Abstract
Accumulations of radionuclides in marine macroalgae (seaweeds) resulting from the Fukushima 1 Nuclear Power Plant (F1NPP) accident in March 2011 have been monitored for two years using high-purity germanium detectors. Algal specimens were collected seasonally by snorkeling at Nagasaki, Iwaki, Fukushima Prefecture (Pref.), Japan, ca. 50 km perimeter from the F1NPP. Additional collections were done at Soma, Hironocho, Hisanohama and Shioyazaki in Fukushima Pref. as well as at Chiba Pref. and Hyogo Pref. as controls. In May 2011, specimens of most macroalgal species showed 137Cs levels greater than 3,000 Bq kg−1 at Shioyazaki and Nagasaki. The highest 137Cs level recorded 7371.20 ± 173.95 Bq kg−1 in Undaria pinnatifida (Harvey) Suringar on 2 May 2011, whereas seawater collected at the same time at Shioyazaki and Nagasaki measured 8.41 ± 3.21 and 9.74 ± 3.43 Bq L−1, respectively. The concentration factor of marine macroalgae was estimated to be ca. 8–50, depending on taxa and considering a weight ratio of wet/dry samples of ca. 10. 137Cs level declined remarkably during the following 5–6 months. In contrast, the 137Cs level remained rather stable during the following 12–16 months, and maintained the range of 10–110 Bq kg−1. Contamination was still detectable in many samples in March 2013, 24 months after the most significant pollution.
Introduction
Radioactive contamination of the coastal seawater following the Fukushima 1 Nuclear Power Plant (F1NPP) accident was the most significant artificial radioactive liquid release into the sea ever known, on a short time and space scale basis (Buesseler et al. 2011; Linsley et al. 2005). The amount of radionuclides discharged from the F1NPP immediate after the accident was estimated to be 5–10 PBq to the atmosphere and 3–6 PBq to the sea, the latter being caused by direct leakages of the contaminated cooling water (Estournel et al. 2012; Kawamura et al. 2011; Miyazawa et al. 2012; Tsumune et al. 2012).
The seawater contamination has become severe by (1) a deposition from an atmospheric contamination plume, (2) direct, artificial releases of highly contaminated waters into the sea, and (3) the transport of radiopollutants into the sea by surface water leaching through contaminated soil or by river systems. The first case was most serious during mid-March 2011, and the second from late March to early April 2011. The contaminated seawater may be diluted or has been transported offshore by currents. Along the coast, however, a significant portion of the radioactive Cs and other radioactive substances are believed to have been absorbed by coastal organisms or bound to suspended particles, causing a deposition of radiopolluted sediments on the sea bottom. The concentration of radionuclides reached the maximum in mid-April 2011, but it thereafter declined exponentially. However, in addition to the inflow through the river systems, artificial release of radionuclides from F1NPP is reported to have continued at least until 2012 (Kanda 2013).
Among the radionuclides discharged by the accident, the effects of 134Cs and 137Cs are most serious because of their high levels and long decay periods. These radionuclides are considered to most substantially contribute to the contamination of marine organisms due to the contaminated seawater. Marine macroalgae (so-called seaweeds) grow by absorbing nutrient salts and other minerals directly from seawater at the surface of their thalli. Cs+ is soluble in seawater, and algal cells are thought to absorb Cs+ through certain K+ transporters (Kanter et al. 2010; Zhu and Smolders 2000), resulting in Cs+ accumulation within the cells.
The concentration factors (CFs) of marine macroalgae for 137Cs were reported to vary considerably from species to species (Coughtrey and Thorne 1983; Pentreath 1976; Tateda and Koyanagi 1994), but IAEA (2004) recommended the value of 50. Marine macroalgae may also capture the ions in phycocolloids such as alginate, fucan, agar, and carrageenan, although the affinity of Cs+ for these phycocolloids is not well-established (Morris et al. 1980). Marine macroalgae are primary producers in coastal ecosystems, and diverse benthic animals as well as fishes feed on them. Therefore, the radioactive contamination of marine macroalgae will be transferred to consumer animals through the food chain, and may become concentrated by biological accumulation.
