Zooplankton community and hydrographical properties of the Neretva Channel (eastern Adriatic Sea)
- 462 Downloads
- 12 Citations
Abstract
Temporal and spatial variability of micro and mesozooplankton was studied in 1998 and 1999 at four stations in the Neretva Channel area influenced by the Neretva river and the open waters of the south Adriatic Sea. The area is orthophosphate limited, but an excessive accumulation of land derived nitrogen is prevented by phytoplankton uptake and the general circulation pattern. Microzooplankton was dominated by ciliates, with average abundances comparable to other Adriatic channel areas (122–543 ind. l−1). Non-loricate ciliates (NLC) generally peaked in the warmer periods, but a winter increase was evident towards the inner part of the channel. Tintinnid abundances generally increased in autumn. A significant relationship with temperature was not recorded for either protozoan group. An inverse relationship between NLC and salinity might be indirectly caused by their preference for the food abundant surface layer. Mesozooplankton was dominated by copepods, with distinct summer maxima throughout the area and pronounced winter maxima of >10,000 ind. m−3 at the inner stations. The community was predominantly neritic but the open sea waters were important in structuring the mesozooplankton assemblage at all stations during the autumn–winter period. Although temperature regulated the seasonal dynamics of most metazoans and the species succession in the copepod community, small omnivorous copepods (Oncaea media complex, Oithona nana and Euterpina acutifrons) dominated regardless of the season. A trophic link between copepods and ciliates was evident in winter during low phytoplankton biomass.
Keywords
Adriatic Sea Microzooplankton Mesozooplankton Neretva ChannelIntroduction
Although the waters of the Neretva Channel have been sampled regularly during the last decade, published data on plankton community are still scarce. Most published work deals with the shallow and naturally eutrophicated Mali Ston Bay, an important shellfish farming area situated at the Channel’s inner end (Rudenjak-Lukenda 1990; Lučić and Onofri 1990; Viličić et al. 1994; Lučić and Kršinić 1998). Compared to the Mali Ston Bay, the channel waters have been reported to show lower phyto and zooplankton abundances (Kršinić and Mušin 1981; Viličić 1981). However, acoustic surveys consistently showed high echo integral values in the Neretva Channel and fish samples confirmed high abundances of adult and juvenile planktivorous fish, indicating that this area represents an important feeding and nursery ground for many pelagic fish species (Tičina et al. 2006).
The major contrasting influences in the area are the Neretva river, with an annual average runoff of 378 m3 s−1 (Raicich 1994), and the intrusion of the highly saline oligotrophic waters from the open sea (Zore-Armanda et al. 1999), characterized by the high species diversity and reduced phyto and zooplankton abundances (Viličić 1989; Kršinić 1998). River estuaries are known as highly productive areas, where increased nutrient loading leads to increased phytoplankton production, which in turn supports high zooplankton abundance (Caddy and Bakun 1995; Lawrence et al. 2004). The transport of the estuarine waters to the outer estuary is highly variable and subjected to numerous influences (i.e. tidal mixing, topography, season, local winds, etc.) which can significantly increase or reduce their contribution to the productivity in the area. The resulting hydrological characteristics can greatly influence the population structure and seasonal variability of the zooplankton assemblage.
Due to limitations in respective sampling techniques, micro and mesozooplankton are often studied separately. However, evidence of their complex relationships have become apparent in recent years (Kleppel 1993; Gismervik and Andersen 1997; Nakamura and Turner 1997), showing the importance of including both categories in a comprehensive zooplankton study of an area. Therefore we aimed to examine temporal and spatial patterns of both micro and mesozooplankton component of the Neretva Channel zooplankton, in relation to the hydrographical characteristics of the area.
Methods
Study area
Study area with the sampling stations
Most of the mainland coast is built of highly permeable limestone without a natural barrier between the groundwaters of the carstic fields in the hinterland and the freshwater submarine springs in the Bay of Mali Ston (Bahun 1981). Higher discharge of the submarine springs in winter causes a spreading of the less saline surface waters into the Neretva Channel and a compensatory inflow in the bottom layer. The strong NE “bora” wind can, however, reverse that circulation. During the summer the circulation pattern depends entirely on the wind direction (Vučak et al. 1981).
