Archimedean copulas with applications to \({{\mathrm{VaR}}}\) estimation
- 1.3k Downloads
Abstract
Assuming absolute continuity of marginals, we give the distribution for sums of dependent random variables from some class of Archimedean copulas and the marginal distribution functions of all order statistics. We use conditional independence structure of random variables from this class of Archimedean copulas and Laplace transform. Additionally, we present an application of our results to \({{\mathrm{VaR}}}\) estimation for sums of data from Archimedean copulas.
Keywords
Order statistics Archimedean copulas Confidence interval for \({{\mathrm{VaR}}}\)Mathematics Subject Classification
60E05 62G30 62H051 Introduction
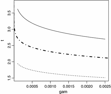
Broken line for \(t_{\infty }\), solid line for \(t_{W}\), bold broken line for \(t_{*}\)
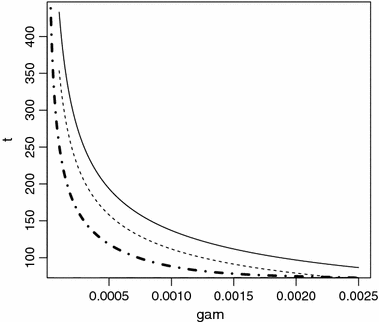
Broken line for \(t_{\gamma }\), solid line for \(t_{W}\), bold broken line for \(t_{*}\)
2 Distribution for sums for Archimedean copulas
In this section we consider the distribution for sums for Archimedean copulas. The asymptotic distribution of such sums under some technical assumptions was given in Alink et al. (2004, 2005) and Wüthrich (2003). Let \( S_{n}=\sum _{i=1}^{n}X_{i}\).
Theorem 1
Proof
Popular Archimedean copulas such as the Gumbel and Clayton copulas can be derived from the construction (2)–(4) [see Marshall and Olkin 1988]. Remarks 1, 2, 3 below are devoted to the numerical computation of (9).
Remark 1
Observe that, for the case of the Clayton copula, the probability \(\mathbb {P} \left( S_{n}\le t\right) \) is given by the following simple formula.
Corollary 1
Proof
Remark 2
Remark 3
For the Gumbel copula with \(\alpha \ge 1\) from Remark 1 one may observe that if we simulate N times \(n-1\) independent variables \( U_{i}^{j}=u_{i}^{j}\) for \(i=1,\ldots ,n-1\) and \(j=1,\ldots ,N\) from the distribution of density \(f_{i+1}\), then MC calculation of (9) yields
From Theorem 1 and Corollary 1 we have simple formulas for the distribution of (5) for \(n=2\).
Corollary 2
- (a)For the Clayton copula with parameter \(\alpha >0\),$$\begin{aligned} \mathbb {P}\left( S_{2}\le t\right) =\frac{\alpha \varGamma \left( 1+\frac{1}{\alpha } \right) }{\varGamma \left( \frac{1}{\alpha } \right) }\int \limits _{-\infty }^{\infty }\frac{ \left( F_{2}(u)\right) ^{-\alpha -1}f_{2}(u)}{\left( \left( F_{2}(u)\right) ^{-\alpha }+\left( F_{1}(t-u)\right) ^{-\alpha }-1\right) ^{1+\frac{1}{\alpha } }}du \text {.} \end{aligned}$$
- (b)For the Gumbel copula with parameter \(\alpha \ge 1\),where \(w(t)=\varphi \left( F_{2}(u)\right) +\varphi \left( F_{1}(t-u)\right) \) and \(\varphi (x)=\left( \ln \left( 1/x\right) \right) ^{\alpha }\). In both formulas it is assumed that the integrals exist.$$\begin{aligned} \mathbb {P}\left( S_{2}\le t\right) =-\frac{1}{\alpha }\int \limits _{-\infty }^{\infty }e^{-\left( w(t)\right) ^{\frac{1}{\alpha } }}\left( w(t)\right) ^{-1+\frac{1}{\alpha } }\frac{1}{F_{2}(u)}\left( \ln \left( \frac{1}{F_{2}(u)}\right) \right) ^{\alpha -1}f_{2}(u)du\text {,} \end{aligned}$$
3 Order distributions for Archimedean copulas
Our main result in this section is
Proposition 1
Proof
Straightforward from (7).