Prior to the accident, the concentrations of 137Cs in the surface water of the Pacific Ocean were in the range of 1–4 Bq m−3 (Ikeuchi 2003; Nakanishi et al. 2010; Povinec et al. 2004), which mainly resulted from global fallout due to atmospheric nuclear weapon tests. Tateda and Koyanagi (1994) have reported the background concentrations of 137Cs in representative green, red and brown marine macroalgae, e.g. Ulva pertusa Kjellman, Neodilsea yendoana Tokida, Saccharina religiosa (Miyabe) C.E. Lane, C. Mayes, Druehl & G.W. Saunders (=Laminaria religiosa Miyabe), Sargassum horneri (Turner) C. Agardh, S. thunbergii (Mertens ex Roth) Kuntze, in the range of ca. 0.03–037 Bq kg wet weight−1. Later, Morita et al. (2010) have compared the level of 90Sr and 137Cs in Undaria pinnatifida collected from three representative areas (Nagasaki Pref., Kanagawa Pref. and Niigata Pref.) in Japan and in Saccharina longissima (Miyabe) C.E. Lane, C. Mayes, Druehl & G.W. Saunders (=Laminaria longissima Miyabe) from Hokkaido during a 1998–2008 period and reported 137Cs levels of 0.03–0.08 and 0.05–0.09 Bq kg wet weight−1 for U. pinnatifida and S. longissima, respectively. Morita et al. (2010) also compared concentrations of 90Sr and 137Cs in some additional kelp and Sargassum species and reported 137Cs concentrations of 0.02–0.34 kg wet weight−1.
Several agencies have conducted investigations to measure the radioactive quantities of major fishery organisms after the F1NPP accident. Some algal taxa have been included in the target species, e.g., Pyropia (Porphyra), Saccharina (Laminaria), Eisenia, Gloiopeltis, Monostroma, but the number of species was rather limited, and rather biased in respect to phylogenetic diversity, habitat, and life history (e.g., intertidal vs. subtidal, annual vs. perennial). In addition, measurement protocols were not standardized among the investigations, and the detection levels were sometimes rather high (e.g., > 20 Bq kg−1 for fresh specimens: http://www.jfa.maff.go.jp/e/inspection/index.html) depending on the available facilities. Therefore, it was difficult to compare the data to clarify the general fate of radioactive contamination in marine macroalgae, and to discuss the differences in the CFs for radionuclides among the taxa.
In the present study, we aimed to monitor the level of radionuclides including 134Cs, 137Cs and 40K based on a standardized protocol using high-purity germanium detectors and to undertake multi-seasonal sampling as much as possible.
Materials and methods
Specimens were seasonally collected by snorkeling at Nagasaki, Fukushima Pref., ca. 50 km distant from the F1NPP (Fig. 1). Additional specimens were collected at the following localities: Hironocho, Hisanohama, Shioyazaki and Soma (Fukushima Pref.); Iwanuma (Miyagi Pref.); Kamogawa and Katsuura (Chiba Pref.); and Iwaya (Hyogo Pref.) (Fig. 1). The list of the specimens is shown in Table 1 (measurements made at Kobe University) and Table 2 (measurements made at Iwaki Meisei University).
For the measurements at Kobe University, sorted specimens were identified based on their morphology, preliminarily air-dried overnight using a fan at room temperature, and then dried in an oven at 90–100 °C for 8 h. The weight ratios of wet/dry samples were roughly 10, and this value was used in the comparisons of literature data based on wet samples, and concentration factors. Dried specimens were preliminarily broken into fragments manually, and powdered using a blender (Waring J-SPEC 7011BUJ, Conair Corp., Stamford, CT, USA). Powdered specimens were packed in U-8 sample cups (56 mm ø and 68 mm high) and used for measurement. The protocol of radioactivity measurements is described in Mimura et al. (2014). In Tables 1 and 2, “Error” is the overall error estimated by the analyzing software from systematic errors in the system together with the standard deviation of the counting. Seawaters collected at the coasts of Nagasaki and Shioyazaki in May 2011 were filled in U-8 sample cups and used for measurements without evaporation.
