Abstract
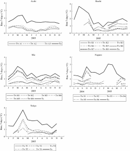
In order to gain insight into the effect of watershed conditions on fluctuations in stream water temperature, we statistically analyzed water temperature data for 1 year, using root mean square (Rms) and harmonic (A Amplitude, φ delay time) methods. The average values of delay time (days) between air and water temperatures (T a and T w) of small (< 0.5 ha), medium (0.5–100 ha) and large (> 100 ha) watersheds were 4.53 ± 0.82 days, 11.83 ± 3.88 days and 4.45 ± 1.52 days, respectively. Fluctuations in stream water temperature expressed by Rms (Rms T w/Rms T a) and harmonic methods (A −T w/A −T a) in the medium-sized watersheds with moderate slope gradients were 0.37 ± 0.09 and 0.56 ± 0.14, respectively. These values increased in the larger watersheds with low slope gradients, including five large rivers covered by various landscapes, with their averages of 0.53 ± 0.09 and 0.78 ± 0.09, respectively, indicating the influences of solar radiation and heat transfer processes. In the smaller watersheds with high slope gradients, these values were 0.73 ± 0.02 and 0.87 ± 0.03, respectively, suggesting that shorter passage time affected water temperatures. With respect to forest type, these values at badly managed hinoki forest watersheds (0.45 ± 0.04 and 0.73 ± 0.07) were larger than those at broadleaf forest (0.34 ± 0.04 and 0.51 ± 0.12) and well-managed hinoki forest (0.33 ± 0.04 and 0.51 ± 0.07) watersheds, indicating different proportions of flow paths.
This is a preview of subscription content, access via your institution.









References
Arai T, Nishizawa T (1972) Theory of water temperature. Kyoritsu-Shuppan, Tokyo
Bartholow JM (1989) Stream temperature investigations: field and analytic methods. U.S. Fish and Wildlife Service, Instream Flow Information, paper no. 13
Becker MW, Georgian T, Ambrose H, Siniscalchi J, Fredrick K (2004) Estimating flow and flux of groundwater discharge using water temperature and velocity. J Hydrol 296:221–233
Bogan T, Stefan HG, Mohseni O (2004) Imprints of secondary heat sources on the stream temperature/equilibrium temperature relationship. Water Resour Res 40:1–16
Bogan T, Stefan HG, Mohseni O (2003) Stream temperature-equilibrium temperature relationship. Water Resour Res 39:1245–1257
Bonacci O, Trninic D, Roje-Bonacci T (2008) Analysis of the water temperature regime of the Danube and its tributaries in Croatia. Hydrol Process 22:1014–1021
Brown GW (1969) Predicting temperatures of small streams. Water Resour Res 5:68–75
Brown LE, Hannah DM (2008) Spatial heterogeneity of water temperature across an alpine river basin. Hydrol Process 22:954–967
Caissie D (2006) The thermal regime of rivers: a review. Freshw Biol 51:1389–1406
Caissie D, El-Jabi N, Satish MG (2001) Modelling of maximum daily water temperatures in a small stream using air temperatures. J Hydrol 251:14–28
Danehy RJ, Colson CG, Parrett KB, Duke SD (2005) Patterns and sources of thermal heterogeneity in small mountain streams within a forested setting. For Ecol Manag 208:287–302
Dunham J, Schroeter R, Rieman B (2003) Influence of maximum water temperature on occurrence of Lahontan cutthroat trout within streams. North Am J Fish Manag 23:1042–1049
Eaton GJ, Scheller RM (1996) Effects of climate warming on fish thermal habitat in streams of the United States. Limnol Oceanogr 41:1109–1115
Edinger JR, Duttweiler DW, Geyer JC (1968) The response of water temperature to meteorological conditions. Water Resour Res 4:1137–1143
Erickson TR, Stefan HG (2000) Linear air/water temperature correlations for streams during open water periods. J Hydrol Eng 5:317–321
Fukushima T, Ozaki N, Kaminishi H, Harasawa H, Matsushige K (2000) Forecasting the changes in lake water quality in response to climate changes, using past relationships between meteorological conditions and water quality. Hydrol Process 14:593–604
Gordon ND, McMahon TA, Finlayson BL (1992) Stream hydrology: an introduction for ecologists, chap 2. How to study a stream, Wiley, England, pp 17–47
Gu RR, Li Y (2002) River temperature sensitivity to hydraulic and meteorological parameters. J Environ Manag 66:43–56
Gu R, Stefan HG (1985) One dimensional model for water temperature prediction in the lower reach of the Yellow River. International Memorandum No 116:1–33. St Anthony Falls Hydraulic Laboratory, University of Minnesota, Saint Paul, Minn
Gu R, McCutcheon S, Chen CJ (1999) Development of weather-dependent flow requirements for river temperature control. Environ Manag 24:529–540
Herschy RW (1985) Stream measurements, stream flow measurements. Elsevier, London