Sampling methods
Geographic positions and depths of sampled stations
| Station | Geographic position | Sampling depth (m) | |
|---|---|---|---|
| S-1 | 43°03′06′′N | 17°21′18′′E | 30 |
| S-2 | 43°01′30′′N | 17°24′48′′E | 18 |
| S-3 | 42°58′00′′N | 17°27′42′′E | 20 |
| S-4 | 42°55′18′′N | 17°33′18′′E | 20 |
Microzooplankton samples were collected with a 5 l Niskin bottle at 0, 5, 10, 20 and 30 m depths. The samples were preserved in 2.5% formaldehyde–seawater solution, previously buffered with CaCO3, since Lugol’s solution stains detritus and would reduce visibility (Fonda-Umani and Beran 2003). Preparation of the samples for the microscopic analysis was performed as described in Bojanić et al. (2005). Counting and species identification were performed with an inverted microscope at 100× and 400× magnifications. Abundances were expressed as number of individuals per litre (ind. l−1).
Parallel sampling of the mesozooplankton was performed at the same stations, using a 125 μm mesh size Nansen net (57 cm diameter, 0.255 m2 mouth area, total length 2.5 m) hauled from near-bottom to the surface. Organisms were preserved with the same fixative. Analysis of the subsamples (1/16–1/64 of the total sample) was performed with an inverted microscope at 40× and 400× magnifications, and the entire sample was checked for the rare species. Abundances were expressed as number of individuals per cubic meter (ind. m−3). Adult copepods and copepodids were always counted separately. Taxonomic identification of mesozooplankton organisms was, whenever possible, performed to the species level. An exception is the copepod family Oncaeidae where recent reviews have suggested substantial taxonomic changes (Böttger-Schnack and Huys 2001; Böttger-Schnack et al. 2001, 2004). In the present study the triplet of sibling species Oncaea media–O. scottodicarloi–O. waldemari was counted as the O. media complex, Monothula subtilis was determined to species level, and all other oncaeids were pooled and counted as Oncaea spp.
Vertical temperature and salinity profiles were measured with a CTD multiparameter probe (IDRONAUT OS316). Oxygen concentrations were determined by the Winkler method (Grasshof 1976). Nutrient concentrations were determined on the Auto-Analyser III system, using modified automated methods (Grasshof 1976). Chlorophyll a measurements were performed on the Turner 112 fluorometer following acetone extraction (Strickland and Parsons 1972). Taxonomic identification of the phytoplankton was performed with an inverted microscope at 200× magnification following the Utermöhl sedimentation method (Utermöhl 1958).
Non-parametric Kruskal–Wallis test was used to test the differences in total micro or mesozooplankton abundances among the sampling stations. Non-parametric Spearman rank order correlations were used to assess the influence of the environmental variables on the mesozooplankton groups and species, and intergroup relationships within the zooplankton community. Principal component analysis (PCA) based upon the correlation matrix was performed to identify the similarities in zooplankton variability among investigated sites. The data input consisted of a set of variables representing average monthly abundances of the main micro and all mesozooplankton groups. The Varimax rotation of extracted PCA components was used in order to obtain a better insight into the behavior of observation variables. The above mentioned analyses were performed using the statistical package StatSoft Inc. (2000) STATISTICA for Windows version 5.5 (http://www.statsoft.com).
Shannon diversity index was used to analyse seasonal diversity changes in the copepod community. In order to reveal copepod species contributions to the dissimilarities among the sampling seasons and to identify the seasonal pattern in the copepod population, Similarity percentages analysis (SIMPER) was performed on the copepod abundance matrix log(x + 1) transformed data, with the cut off for low contributions fixed at 75%. Seasons were determined on the basis of the temperature vertical gradient and termocline formation, and labels such as “spring” (April, May), “summer” (June, July, August), “autumn” (September, October, November) and “winter” (February) were assigned to the individual samples and used as factor groups. This analysis also identified characteristic copepod seasonal ranking, along with their individual contributions based on their averaged abundances during the particular season. The above mentioned analyses were performed using the statistical package Primer 5, version 5.2.9 (Clarke and Gorley 2001).