For the measurements at Iwaki Meisei University, sorted specimens were identified based on their morphology, washed with fresh water and pre-dried at room temperature. Dried specimens were desiccated in an oven at 60 °C for 48 h, powdered using a blender, and packed in U-8 sample cups. 134Cs and 137Cs were measured using a GEM40P4-76 germanium detector (Seiko EG & G, Tokyo, Japan) following the manufacturer’s instructions.
The first collections (May 2011) of the macroalgal specimens were kept frozen at −20 °C until drying. However, this protocol resulted in some loss of radioactivity in meltwater (dripping). Accordingly, in order to assess the loss of radioactivity during thawing, some specimens (collected in July 2011) were either frozen before drying or directly dried, and the radioactivity was compared between these drying protocols. In addition, the radioactivity of the meltwater obtained from the thawed specimens was also measured.
Statistical problems
In some radioactivity measurements, such as for macroalgal samples, we could not obtain a sufficient amount of samples that allow us to ensure statistical reliance of the measurement. There was also a limitation in the total running time on a germanium detector. In other cases, the total volume of collected samples was not large enough to fill the U-8 sample cup, resulting in rather low detection signals. For all these experiments, only data are presented with notification that the precision of data was not statistically tested.
Results
The 134Cs:137Cs ratios of examined specimens were plotted according to time series (Fig. 2). The ratio reduced to ca. 0.6 after two years, which agreed well with the expected value by natural decay (0.79 after one year, and 0.64 after two years).
Results of the measurements at Kobe University (134Cs, 137Cs and 40K) and Iwaki Meisei University (134Cs and 137Cs) are listed in Table 1 and Table 2, respectively. On 2 May and 6 May 2011 (Shioyazaki and Nagasaki, about 50 km from F1NPP), specimens of most macroalgal species, i.e., Ulva pertusa, U. linza Linnaeus, Scytosiphon lomentaria (Lyngbye) Link, Eisenia bicyclis (Kjellman) Setchell, Undaria pinnatifida, Sargassum muticum (Yendo) Fensholt, and S. thunbergii, showed 137Cs levels greater than 3,000 Bq kg−1 (Figs. 3, 4). The highest 137Cs level was 7,371.20 ± 173.95 Bq kg−1 in Undaria pinnatifida (Fig. 3; sample code k010 in Table 1). The 134Cs:137Cs ratio was ca. 0.97. Exceptionally, Gloiopeltis furcata (Postels & Ruprecht) J. Agardh showed a relatively lower value of 767.37 ± 32.90 Bq kg−1 (Fig. 4; sample code k014 in Table 1). Seawater collected on May 2 at Shioyazaki (Fig. 3) and Nagasaki (Fig. 4) measured 8.41 ± 3.21 and 9.74 ± 3.43 Bq L−1, respectively. In control samples from Awaji Island in May 2011, 137Cs levels were below the detectable level of 0.001–0.002 in Undaria pinnatifida, Sargassum muticum, and Ulva pertusa (Table 1).
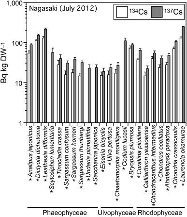
137Cs levels remarkably declined at Nagasaki within the following 5–6 months. In July 2011, 137Cs ranged from ca. 300–600 Bq kg−1 (Fig. 5), declined to 40–200 Bq kg−1 in October 2011 (Fig. 6) and became lower than 100 Bq kg−1 in most samples in July 2012 (Fig. 7) and December 2012 (Fig. 8). However, 137Cs was still detectable in the range of 10–100 Bq kg−1 in many samples in March 2013, 24 months after the date of highest records (Fig. 9).
