Nano-slit electrospray emitters fabricated by a micro- to nanofluidic via technology
- 922 Downloads
- 2 Citations
Abstract
This article presents nano-slit electrospray emitters fabricated by a micro- to nanofluidic via technology. The main advantage of the technology is the ability to position freely suspended nanochannels anywhere on a microfluidic chip, where leak-tight delivery of fluid from a fluid reservoir can be established through long microchannels. The technology has proven to be useful in creating electrospray emitters coupled to freely suspended microchannels. It was observed that filling of nanochannels through via connections with integrated microchannels occurs not only due to bulk capillary action. These observations lead to a redesign of the electrospray chips. Repeatable electrospray IV-curves could be obtained from fabricated nano-slit electrospray emitters. Moreover, integration of on-chip microfluidic components is one of the possibilities of the fluidic via technology presented.
Keywords
Nanofluidic integration Electrospray ionisation1 Introduction
Nanofluidic tip based applications have emerged in the form of nanofluidic fountain pens (Deladi et al. 2004; Moldovan et al. 2006; Saya et al. 2007) and nano-electrospray emitters (Legrand et al. 2007; Arscott and Troadec 2005; Mery et al. 2008). These applications require the delivery of fluid to functional nanofluidic tips, possibly arranged in large arrays. Fluidic connection all the way up to the tip has mostly been achieved by capillary slots or by extending nanochannels from fluid reservoirs. Hug et al. (2006) demonstrated the possibility to couple large micro-sized channels to nanochannels using wet oxidation of channels located at the interfaces between two bonded silicon wafers. In this article a fluidic via technology is presented that allows for coupling of microchannels to nanochannels located anywhere on the wafer surface. Microchannel fluidic networks are created beneath the wafer surface, facilitating the leak-tight chemical-inert delivery of fluid from macro-fluidic connections to nanochannels. The mechanical strength of the microchannels can furthermore be utilised in making long freely suspended probes, with a nanochannel positioned right at the tip. The microchannels deliver fluid at low hydrodynamic resistance and large fluid volume ratios compared to connected nanochannels.
In this article nano-slit electrospray emitters are presented, fabricated by the via technology. Koster and Verpoorte (2007) presented a detailed review on microfluidics coupled to electrospray mass spectrometry (ESI–MS). A clear trend in on-chip integrated electrospray emitters was observed. In electrospray ionisation (ESI), reducing emitter aperture size is actively being pursued (Arscott and Troadec 2005; Mery et al. 2008; Gibson et al. 2009; Sikanen et al. 2010), because of smaller droplets being generated. The enhanced ionisation efficiency obtained is of use to proteomics (Valaskovic et al. 1995) and metabolomics. The via technology presented, provides a method to combine emitters, having nano-slit aperatures, with microfluidics in a monolithic electrospray chip.
2 Experimental
2.1 Micro- to nanofluidic via technology
Fabrication of the electrospray chips commences with the creation of microchannels beneath the wafer surface for the on-chip delivery of bulk fluid, applying the surface channel concept (Dijkstra et al. 2007). The microchannels are formed by isotropic dry etching of the silicon wafer through 2-μm wide etch holes in a 500-nm silicon-rich silicon nitride (SiRN) layer. The etch holes are closed by a second 1.3-μm SiRN low-pressure chemical vapour deposition (LPCVD), while the inside surface of the etched profile in the silicon wafer is simultaneously conformally coated. Microfluidic devices fabricated with this concept (e.g., a thermal flow sensor by Dijkstra et al. 2008) can readily be integrated with nanochannels using the via technology presented.
Process schematic for the fabrication of via connections between surface microchannels (Dijkstra et al. 2007) and sacrificial nanochannels, with a fabrication of a via through the surface microchannel (see intermediate steps), b fabrication of the nanochannel and c bottom- and topside etching of SiRN layers, where simultaneously openings are etched in the micro- and nanochannel, followed by KOH release of the electrospray chip
The sealed microchannels leave a nearly planar wafer surface on which nanochannels (4 μm × 200 nm) are connected to the poly-Si plugs (see Fig. 1b), applying a 200-nm sacrifical poly-Si layer and a 200-nm SiRN capping layer. Nano-lithographical methods (e.g. Luttge et al. 2007) can be applied to integrate nanochannels with even smaller dimensions.