Results
Abiotic and biotic environmental variables
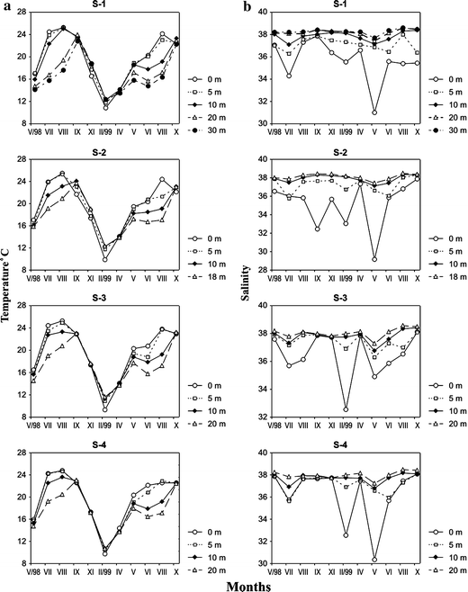
Temperature
Seasonal variability of a temperature, and b salinity in the Neretva Channel
Salinity
Large surface salinity oscillations were recorded in the area, ranging from 29.15 (May 1999) to 38.11 (October 1999) (Fig. 2b). Pronounced occurrence of low salinity surface water and a strong vertical gradient was recorded at all stations in February and May 1999, but the halocline was generally positioned well above 5 m depth. Salinity increased with depth, and the oscillations were low in the bottom layer. Highest values were recorded in August 1999 in the bottom layer at all investigated stations (38.48–38.61).
Oxygen concentration and saturation
The water column was well-oxygenated and no anoxic layers were found. Oxygen concentration ranged from 4.41 to 6.61 ml l−1, corresponding to 94.90 and 115.76% O2, respectively. Lowest values were recorded in August 1998 (S-1 and S-2) and September 1999 (S-3 and S-4) at the surface (S-2) or 10 m depth. The highest oxygen saturations were recorded in April 1999 at S-1 and S-2 at the surface (115.00 and 115.76% O2, respectively) and corresponded to high biological productivity. At stations S-3 and S-4 the concentrations were highest in February 1999, corresponding to low surface water temperature (<10°C) and oxygen saturation of 98.14 and 99.03%, respectively.
Nutrients concentrations
Seasonal variability of nutrient concentrations in the Neretva Channel. a Inorganic nitrogen. b Orthosilicate. c Orthophosphate
Increased concentrations of orthosilicate were also recorded in autumn–winter (November 1998 and February 1999) and in spring (May 1999) (Fig. 3b). Despite the relatively high surface salinity (>36.60) in April 1999, high orthosilicate content was determined in the surface waters of S-1 and S-2 (23.41 and 14.96 mmol SiO4 m−3, respectively), coinciding with the high chlorophyll a biomass at the surface.
Average Redfield ratio (ΣN inorg/P) in the water column (0 m bottom) and at the surface (0 m) during the investigated period
| Station | ΣN inorg/P | |
|---|---|---|
| 0 m bottom | 0 m | |
| S-1 | 21.60 ± 15.37 | 36.93 ± 28.89 |
| S-2 | 22.24 ± 17.25 | 72.59 ± 71.71 |
| S-3 | 19.64 ± 17.83 | 95.21 ± 237.89 |
| S-4 | 19.34 ± 15.38 | 33.67 ± 35.13 |
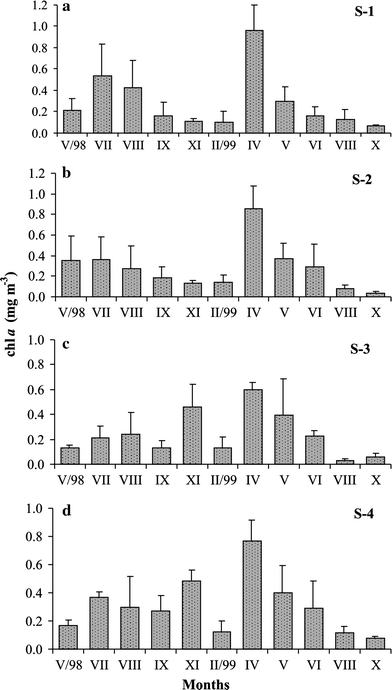
Phytoplankton
Seasonal variability of average chlorophyll a concentrations at stations a S-1, b S-2, c S-3, and d S-4 (standard deviation is indicated by vertical bars)
Microphytoplankton size fraction dominated by diatoms prevailed in the population. The occurrence of monospecific blooms was not recorded.