Jensen AJ, Johnsen BO, Saksgard L (1989) Temperature requirements in Atlantic salmon (Salmo salar), brown trout (Salmo trutta), and Arctic char (Salvelinus alpinus) from hatching to initial feeding compared with geographic-distribution. Can J Fish Aquat Sci 46:786–789
Lambs L (2004) Interactions between groundwater and surface water at river banks and the confluence of rivers. J Hydrol 288:312–326
Mitchell S (1999) A simple model for estimating mean monthly stream temperature after riparian canopy removal. Environ Manag 24:77–83
Mohseni O, Stefan HG (1999) Stream temperature/air temperature relationship: a physical interpretation. J Hydrol 218:128–141
Mohseni O, Stefan HG, Erickson TR (1998) A non-linear regression model for weekly stream temperatures. Water Resour Res 34:2685–2693
Mohseni O, Erickson TR, Stefan HG (1999) Sensitivity of stream temperatures in the United States to air temperatures projected under a global warming scenario. Water Resour Res 35:3723–3733
Moore RD, Spittlehouse DL, Story A (2005) Riparian microclimate and stream temperature response to forest harvesting: a review. J Am Water Resour Assoc 41:813–834
O’Driscoll MA, DeWalle DR (2006) Stream-air temperature relations to classify stream-ground water interactions in a karst setting, central Pennsylvania, USA. J Hydrol 329:140–153
Onda Y, Yukawa N (1994) The influence of understories and litter layer on the infiltration of forested hillslopes. Proceeding of the international symposium on forest hydrology, Tokyo, October 1994, pp 107–114
Onda Y, Tsujimura M, Nonoda T, Takenaka C (2005) Methods for measuring infiltration rate in forest floor in hinoki plantations (in Japanese with English abstract). J Jpn Soc Hydrol Water Resour 18:688–694
Ozaki N, Fukushima T, Harasawa H, Kojiri T, Kawashima K, Ono M (2003) Statistical analyses on the effects of air temperature fluctuations on river water qualities. Hydrol Process 17:2837–2853
Pilgrim JM, Fang X, Stefan HG (1998) Stream temperature correlation with air temperature in Minnesota: implications for climate warming. J Am Water Resour Assoc 34:1109–1121
Rutherford JC, Blackett S, Blackett C, Saito L, Colley RJD (1997) Predicting the effects of shade on water temperature in small streams. N Z J Mar Freshw Res 31:707–721
Sinokrot BA, Gulliver JS (2000) In-stream flow impact on river water temperatures. J Hydraul Res 38:339–349
Sinokrot BA, Stefan HG (1993) Stream temperature dynamics: measurement and modeling. Water Resour Res 29:2299–2312
Sophocleous M (2002) Interactions between groundwater and surface water: the state of the science. Hydrogeol J 10:52–67
Sridhar V, Sansone AL, LaMarche J, Dubin T, Lettenmaier DP (2004) Prediction of stream temperature in forested watersheds. J Am Water Resour Assoc 40:197–213
Stefan HG, Preud’homme EB (1993) Stream temperature estimation from air temperature. Water Resour Bull 29:27–44
Tani M (1997) Runoff generation processes estimated from hydrological observations on a steep forested hillslope with a thin soil layer. J Hydrol 200:84–109
Thomann RV, Mueller JA (1987) Principles of surface water quality modeling and control, Chapter 9. Temperature. Harper & Row, New York, pp 599–621
Tung CP, Lee TY, Yang YC (2006) Modelling climate-change impacts on stream temperature of Formosan landlocked salmon habitat. Hydrol Process 20:1629–1649
Uchida T, Asano Y, Onda Y, Miyata S (2005) Are headwaters just the sum of hillslopes? Hydrol Process 19:3251–3261
US Geological Survey (2004) Modeling stream flow and water temperature in the North Santiam and Santiam Rivers, Oregon, 2001–02. Scientific investigations report 2004–5001, pp 1–35
Webb BW, Clack PD, Walling DE (2003) Water-air temperature relationships in a Devon river system and the role of flow. Hydrol Process 17:3069–3083
Webb BW, Hannah DM, Moore RD, Brown LE, Nobilis F (2008) Recent advances in stream and river temperature research. Hydrol Process 22:902–918
Acknowledgment
This work was supported by the Japan Science and Technology Agency, Core Research for Evolutional Science and Technology. We express thanks to all members involved in this project.
Author information
Affiliations
Corresponding author
Rights and permissions
About this article
Cite this article
Subehi, L., Fukushima, T., Onda, Y. et al. Influences of forested watershed conditions on fluctuations in stream water temperature with special reference to watershed area and forest type. Limnology 10, 33–45 (2009). https://doi.org/10.1007/s10201-008-0258-0
Received:
Accepted:
Published:
Issue Date:
Keywords
- Stream water temperature fluctuation
- Forested watershed
- Root mean square
- Harmonic analysis