Electrospray chips were released using KOH 25wt% at 75°C (Berenschot et al. 2002), where the sacrificial poly-Si inside the nanochannels is etched after inlets and outlets have been created (see Fig. 1c). Only in cases where etching occurs from a nanochannel into a sealed microchannel without an outlet, was it observed that via connections often break. This is caused by a sudden increase in H2 gas produced due to a large surface array of poly-Si being exposed inside the microchannel. The process wafers where RCA-2 cleaned after KOH etching and left in de-ionised water for several days.
Electrospray chips, where a the inset shows a nano-slit electrospray emitter suspended on a microchannel probe and b micrographs of the via connection between nanochannel and microchannel, where the inset shows a FIB cut through the fluidic via
2.2 Filling experiments
Filling experiments where done using H2O:MeOH (50:50v%) solution, where the surface tension of the liquid drives the capillary filling (Tas et al. 2004). A contact angle of 15° was measured for the H2O:MeOH (50:50v%) solution on the cleaned SiRN surface of one of the process wafers. Capillary filling of the microchannel on the electrospray tip (Fig. 2) was found to be restricted by the large volume of air in the microchannel, which needs to be pushed out through the nanochannel. This was confirmed by preparing several nanochannel lengths from the initial 60-μm long nanochannel (Fig. 2) by FIB cutting, where the filling speed was found to be constant in time during restricted capillary filling and inversely proportional to the nanochannel length. Subsequent refilling of previously filled electrospray chips resulted in instant wetting of the via and nanochannel with the formation of bubbles along the microchannel, likely due to a long-term remaining saturated atmosphere in the microchannels.
Micrograph of freely suspended nanochannels connected to microchannels for the on-chip transport of fluid
Several snapshots taken during the filling with H2O:MeOH (50:50v%) solution of freely suspended nanochannels. Each frame has been enhanced with the same image filters
Figure 4 shows subsequent snapshots taken, during filling of the chip, where after 1.8 s the fluid reaches the via connections, where the air in the microchannels is pushed out through the microchannel outlets. The fluid then enters through the fluidic vias into the nanochannels. The nanochannels filled rapidly around 4.4 s, with a visible corner flow (Dong and Chatzis 1995) preceding the bulk fluid. After 6.2 s air bubbles are trapped by fluid appearing from the opposite end and only slowly dissolve until the nanochannels are completely filled at 42 s. The liquid appearing on opposite ends is caused by additional transport mechanisms, possibly vapour diffusion, film flow and corner flow (Eijkel et al. 2005). The pinning of the fluid contact line (Ondarçuhu and Piednoir 2005) at the fluidic via connections on the opposite ends of the nanochannels prevents further capillary filling of the connected microchannels.