Microzooplankton
Total microzooplankton abundance per station ranged between 122 and 543 ind. l−1. Ciliated protozoa dominated the assemblage; the average abundances fluctuated greatly during the investigated period, ranging between 81 and 431 ind. l−1. The differences among stations were not significant (P = 0.963).
Seasonal distribution of average density of microzooplankton groups at stations a S-1, b S-2, c S-3, and d S-4 (NLC non-loricate ciliates, TIN tintinnides, NAUP copepod nauplii, JCOP juvenile copepods, ACOP adult small copepods)
Increased tintinnid abundances generally occurred in autumn, with a relatively homogenous vertical distribution at all investigated stations. The highest average value of 228 ± 30 ind. l−1 was determined at S-4 in November 1998 (Fig. 5d). A second abundance maximum, recorded in summer 1999 was of lower intensity.
During most of the investigated period average abundances of micrometazoa were lower than those recorded for protozoa. The differences between their total abundances were not significant among stations (P = 0.130).
Copepod nauplii were dominant, representing >50% of total micrometazoa at all stations. They generally peaked in summer, with a maximal average abundance of 164 ± 156 ind. l−1 in July 1999 at station S-1 (Fig. 5). Vertical distribution pattern of the copepod nauplii in that period showed maximal values in the surface layer (0–5 m). During the colder months decreased abundances (∼50 ind. l−1) and a slight shift in the population distribution towards the bottom was recorded.
The average densities of juvenile copepods and adult small copepods were lower, and their temporal and vertical fluctuations during the sampling period less pronounced. Nevertheless, the seasonal and vertical distributions of the copepodids resembled those of the nauplii, with the highest values recorded in the spring–summer period above the 10 m depth (Fig. 5). The exception was noted at the station S-1, where in May and June 1999 the majority of this population was recorded in the bottom layer. In the late autumn–winter period the organisms also concentrated at the bottom, especially at the inner stations S-3 and S-4.
Increased abundances of adult small copepods were also found in the spring–summer period (Fig. 5). The maximum was recorded at the surface of station S-4 (27 ind. l−1) in July 1998, when Paracalanus parvus, Euterpina acutifrons and Oithona nana dominated this category. At the other stations this summer maximum was of lower intensity, and the organisms concentrated in the 0–5 m layer. A somewhat increased abundance of adult small copepods was also recorded in the late autumn–winter period at S-3 (23 ind. l−1), with Oncaea spp. and E. acutifrons as the main contributors.
Mesozooplankton
Seasonal distribution of the abundances of total mesozooplankton and dominant mesozooplankton groups (Copepoda, Cladocera) at stations a S-1, b S-2, c S-3, and d S-4
Copepods were the most abundant group, and their average annual abundances represented >60% of the total mesozooplankton.
Only in summer the contribution of cladocerans occasionally surpassed that of the copepods. Lowest cladoceran abundances were recorded in February 1999 at all stations, and the highest value (4949 ind. m−3) was recorded in June 1999 at S-1 (Fig. 6a). The most abundant species was Penilia avirostris.
Larval stages of benthic invertebrates generally ranged third in abundance, although they were occasionally surpassed by the appendicularians, especially in the summer–autumn period. Bivalve larvae dominated among the meroplankton larval stages.
Juveniles made the highest contribution to the appendicularian abundances, peaking in August and September 1998. The most abundant adult appendicularians were Oikopleura dioica (S-1 and S-2) and O. longicauda (S-3 and S-4). Small numbers of Fritillaria pellucida were recorded particularly in February 1999.
Chaetognaths were recorded throughout the investigated period, and were dominated by juvenile Sagitta spp.. Their overall contribution to the total mesozooplankton was <4%. Thaliaceans attained significant abundances in August 1998 when a high number of Doliolum spp. gonophores was recorded at all stations (>250 ind. m−3), and in April 1999 when a Thalia democratica bloom was recorded at S-4 (294 ind. m−3).