Therefore, we get immediately
Corollary 3
- (i)For the Gumbel copula with \(\varphi ^{-1}(t)=\exp \left( -t^{\frac{1}{ \alpha }}\right) \) for \(\alpha \ge 1\), we haveWhen \(X_{1},\ldots ,X_{n}\) are identically distributed with marginal c.d.f. F, then$$\begin{aligned} \mathbb {P}\left( X_{m:n}\le x\right) =\sum _{j=m}^{n}\left( -1\right) ^{j-m} \genfrac(){0.0pt}1{j-1}{m-1}\genfrac(){0.0pt}1{n}{j}\exp \left( -\left( \sum _{i=1}^{j}\left( \ln \left( \frac{1}{F_{i}(x)}\right) \right) ^{\alpha }\right) ^{\frac{1}{\alpha }}\right) \text {.} \end{aligned}$$$$\begin{aligned} \mathbb {P}\left( X_{m:n}\le x\right) =\sum _{j=m}^{n}\left( -1\right) ^{j-m} \genfrac(){0.0pt}1{j-1}{m-1}\genfrac(){0.0pt}1{n}{j}\left( F(x)\right) ^{j^{\frac{1}{\alpha }}}\text {.} \end{aligned}$$
- (ii)For the Clayton copula with \(\varphi ^{-1}(t)=\left( 1+\alpha t\right) ^{-\frac{1}{\alpha }}\) for \(\alpha >0\), we have$$\begin{aligned} \mathbb {P}\left( X_{m:n}\le x\right) =\sum _{j=m}^{n}\left( -1\right) ^{j-m} \genfrac(){0.0pt}1{j-1}{m-1}\genfrac(){0.0pt}1{n}{j}\left( 1+\sum _{i=1}^{j}\left( \left( F_{i}(x)\right) ^{-\alpha }-1\right) \right) ^{-\frac{1}{\alpha }}\text {.} \end{aligned}$$
4 Applications
We consider the problem of interval estimation for \({{\mathrm{VaR}}}\) for sums of n identically distributed random variables from Archimedean copulas. Denote\({{\mathrm{VaR}}}_{\gamma }(S_{n}):=D_{n}^{-1}(\gamma )\), where \(D_{n}\) is the distribution function of \(S_{n}\) given by (5).
4.1 Lower confidence intervals for \({{\mathrm{VaR}}}\)
Remark 4
In real applications, we often do not know the function \(\varphi \), or if we know the formula of \(\varphi \), we do not know the parameters of this function. Hence, we must estimate \(\varphi \) or its parameters. Let \(\hat{ \varphi }\) be an estimator of \(\varphi \) (nonparametric if \(\varphi \) is unknown or parametric if only a formula of \(\varphi \) is known). Then, by replacing \(\varphi \) with \(\hat{\varphi }\) in (17), we obtaine an estimator of the lower confidence interval for \({{\mathrm{VaR}}}_{\gamma }(S_{n})\).
4.2 Bound for large losses for sums of Archimedean copulas
Below, we consider two cases. The first is when the marginal c.d.f. F is subexponential (e.g. heavy tailed), and the second when F is subgaussian.
Lemma 1
Proof
Remark 5
In Fig. 1 we see \(t_{_{W}}\) and \(t_{\infty }\) for \(\theta =5\), \(\beta =2\) as functions of \(\gamma \in (0,0.0025)\). Additionally we indicate \(t_{*}\) corresponding to \(\mathbb {P}(S_{2}\ge 2t_{*})=\gamma \), where the c.d.f. of \(S_{2}\) is calculated from \(N=1000\) MC simulation based on Remark 2 from the Clayton copula with \(\alpha =1/2\) and marginal Pareto distribution with \(\theta =5\) and \(\beta =2\).
We say that a r.v. X is subgaussian (more precisely, b-subgaussian) if there is some \(b>0\) such that for every \(t\in \mathbb {R}\) one has \(\mathbb {E} e^{tX}\le e^{b^{2}t^{2}/2}\).
Lemma 2
Proof
Final Conclusions We have obtained simple formulas for distributions for order statistics from Archimedean copulas, and the formulas have been applied to construct non-parametric confidence intervals for \({{\mathrm{VaR}}}\) for sums for Archimedean copulas. From Tables 1, 2 we can see that the lower bound of the confidence interval for \({{\mathrm{VaR}}}\) for the Gumbel copula is decreasing when the parameter \(\alpha \) is increasing. For the Clayton copula the lower bound of the confidence interval for \({{\mathrm{VaR}}}\) is almost constant when \(\alpha \) is increasing.