2.3 Nano-slit electrospray emitters
Micrographs of nano-slit electrospray emitters on a microchannel probe. The inset shows a nano-slit emitter, with 4 μm × 200 nm aperture size
Micrographs of nano-slit electrospray emitters, where a crossflow can pass the nano-slit emitters from an on-chip inlet to an outlet
2.4 Electrospray ionisation setup
Electrospraying from nano-slit emitter, with pA resolution, using the Keithley 237 high-voltage SMU and triax-cable connections. The counter electrode was isolated with >1 TΩ resistance in reference to the remainder of the setup
3 Results and discussion
Electrospray IV-curves measured on a fully wetted FIB cut 15-μm nanochannel emitter (similar to Fig. 2a) at various distances to the cathode, using H2O:MeOH (50:50v%) solution (4.6 μS/cm)
Subsequently several nano-slit emitter chips (Fig. 5) were filled with H2O:MeOH (50:50v%) solution for spraying. However, during capillary filling the solution did not fully wet the nano-slit emitters. The microchannels always filled completely, but the fluid contact line did not cross the fluidic vias. The fluidic chip with freely suspended nanochannels (similar to Fig. 3), also fabricated on the same wafer, did, however, fill with the same H2O:MeOH (50:50v%) solution. It is likely that the fluid contact line is pinned on the fluidic vias, which can be overcome when a saturated atmosphere develops inside the nanochannel. This can explain the unsuccessful filling of the 3-μm short nano-slit emitters, which cannot develop a saturated atmosphere due to a high evaporation rate. Remarkably, using a high-conductive H2O:MeOH (50:50v%) + CH3COOH (1v%) solution electrospray IV-curves could be obtained from unfilled nano-slit emitters (Fig. 5). The exact spraying mechanism is currently not understood. It is possible that nano-sized droplets are directly sprayed from the nano-slit emitters (Juraschek et al. 1999).
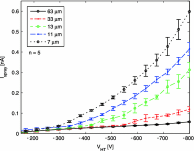
Electrospray IV-curves measured on unfilled nano-slit emitters (Fig. 5) at various distances to the anode, using H2O:MeOH (50:50v%) + CH3COOH (1v%) solution (120 μS/cm)
Micrographs of the SEM coated nano-slit emitter, wetted during electrospraying at 8-μm anode distance applying 1 kV, compared to unfilled emitter on the same sample observed after spraying
4 Conclusions
A novel micro- to nanofluidic via technology has been presented. It was demonstrated that bulk fluid can be transported from macro-fluidic connections to on-chip nanochannels. The technology has shown potential in applications were on-chip freely suspended nanochannels are required. The capillary filling of fluidic chips was studied and it was concluded that additional transport mechanisms, gas-flow restriction and pinning of fluid contact lines have to be considered when designing coupled micro- to nanofluidic devices. Better understanding of these transport mechanisms during filling is required for the via technology to be applicable to other fluidic designs. Proper capillary filling of microchannels can, however, be achieved by crossflow filling of connected nanochannels.
Repeatable electrospray IV-curves were obtained on nano-slit emitters, despite the fact that the emitters did not fully wet. This provides for an interesting spraying mode, which requires further investigation. Especially, the size distribution of possibly emitted nano-droplets, compared to fully wetted emitters, is of interest.
The prospect of the nano-slit electrospray chip presented is to increase emitter density, while reducing aperture size. Nano-droplet emission at higher densities can then be achieved. Furthermore, the microchannel can be utilised to include a high-pressure liquid chromatography (HPLC) column, where HPLC packing material can be packed up to the nano-slit emitters (Fig. 6). Additionally, capillary electrophoresis (CE) and microfluidic devices can be integrated on-chip.
Notes
Acknowledgments
The authors would like to acknowledge J.G.M. Sanderink for his assistance with FIB operation.
Open Access
This article is distributed under the terms of the Creative Commons Attribution License which permits any use, distribution, and reproduction in any medium, provided the original author(s) and the source are credited.