The progression of 137Cs levels differed in different taxa. In the green alga Ulva pertusa, which has very short lifetime (ephemeral species), 137Cs levels clearly declined during the summer of 2011, but remained in the range of 10–110 Bq kg−1 from winter 2011 to spring 2013 (Fig. 10). 40K was somewhat higher in May 2011 samples, but was rather constant in the other samples (ca. 1,000–1,500 Bq kg−1). The annual brown algae Undaria pinnatifida (Fig. 11) and Sargassum horneri (data not shown) showed similar patterns of 137Cs progression: they showed rapid decline in the first year, and continuously declined until March 2013. The 40K level of Undaria pinnatifida of the specimens from Chiba Pref. and Hyogo Pref. were 1,840–1,990 Bq kg−1 (Fig. 11).
Perennial brown algae such as Eisenia bicyclis (Fig. 12) and Sargassum yamadae (Fig. 13), which are important elements of algal beds in the area, also showed similar progressions in 137Cs levels, although the level of 40K (ca. 1,500–2,000 Bq kg−1) was generally higher than in Ulva pertusa (Fig. 11). The 40K levels of Eisenia bicyclis and Sargassum yamadae of the specimens from Chiba Pref. were 1,650–1,750 and 1,180 Bq kg−1, respectively, and were comparable to those in Fukushima Pref. (Figs. 12, 13). Unfortunately, there were few species of red algae that could be collected seasonally. Ahnfeltiopsis paradoxa (Suringar) Masuda (Fig. 14) showed a clear decrease in 137Cs levels in 2011, but it was also still in a detectable range of ca. 10 Bq kg−1 in March 2013. 40K levels were in the range of 800–1,000 Bq kg−1, which was comparable to Ulva (green alga) and considerably lower than Undaria, Eisenia and Sargassum) (brown algae).
Discussion
137Cs concentrations in seawater off the eastern Japan coast prior to the accident were in the same order of magnitude as other surface oceanic waters, between 1 and 3 Bq m−3 for 137Cs (Nakanishi et al. 2010). After the accident, measured concentrations in a 30 km perimeter around the plant exceeded 10 Bq L−1 (or 10,000,000 Bq m−3) (Bailly du Bois et al. 2012).
The 137Cs levels in seawater at the coast of Iwaki (Shioyazaki and Nagasaki) one month after the mass discharge of high concentration contaminated water in April measured ca. 8–10 Bq L−1 in our own measurements (Fig. 4). These values agree well with the report of Bailly du Bois et al. (2012). The coast around Shioyazaki and Nagasaki was estimated to have been exposed up to ca. 60 Bq L−1 for about two weeks (15 April–1 May 2011) according to the estimated geographical distribution of the 137Cs in Bailly du Bois et al. (2012).
The influence of the radioactive liquid effluents escaping directly from the nuclear power plant was particularly significant from 26 March to 8 April 2011 in the vicinity of the plant. Concentrations measured after 10 April 2011 declined in the vicinity of the plant. The perennial brown alga Eisenia bicyclis also showed a similar pattern, but in the red alga Ahnfeltiopsis paradoxa the levels stayed about the same during December 2012 and March 2013. In contrast, the concentration of 40K was relatively stable throughout the period, in accordance with the assumption that it is not of anthropogenic origin because the levels were comparable to those of the specimens from Chiba Pref. and Hyogo Pref.
Given that the seawater 137Cs levels were in the range of 10–60 Bq L−1 at Shioyazaki and Nagasaki in April 2011 [according to our data and those by Bailly du Bois et al. (2012)], and that seaweeds collected in May 2011 contained an average 137Cs level of ca. 5,000 Bq kg−1, the seaweeds are considered to have accumulated 137Cs in their tissues by 8–50 folds compared to their environment (80–500 folds in dry samples, given the wet/dry mass ratio of 10). These CF values must be certainly underestimated because some part (or a large part) of the algal tissue of the specimens collected in early May 2011 (2 May and 6 May 2011) had already been grown up before the exposure to the highly radiopolluted seawater. In general, the growth rate of seaweeds differs depending on the species; even in rather fast growing species, such as Ulva spp. and Undaria pinnatifida, their growth period is longer than one month; and many species grow up in 3–4 months.
The above CF values of ca. 8–50 agree well with the known CF values of ca. 30–50 in marine macroalgae (IAEA 2004). Considering the underestimation in our data as mentioned above, macroalgal CF may be somewhat higher than the IAEA standard. This could be caused if the local concentration of 137Cs in polluted seawater during the seaweed growth period (e.g., during later April 2011) were higher than that on the collection dates after May 2011.
