), where many more trains have not been assigned to any departure. It should also be noted that the assignment procedure presented in this paper tends to schedule the arrival and departure of a train on the same day.
The presence of linked departures and a constraint on the daily maintenance limit further complicate the assignment problem. Otherwise, the problem could be solved in a polynomial time by means, for instance, of the maximum weighted matching algorithm. A common strategy for overcoming these constraints calls for modelling the assignment problem as a mixed integer program. The number of linked departures in the given set of instances however makes the IP model unworkable due to the tremendous number of variables to be generated in order to cope with the linked departures. A greedy procedure has therefore been used to solve the assignment problem. The departures are sorted by departure time and matched to the trains one by one, in a greedy manner. A simple function was used to evaluate the quality of assignment (t, d). Solutions to the assignment problem are improved by combining a greedy procedure with IP, whereby all train assignments with linked departures obtained by the greedy procedure are fixed and the remaining assignment is solved by IP. We recommended the simple idea (and proved its correctness) of modelling the constraint on the daily maintenance limit as a linear one.
The second step in solving the problem is to plan train movements inside the station while complying with all resource constraints and cancelling as few trains as possible. This problem is very complex and contains a huge number of decision variables (resources, gates and entry/exit times must be specified for each train); hence, modelling the problem exactly and solving it efficiently are likely to be impossible. We therefore opted for a constructive procedure to schedule the trains. They are scheduled sequentially, one by one, after being ordered by a given set of criteria. The possible train movements are restricted to just a few of critical importance in order to reduce problem complexity. For this purpose, a set of potential paths that trains are allowed to use was compiled at the beginning of the procedure. A concept of virtual visits was offered to expand the choice of starting times for each travel in order to address track group conflicts. An iterative procedure was adopted to improve scheduling phase solutions, by allowing infeasible solutions as regards track group conflicts and then resolving these solutions by means of a local search. The introduction of both virtual visits and an iterative improvement procedure helped greatly improve these solutions. The algorithm described in this paper was ranked first at the ROADEF/EURO Challenge 2014.
Footnotes
- 1.
Departure d covered by train t is said to be immediate if train t can be scheduled to d without leaving the platform.
References
- Cambazard, H., & Catusse, N. (2014). Roadef challenge 2014: A modeling approach, rolling stock unit management on railway sites. IFORS 2014, Barcelona 13–18 July.Google Scholar
- Corman, F., D’Ariano, A., Pacciarelli, D., & Pranzo, M. (2010). A tabu search algorithm for rerouting trains during rail operations. Transportation Research Part B: Methodological, 44(1), 175–192.CrossRefGoogle Scholar
- Freling, R., Lentink, R. M., Kroon, L. G., & Huisman, D. (2005). Shunting of passenger train units in a railway station. Transportation Science, 39(2), 261–272.CrossRefGoogle Scholar
- Haahr, J., & Bull, S. H. (2014). Exact methods for solving the train departure matching problem. IFORS 2014, Barcelona 13–18 July.Google Scholar
- Huisman, D., Kroon, L., Lentink, R., & Vromans, M. (2005). Operations Research in Passenger Railway Transportation. No ERS-2005-023-LIS, ERIM Report Series Research in Management, Erasmus Research Institute of Management (ERIM).Google Scholar
- Lentink, R. M., Fioole, P. J., Kroon, L. G., & van’t Woudt, C. (2003). Applying operations research techniques to planning of train shunting. Technical Report ERS-2003-094-LIS, Erasmus University Rotterdam, Rotterdam, The Netherlands.Google Scholar
- Ramond, F., & Marcos, N. (2014). Trains don’t vanish! ROADEF EURO 2014 challenge problem description, 2014. https://hal.archives-ouvertes.fr/hal-01057324.