References
- Arscott S, Troadec D (2005) Electrospraying from nanofluidic capillary slot. Appl Phys Lett 87(13):134101CrossRefGoogle Scholar
- Berenschot JW, Tas NR, Lammerink TSJ, Elwenspoek M, van den Berg A (2002) Advanced sacrificial poly-Si technology for fluidic systems. J Micromech Microeng 12(5):621–624CrossRefGoogle Scholar
- Deladi S, Tas NR, Berenschot JW, Krijnen GJM, de Boer MJ, de Boer JH, Peter M, Elwenspoek MC (2004) Micromachined fountain pen for atomic force microscope-based nanopatterning. Appl Phys Lett 85(22):5361–5363CrossRefGoogle Scholar
- Dijkstra M, de Boer MJ, Berenschot JW, Lammerink TSJ, Wiegerink RJ, Elwenspoek M (2007) A versatile surface channel concept for microfluidic applications. J Micromech Microeng 17(10):1971–1977CrossRefGoogle Scholar
- Dijkstra M, de Boer MJ, Berenschot JW, Lammerink TSJ, Wiegerink RJ, Elwenspoek M (2008) Miniaturized thermal flow sensor with planar integrated sensor structures on semicircular surface channels. Sens Actuator A Phys 143(1):1–6CrossRefGoogle Scholar
- Dong M, Chatzis I (1995) The imbition and flow of a wetting liquid along the corners of a square capillary tube. J Colloid Interf Sci 172(2):278–288CrossRefGoogle Scholar
- Eijkel JCT, Dan B, Reemeijer HW, Hermes DC, Bomer JG, van den Berg A (2005) Strong accelerated and humidity-independent drying of nanochannels induced by sharp corners. Phys Rev Lett 95(256107):1–4Google Scholar
- Gibson GTT, Mugo SM, Oleschuk RD (2009) Nanoelectrospray emitters: trends and perspective. Mass Spectrom Rev 28(6):918–936CrossRefGoogle Scholar
- Hug TS, de Rooij NF, Staufer U (2006) Fabrication and electroosmotic flow measurements in micro- and nanofluidic channels. Microfluid Nanofluid 2(2):117–124CrossRefGoogle Scholar
- Juraschek R, Dülcks T, Karas M (1999) Nanoelectrospray—more than just a minimized-flow electrospray ionization source. J Am Soc Mass Spectr 10(4):300–308CrossRefGoogle Scholar
- Koster S, Verpoorte E (2007) A decade of microfluidic analysis coupled with electrospray mass spectrometry: an overview. Lab Chip 7(11):1394–1412CrossRefGoogle Scholar
- Legrand B, Ashcroft AE, Buchaillot L, Arscott S (2007) SOI-based nanoelectrospray emitter tips for mass spectrometry. J Micromech Microeng 17:509–514CrossRefGoogle Scholar
- Luttge R, van Wolferen HAGM, Abelmann L (2007) Laser inteferometric nanolithography using a new positive chemical amplified resist. J Vac Sci Technol B 25(6):2476–2480CrossRefGoogle Scholar
- Mery E, Ricoul F, Sarrut N, Constantin O, Delapierre G, Garin J, Vinet F (2008) A silicon microfluidic chip integrating an ordered micropillar array separation column and nano-electrospray emitter for LC/MS analysis of peptides. Sens Actuator B Chem 134(2):438–446CrossRefGoogle Scholar
- Moldovan N, Kim K-H, Espinosa HD (2006) A multi-ink linear array of nanofountain probes. J Micromech Microeng 16(10):1935–1942CrossRefGoogle Scholar
- Ondarçuhu T, Piednoir A (2005) Pinning of a contact line on nanometric steps during the dewetting of a terraced substrate. Nano Lett 5(9):1744–1750CrossRefGoogle Scholar
- Saya D, Leïchlé T, Pourciel JB, Bergaud C, Nicu L (2007) Collective fabrication of an in-plane silicon nanotip for parallel femtoliter droplet deposition. J Micromech Microeng 17(1):N1–N5CrossRefGoogle Scholar
- Sikanen T, Franssila S, Kauppila TJ, Kostiainen R, Kotiaho T, Ketola RA (2010) Microchip technology in mass spectrometry. Mass Spectrom Rev 29(3):351–391Google Scholar
- Tas NR, Haneveld J, Jansen HV, Elwenspoek M, van den Berg A (2004) Capillary filling speed of water in nanochannels. Appl Phys Lett 85(15):3274CrossRefGoogle Scholar
- Valaskovic GA, Kelleher NL, Little DP, Aaserud DJ, McLafferty FW (1995) Attomole-sensitivity electrospray source for large-molecule mass spectrometry. Anal Chem 67(20):3802–3805CrossRefGoogle Scholar