The 137Cs levels of the specimens directly dried after collection (air-dried and then heated; e.g., k001, k004 in Table 1), and those frozen before drying (frozen, thawed, air-dried and then heated; e.g., k017, k023) were roughly comparable. Meltwater from the frozen algal tissues (k048–k051) contained significantly higher concentrations of 137Cs compared to the thawed tissue, although the levels were rather variable depending on the taxa (ca. 40 Bq L−1 in Undaria pinnatifida to ca. 800 Bq L−1 in Eisenia bicyclis). The 137Cs concentrations in meltwater was much higher than that in ambient seawater, which was below the detection level of ca. 1 Bq L−1 in early July 2011, and was comparable to that in fresh algal tissues, which was estimated from the present measurements of directly dried specimens. Thus, we concluded that the measurements based on dried specimens after the freezing process may underestimate the 137Cs concentrations in fresh algal tissues.
We showed that the radioactive Cs levels in marine macroalgae decline rather rapidly during the summer of 2011. This may be ascribed to the fact that the marine macroalgae grow and turnover rapidly during this period. The growth periods of a number of annual taxa [e.g., Scytosiphon lomentaria, Monostroma nitidum Wittrock, Ulva spp., Pyropia (Porphyra) spp.] are less than six months irrespective of their life history patterns (see below; Fig. 15). Many taxa have life histories with alternation of heteromorphic sporophytes and gametophytes [e.g., Undaria pinnatifida, Scytosiphon lomentaria, Monostroma nitidum, Pyropia yezoensis (Roth) C. Agardh] and their macroscopic generations disappear during summer and autumn (Bold and Wynne 1985; Graham and Wilcox 2000; Hori 1993, 1994). In these cases, even though the thallus tissues had absorbed a large amount of radionuclides during development (i.e., late March–April 2011), they were replaced by new tissues, resulting in lower or null radionuclide concentrations before summer and autumn 2011.
Some of the taxa with heteromorphic life history have perennial macroscopic thalli, and these thalli persist during summer (e.g., Eisenia bicyclis, Saccharina japonica). However, they show intercalary growth with a growth zone in the transitional zone between blade and stipe, and the older parts of the thalli (blade) become gradually lost from the tip within several months (Bold and Wynne 1985). Many others, e.g., Ulva spp., Dictyota dichotoma (Hudson) J.V. Lamouroux, Spatoglossum crissum J. Tanaka, Chondrus spp., Gloiopeltis furcate, and Ahnfeltiopsis paradoxa, have life histories with alternation between isomorphic macroscopic generations. However, the growth period of a generation is generally less than 6 months as mentioned above.
A few taxa, e.g., Codium spp. and Sargassum spp., lack alternation of generations in their life history. Among them, Sargassum horneri is a winter-spring annual, and S. yamadae is a perennial species growing during a spring–summer term. Therefore, most of the macroalgae (and the tissues constituting their thalli) collected later than autumn 2011 grew by absorbing ambient nutrients including Cs after a rapid decline of the radionuclide concentrations in seawater. However, it is noteworthy that the levels of 134Cs as well as 137Cs have remained more or less stable since winter 2012, and were still detectable in spring 2013 in most marine macroalgae (ca. 8–140 Bq kg−1 for 137Cs in dried specimens). Considering the CF values of Cs in marine macroalgae, i.e., 8–50 in our study and 50 in the IAEA report, the 137Cs level in ambient seawater of marine macroalgae habitats was considered to have retained at the minimum the level of ca. 0.02–0.3 Bq L−1 (based on CF 50). The detection limit of 134Cs and 137Cs in seawater differs remarkably depending on analytical facilities: ca. 0.0008 Bq L−1, http://www1.kaiho.mlit.go.jp/KANKYO/press/press20121106.pdf; 0.025 Bq L−1, http://www.env.go.jp/guide/budget/h25/h25-gaiyo/011.pdf; and 1.2 Bq L−1, http://radioactivity.nsr.go.jp/ja/contents/8000/7638/24/278_i_0531.pdf. The concentration in seawater (0.02–0.3 Bq L−1) is critical for the direct detection of radionuclides in some analytical facilities.