Maximum r satisfying (17) for the Gumbel copula
| \(\beta =0.05\) | \(\alpha =1\) | \(\alpha =1.2\) | \(\alpha =2\) |
|---|---|---|---|
| \( \gamma =0.01,n=10\) | 7 | 6 | 2 |
| \(\gamma =0.01,n=20\) | 17 | 17 | 14 |
| \( \gamma =0.05,n=10\) | 7 | 7 | 3 |
| \( \gamma =0.05,n=10\) | 17 | 17 | 15 |
| \( \gamma =0.1,n=10\) | 8 | 7 | 3 |
| \(\gamma =0.1,n=20\) | 17 | 17 | 15 |
Maximum r satisfying (17) for the Clayton copula
| \(\beta =0.05\) | \(\alpha =0.1\) | \(\alpha =0.5\) | \(\alpha =1\) |
|---|---|---|---|
| \(\gamma =0.01,n=10\) | 7 | 7 | 6 |
| \(\gamma =0.01,n=20\) | 17 | 17 | 16 |
| \(\gamma =0.05,n=10\) | 7 | 7 | 7 |
| \(\gamma =0.05,n=10\) | 17 | 17 | 16 |
| \(\gamma =0.1,n=10\) | 7 | 7 | 7 |
| \(\gamma =0.1,n=20\) | 17 | 17 | 17 |
Notes
Acknowledgments
I would like to thank the Associate Editor and two referees for their helpful constructive comments which helped me to improve the quality of the paper.
References
- Alink S, Löwe M, Wüthrich MV (2004) Diversification of aggregate dependent risks. Insur Math Econ 35:77–95MathSciNetCrossRefMATHGoogle Scholar
- Alink S, Löwe M, Wüthrich MV (2005) Analysis of the expected shortfall of aggregate dependent risks. ASTIN Bull 35:25–43MathSciNetCrossRefMATHGoogle Scholar
- Arbenz P, Embrechts P, Puccetti G (2011) The AEP algorithm for the fast computation of the distribution of the sum of dependent random variables. Bernoulli 17(2):562–591MathSciNetCrossRefMATHGoogle Scholar
- Barbe P, Fougères A-L, Genest C (2006) On the tail behaviour of sums of dependent risks. ASTIN Bull 36:361–373MathSciNetCrossRefMATHGoogle Scholar
- Bernstein SN (1928) Sur les fonctions absolument monotones. Acta Math 52:1–66MathSciNetCrossRefMATHGoogle Scholar
- Cherubini U, Mulinacci S, Romagnoli S (2008) Copula based martingale processes and financial prices dynamics. Working paper (2008)Google Scholar
- David HA, Nagaraja HN (2003) Order statistics, 3rd edn. Wiley, HobokenCrossRefMATHGoogle Scholar
- de Haan L, Resnick SI (1977) Limit theory for multidimensional sample extremes. Z Wahr Geb 40:317–337CrossRefMATHGoogle Scholar
- Frees EW, Valdez EA (1998) Understanding relationships using copulas. N Am Actuar J 2:1–25MathSciNetCrossRefMATHGoogle Scholar
- Galambos J (1982) The role of exchangeability in the theory of order statistics. In: Koch G, Spizzichino F (eds) Exchangeability in probability and statistics. North-Holland, Amsterdam, pp 75–87Google Scholar
- Goldie Ch M, Klüppelberg C (1998) Subexponential distributions. In: Adler R, Feldman R, Taqqu MS (eds) A practical guide to heavy tails: statistical techniques for analysing heavy tailed distributions. Birkhäuser, Boston, pp 453–459Google Scholar
- Jaworski P, Rychlik T (2008) On distributions of order statistics for absolutely continuous copulas with applications to reliability. Kybernetika 44:757–776MathSciNetMATHGoogle Scholar
- Marshall AW, Olkin I (1988) Families of multivariate distributions. JASA 83:834–841MathSciNetCrossRefMATHGoogle Scholar
- Mesifioui M, Quessy J-F (2005) Bounds on the value-at-risk for sum of possibly dependent risks. Insur Math Econ 37:135–151MathSciNetCrossRefMATHGoogle Scholar
- Nelsen RB (1999) An introduction to copulas. (Lecture Notes in Statistics 139) Springer, New YorkGoogle Scholar
- Sklar A (1959) Fonctions de répartition à n dimensions et leurs marges. Publ Inst Stat Univ Paris 8:229–231MathSciNetMATHGoogle Scholar
- Wüthrich MV (2003) Asymptotic value-at-risk estimates for sums of dependent random variables. ASTIN Bull 33:75–92MathSciNetCrossRefMATHGoogle Scholar
Copyright information
Open AccessThis article is distributed under the terms of the Creative Commons Attribution 4.0 International License (http://creativecommons.org/licenses/by/4.0/), which permits unrestricted use, distribution, and reproduction in any medium, provided you give appropriate credit to the original author(s) and the source, provide a link to the Creative Commons license, and indicate if changes were made.