Other recorded groups included siphonophores, pteropods and ostracods. They appeared in the plankton occasionally and in low abundances. Siphonophores generally contributed <1% to the total mesozooplankton. Increased pteropod abundances were recorded only in August 1999 at all stations, when high abundances of Creseis spp. embryonic shells appeared in the plankton. A small number of ostracods was recorded in the investigated area, mostly during the autumn–winter period.
Temporal variability of the Shannon diversity index H′ (bits ind.− 1) in the copepod community during the sampling period
| Station | Sampling period | |||||||||||
|---|---|---|---|---|---|---|---|---|---|---|---|---|
| V 98 | VII | VIII | IX | XI | II 99 | IV | V | VI | VII | X | Mean | |
| S-1 | 1.69 | 2.14 | 1.57 | 1.67 | 1.81 | 1.89 | 2.51 | 1.10 | 2.06 | 1.92 | 1.70 | 1.82 |
| S-2 | 1.81 | 1.54 | 1.67 | 1.74 | 1.55 | 2.12 | 1.13 | 1.38 | 1.97 | 1.67 | 1.79 | 1.67 |
| S-3 | 2.09 | 1.88 | 1.70 | 2.29 | 0.99 | 1.82 | 2.27 | 1.78 | 1.99 | 1.91 | 2.13 | 1.90 |
| S-4 | 1.71 | 1.70 | 1.73 | 1.43 | – | 2.02 | 2.22 | 1.53 | 2.17 | 1.41 | 1.56 | 1.75 |
Calanoids and poecilostomatoids generally dominated the copepod assemblage, while the dominance of the cyclopoids was mainly confined to warmer periods. Calanoid individual abundances were mostly low, but the number of species was relatively high, cumulatively contributing to the abundance of this group. Conversely, poecilostomatoids and cyclopoids in particular attained high individual abundances, but the number of species was lower.
Seasonal distribution of calanoid copepod species abundances. a Paracalanus parvus, b Ctenocalanus vanus, and c Centropages typicus at stations S-1 to S-4
Seasonal distribution of calanoid copepod species abundances. a Acartia clausi, b Temora stylifera, and c Temora longicornis at stations S-1 to S-4
Seasonal distribution of non-calanoid copepod species abundances. a Oncaea media complex, b Monothula subtilis, c Oithona nana, and d Euterpina acutifrons at stations S-1 to S-4
The most abundant cyclopoid taxa at all stations were O. nana and Oithona copepodids (Fig. 9c). Their combined average annual abundances represented >80% of this group at all stations.
Harpacticoid densities were low, and mainly controlled by the variability of the most abundant species E. acutifrons (Fig. 9d).
Zooplankton relationship to biotic and abiotic parameters
Microzooplankton
Spearman rank order correlations between main micro and mesozooplankton groups or species abundances and abiotic and biotic factors
| Factor | Temperature | Salinity | Chl a | |||||||||
|---|---|---|---|---|---|---|---|---|---|---|---|---|
| Station | S-1 | S-2 | S-3 | S-4 | S-1 | S-2 | S-3 | S-4 | S-1 | S-2 | S-3 | S-4 |
| Non-loricate ciliates | 0.274 | 0.106 | 0.025 | −0.105 | −0.305* | −0.500*** | −0.499*** | −0.486*** | 0.233 | 0.144 | 0.219 | 0.245 |
| Tinntinides | 0.060 | 0.219 | 0.051 | 0.241 | −0.148 | 0.041 | −0.099 | −0.110 | 0.157 | −0.156 | 0.084 | 0.168 |
| Nauplii | 0.452** | 0.353* | 0.260 | 0.586*** | −0.040 | −0.030 | −0.273 | −0.240 | 0.192 | 0.002 | 0.174 | −0.024 |