It has been suggested that marine macroalgal metal loads can be used as markers to track the geographical distributions of the metal concentrations in coastal seawaters, e.g., Ulva spp. (Caliceti et al. 2002; Haritonidis and Malea1999), Undaria pinnatifida (Yamada et al. 2007). Similarly, the bio-monitoring of coastal 137Cs using seaweeds must be very useful because marine macroalgae in general are shown to avidly accumulate 137Cs in their tissues (CF = ca. 8–50), whereas they grow rather rapidly and, hence, turnover rapidly, so that they exert no influence of bioconcentration through the food chain.
References
Bailly du Bois P, Laguionie P, Boust D, Korsakissok I, Didier D, Fiévet B (2012) Estimation of marine source-term following Fukushima Dai-ichi accident. J Environ Radioact 114:2–9
Bold HC, Wynne MJ (1985) Introduction to the Algae: structure and reproduction, 2nd edn. Prentice-Hall, Englewood Cliffs, p 720
Buesseler K, Aoyama M, Fukasawa M (2011) Impacts of the Fukushima nuclear power plants on marine radioactivity. Environ Sci Tech 45:9931–9935
Caliceti M, Argese E, Sfriso A, Pavoni B (2002) Heavy metal contamination in the seaweeds of the Venice lagoon. Chemosphere 47:443–454
Coughtrey PJ, Thorne MC (1983) Radionuclide distribution and transport in terrestrial and aquatic ecosystems. A critical review of data, vol 1. A.A. Balkema, Rotterdam
Estournel C, Bosc E, Bocquet M, Ulses C, Marsaleix P, Winiarec V, Osvath I, Nguyen C, Duhaut T, Lyard F, Michaud H, Auclair F (2012) Assessment of the amount of Cesium-137 released into the Pacific Ocean after the Fukushima accident and analysis of its dispersion in Japanese coastal waters. J Geophys Res 117:C11. doi:10.1029/2012JC007933
Graham LE, Wilcox LW (2000) Algae. Prentice-Hall, London
Haritonidis S, Malea P (1999) Bioaccumulation of metals by the green alga Ulva rigida from Thermaikos Gulf, Greece. Environ Poll 104:365–372
Hori T (1993) An illustrated atlas of the life history of algae. In: Brown and red algae, vol 2. Uchida Rokakuho, Tokyo
Hori T (1994) An illustrated atlas of the life history of algae. In: Green algae, vol 1. Uchida Rokakuho, Tokyo
Ikeuchi Y (2003) Temporal variations of 90Sr and 137Cs concentrations in Japanese coastal surface seawater and sediments from 1974 to 1998. Deep Sea Res 50:2713–2726
International Atomic Energy Agency (2004) Sediment distribution coefficients and concentration factors for biota in the marine environment. IAEA Technical Reports Series No. 422. IAEA Vienna
Kanda J (2013) Continuing 137Cs release to the sea from the Fukushima Dai-ichi Nuclear Power Plant through 2012. Biogeosci Discuss 10:3577–3595
Kanter U, Hauser A, Michalke B, Dräxl S, Schäffner AR (2010) Caesium and strontium accumulation in shoots of Arabidopsis thaliana: genetic and physiological aspects. J Exp Bot 61:3995–4009
Kawamura H, Kobayashi T, Furuno A, Ishikawa Y, Nakayama T, Shima S, Awaji T (2011) Preliminary numerical experiments on oceanic dispersion of 131I and 137 Cs discharged into the ocean because of the Fukushima Daiichi nuclear power plant disaster. J Nucl Sci Technol 48:1349–1356
Linsley G, Sjoblom K, Cabianca T (2005) Overview of point source of anthropogenic radionuclides in the oceans, vol. 6, chapter 4, issues 17–21, 109–138
Mimura T, Mimura M, Komiyama C, Miyamoto M, Kitamura A (2014) Measurements of gamma (γ)-emitting radionuclides with a high purity germanium detector: the methods and reliability of our environmental assessments on the Fukushima 1 Nuclear Power Plant accident. J Plant Res 127 (in this issue). doi:10.1007/s10265-013-0594-y