| Juvenile copepods | 0.364** | 0.373* | 0.288 | 0.302* | 0.251 | 0.048 | −0.051 | −0.153 | 0.215 | 0.131 | 0.130 | 0.290 |
| Adult small copepods | 0.335* | 0.085 | 0.166 | 0.273 | 0.294 | 0.064 | −0.146 | −0.176 | 0.142 | 0.005 | 0.124 | 0.181 |
| Total mesozooplankton | 0.155 | 0.527 | −0.182 | 0.297 | −0.309 | −0.173 | −0.936*** | −0.564 | −0.082 | −0.309 | −0.028 | 0.164 |
| Copepoda | 0.063 | 0.364 | −0.096 | −0.030 | −0.227 | −0.400 | −0.952*** | −0.539 | 0.000 | −0.246 | 0.069 | 0.358 |
| Calanoida | 0.172 | 0.227 | 0.118 | 0.030 | −0.181 | −0.418 | −0.764* | −0.733* | −0.200 | −0.263 | −0.055 | 0.430 |
| Paracalanus parvus | 0.442 | 0.262 | −0.173 | −0.261 | 0.000 | −0.474 | −0.700* | −0.588 | 0.539 | 0.381 | 0.412 | 0.S−3 |
| Ctenocalanus vanus | −0.733* | −0.312 | −0.737* | −0.496 | −0.263 | −0.576 | 0.042 | −0.176 | 0.357 | −0.227 | −0.149 | −0.132 |
| Temora stylifera | 0.682* | 0.888*** | 0.820** | 0.505 | 0.291 | 0.260 | −0.194 | 0.140 | −0.364 | −0.478 | −0.451 | −0.413 |
| Temora longicornis | −0.684* | −0.581 | −0.783** | −0.718* | −0.347 | −0.129 | −0.029 | −0.032 | 0.305 | 0.258 | 0.023 | 0.032 |
| Acartia clausi | −0.069 | 0.483 | 0.222 | −0.489 | −0.633* | −0.479 | −0.120 | −0.345 | 0.396 | 0.423 | −0.009 | 0.207 |
| Centropages typicus | −0.092 | 0.035 | −0.062 | 0.081 | −0.422 | −0.238 | −0.019 | 0.012 | 0.881*** | 0.397 | −0.019 | 0.156 |
| calanoid copepodids | 0.018 | 0.245 | 0.118 | −0.079 | −0.145 | 0.027 | −0.682* | −0.699* | −0.351 | −0.636* | 0.009 | 0.523 |
| Cyclopoida | −0.309 | 0.181 | −0.163 | −0.188 | −0.045 | −0.046 | −0.327 | −0.224 | 0.290 | 0.109 | 0.110 | 0.479 |
| Oithona similis | −0.386 | −0.352 | −0.629* | −0.841** | −0.745* | −0.071 | −0.305 | −0.080 | 0.413 | −0.141 | 0.161 | 0.190 |
| Oithona nana | 0.518 | 0.491 | 0.482 | 0.486 | 0.073 | −0.009 | −0.536 | −0.322 | 0.136 | −0.391 | −0.046 | 0.127 |
| Oithona copepodids | −0.800** | −0.227 | −0.639* | −0.389 | −0.082 | −0.245 | −0.068 | 0.061 | 0.246 | 0.300 | 0.341 | 0.237 |
| Poecilostomatoida | 0.227 | 0.618* | −0.273 | −0.091 | −0.009 | −0.218 | −0.700* | 0.248 | 0.045 | −0.309 | −0.028 | −0.673* |
| Oncaea media complex | 0.391 | 0.527 | −0.246 | −0.030 | 0.018 | −0.245 | −0.682* | 0.455 | 0.200 | −0.190 | −0.009 | −0.782* |
| Monothula subtilis | −0.507 | −0.912*** | −0.705* | −0.830** | −0.082 | 0.009 | −0.211 | −0.032 | −0.059 | −0.004 | −0.021 | −0.188 |
| Harpacticoida | −0.336 | 0.073 | 0.055 | −0.091 | −0.290 | −0.182 | −0.727* | −0.588 | −0.273 | −0.436 | −0.467 | 0.127 |
| Euterpina acutifrons | −0.400 | 0.063 | −0.018 | −0.067 | −0.327 | −0.209 | −0.691* | −0.530 | −0.254 | −0.445 | −0.505 | 0.S-4 |
| Cladocera | 0.646* | 0.809** | 0.636* | 0.830** | −0.082 | −0.046 | −0.291 | 0.018 | 0.209 | −0.136 | 0.009 | 0.163 |
| Appendicularia | 0.418 | 0.890*** | 0.906*** | 0.707* | 0.155 | 0.300 | 0.114 | 0.085 | −0.173 | −0.618* | −0.202 | 0.061 |
| Thaliacea | 0.344 | 0.724* | 0.544 | 0.320 | 0.160 | 0.284 | −0.188 | −0.086 | 0.354 | −0.248 | 0.180 | 0.708* |
| Chaetognatha | 0.255 | 0.187 | 0.288 | 0.232 | 0.283 | −0.159 | −0.467 | 0.379 | 0.109 | −0.447 | −0.115 | 0.196 |
| Pteropoda | 0.539 | 0.549 | 0.369 | 0.350 | 0.247 | 0.608* | −0.318 | 0.171 | −0.283 | −0.490 | −0.097 | −0.172 |
| Larvae | −0.436 | −0.154 | −0.477 | −0.527 | 0.009 | −0.091 | −0.541 | −0.515 | −0.200 | −0.327 | −0.148 | 0.091 |
Temperature rather than salinity showed a pronounced influence on the metazoan component of the microzooplankton community, evident in a mostly significant positive relationship with adult small copepods and their developmental stages (Table 4).
Correlation coefficients with the average chlorophyll a concentrations were low for all microzooplankton groups (Table 4).
Mesozooplankton
Spearman rank order correlations showed that both cladocerans and appendicularians were effectively controlled by temperature (Table 4). Copepods as a group seemed to be unaffected by the temperature variability, but the response of the individual species was more specific. Ctenocalanus vanus, T. longicornis, M. subtilis and Oithona similis showed a consistently negative relationship with temperature, statistically significant at most stations. Correlation between T. stylifera and temperature was always positive and significant at most stations. Paracalanus parvus, Acartia clausi, Centropages typicus, the O. media complex, O. nana and E. acutifrons were less affected by temperature, evident in low correlation coefficients with this variable. Among other mesozooplankton groups, a significant relationship with temperature was determined only for thaliaceans at S-2 (Table 4).
Both total mesozooplankton and copepods consistently showed a negative relationship with salinity. However, a significant negative relationships with this parameter were determined for Paracalanus parvus and calanoid copepodids, the O. media complex and E. acutifrons only at station S-3, and for calanoid copepodids at S-4. Among the other groups, only pteropods at S-2 showed a significant correlation with salinity (Table 4).
Correlation coefficients with the average chlorophyll a concentrations were low for most of the mesozooplankton groups. Significant relationships with this parameter were occasionally determined for Centropages typicus, calanoid copepodids, the O. media complex, thaliaceans and appendicularians (Table 4).
Between-group analysis
Spearman rank order correlations between main mesozooplankton groups
| Mesozooplankton groups | ||||||
|---|---|---|---|---|---|---|
| Total | COP | CLADO | APP | CHAETO | PTERO | |
| COP | ||||||
| S-1 | 0.846*** | |||||
| S-2 | 0.900** | |||||
| S-3 | 0.980*** | |||||
| S-4 | 0.806** | |||||
| CLADO | ||||||
| S-1 | 0.554 | 0.355 | ||||
| S-2 | 0.700** | 0.418 | ||||
| S-3 | 0.427 | 0.351 | ||||
| S-4 | 0.346 | −0.042 | ||||
| APP | ||||||
| S-1 | 0.636* | 0.564 | 0.473 | |||
| S-2 | 0.582 | 0.418 | 0.655* | |||
| S-3 | −0.014 | −0.100 | 0.596 | |||
| S-4 | 0.146 | 0.006 | 0.567 | |||
| CHAETO | ||||||
| S-1 | 0.665* | 0.706* | 0.410* | 0.565 | ||
| S-2 | 0.836** | 0.845** | 0.333 | 0.365 | ||
| S-3 | 0.375 | 0.417 | 0.481 | 0.323 | ||
| S-4 | −0.067 | 0.080 | 0.190 | −0.258 | ||
| PTERO | ||||||
| S-1 | 0.356 | 0.137 | 0.397 | 0.753* | 0.192 | |
| S-2 | 0.430 | 0.105 | 0.609* | 0.645* | 0.257 | |