Miyazawa Y, Masumoto Y, Varamov SM, Miyama T, Takigawa M, Honda M, Seino T (2012) Inverse estimation of source parameters of oceanic radioactivity dispersion models associated with the Fukushima accident. Biogeosci Discuss 9:13783–13816
Morita T, Fujimoto K, Kasai H, Yamada H, Nishiuchi K (2010) Temporal variations of 90Sr and 137Cs concentrations and the 90Sr/137Cs activity ratio in marine brown algae, Undaria pinnatifida and Laminaria longissima, collected in coastal areas of Japan. J Environ Monit 12:1179–1186
Morris ER, Rees DA, Robinson G (1980) Cation-specific aggregation of carrageenan helices: domain model of polymer gel structure. J Mol Biol 138:349–362
Nakanishi T, Aono T, Yamada M, Kusakabe M (2010) Temporal and spatial variations of 137Cs in the waters off a nuclear fuel reprocessing facility in Rokkasho, Aomori, Japan. J Radioanal Nucl Chem 283:831–838
Pentreath RJ (1976) Monitoring of radionuclides. Fish Tech Paper 150, FAO Rome
Povinec PP, Hirose K, Honda T, Ito T, Scott EM, Togawa O (2004) Spatial distribution of 3H, 90Sr, 137Cs and 239,240Pu in surface waters of the Pacific and Indian Oceans–GLOMARD database. J Environ Radioact 76:113–137
Tateda Y, Koyanagi T (1994) Concentration factors for Cs-137 in marine algae from Japanese coastal waters. J Radiat Res 35:213–221
Tsumune D, Tsubono T, Aoyama M, Hirose K (2012) Distribution of oceanic 137Cs from the Fukushima Dai-ichi nuclear power plant simulated numerically by a regional ocean model. J Environ Radioact 111:100–108
Yamada M, Yamamoto K, Ushihara Y, Kawai H (2007) Variation in metal concentrations in the brown alga Undaria pinnatifida in Osaka Bay, Japan. Phycol Res 55:222–230
Zhu Y-G, Smolders E (2000) Plant uptake of radiocaesium: a review of mechanisms, regulation and application. J Exp Bot 51:1635–1645
Acknowledgments
We are grateful to E.C. Henry (Reed Mariculture) for his valuable comments on the manuscript, Chiyo Komiyama and Tomoko Kotani (Kobe University) for technical support in the measurements of radionuclides and data analyses, Toshiaki Wada, Tadashi Iwasaki, Naoto Hirakawa (Fukushima Prefectural Fisheries Experimental Station), Masataka Ohta (Marine Ecology Research Institute) and Norio Kikuchi (Natural History Museum and Institute, Chiba) for assistance in the field collections. The project was supported by the research grant of Organization of Advanced Science and Technology, Kobe University.
Author information
Affiliations
Corresponding author
Additional information
Fukushima Daiichi Nuclear Power Station is cited as Fukushima 1 Nuclear Power Plant in the present manuscript.
Rights and permissions
This article is published under an open access license. Please check the 'Copyright Information' section either on this page or in the PDF for details of this license and what re-use is permitted. If your intended use exceeds what is permitted by the license or if you are unable to locate the licence and re-use information, please contact the Rights and Permissions team.
About this article
Cite this article
Kawai, H., Kitamura, A., Mimura, M. et al. Radioactive cesium accumulation in seaweeds by the Fukushima 1 Nuclear Power Plant accident—two years’ monitoring at Iwaki and its vicinity. J Plant Res 127, 23–42 (2014). https://doi.org/10.1007/s10265-013-0603-1
Received:
Accepted:
Published:
Issue Date:
Keywords
- 134Cs
- 137Cs
- F1NPP
- 40K
- Radionuclide accumulation
- Seaweeds