| S-3 | 0.401 | 0.360 | 0.820** | 0.303 | 0.441 | |
| S-4 | −0.067 | −0.425 | 0.306 | −0.060 | 0.241 | |
| LARVAE | ||||||
| S-1 | 0.272 | 0.200 | −0.436 | 0.318 | 0.177 | 0.132 |
| S-2 | 0.509 | 0.446 | 0.282 | −0.064 | 0.616* | 0.292 |
| S-3 | 0.560 | 0.491 | 0.156 | −0.354 | 0.213 | 0.279 |
| S-4 | 0.418 | 0.394 | −0.224 | −0.396 | −0.184 | −0.455 |
Spearman rank order correlations between copepod groups and microzooplankton abundances
| Copepods/station | Microzooplankton groups | ||||
|---|---|---|---|---|---|
| NLC | TIN | NAUP | JCOP | ACOP | |
| COP | |||||
| S-1 | 0.264 | 0.091 | 0.000 | 0.327 | −0.068 |
| S-2 | 0.773* | 0.146 | 0.637* | 0.200 | 0.114 |
| S-3 | 0.651 | −0.259 | 0.592 | 0.408 | 0.588 |
| S-4 | −0.067 | −0.055 | −0.139 | 0.285 | −0.079 |
| CALANO | |||||
| S−1 | 0.273 | 0.036 | −0.273 | 0.046 | −0.319 |
| S−2 | 0.736* | −0.055 | 0.654* | 0.419 | 0.434 |
| S-3 | 0.446 | −0.509 | 0.173 | 0.223 | 0.183 |
| S-4 | 0.486 | −0.139 | 0.066 | 0.552 | 0.237 |
| CYCLO | |||||
| S-1 | 0.469 | −0.163 | 0.155 | 0.145 | −0.351 |
| S-2 | 0.627* | −0.027 | 0.191 | 0.005 | −0.370 |
| S-3 | 0.064 | −0.209 | 0.427 | 0.181 | 0.082 |
| S-4 | −0.006 | −0.188 | −0.576 | −0.842** | −0.869** |
| POECILO | |||||
| S-1 | 0.009 | −0.045 | 0.127 | 0.536 | 0.269 |
| S-2 | 0.518 | 0.200 | 0.736* | 0.405 | 0.443 |
| S-3 | 0.609* | 0.018 | 0.700* | 0.582 | 0.795 |
| S-4 | −0.450 | 0.636* | 0.176 | 0.381 | 0.364 |
| HARPAC | |||||
| S-1 | −0.310 | 0.063 | 0.009 | 0.090 | 0.059 |
| S-2 | 0.136 | 0.355 | 0.382 | −0.196 | −0.064 |
| S−3 | 0.273 | −0.246 | 0.418 | −0.023 | 0.287 |
| S-4 | −0.608 | 0.297 | −0.224 | 0.297 | 0.213 |
Similarity percentages analysis (SIMPER)
Three copepod taxa ranked among the top five, regardless of the season: the O. media complex, O. nana and E. acutifrons. However, their position in this group varied, as the consequence of some variability in their abundances. The O. media complex always ranked first, with the exception of the winter period when E. acutifrons peaked. Oithona nana exhibited a significant peak in summer.
Cross comparisons of the copepod community during different seasons revealed further differences in seasonal copepod population structure. Acartia clausi was characteristic of the spring–summer community, Centropages krøyeri characterized the summer, T. stylifera the summer–autumn, and Clausocalanus furcatus the autumn community. Temora longicornis was a characteristic part of the winter–spring, and M. subtilis and Ctenocalanus vanus of the winter assemblage. Paracalanus parvus contributed less to the dissimilarities among seasons, since it was almost perennial at the inner stations.
Principal components analysis (PCA)
Ordering of investigated stations with respect to zooplankton structure and abundance obtained by the principal component analysis (PCA)
Discussion
Due to the relatively low degree of urbanization and industrialization of the surrounding coasts, the anthropogenic influence on the nutrient dynamics in the Neretva Channel is limited. Maximum nitrate and silicate concentrations were recorded in spring, coinciding with reduced salinity at the surface and indicating that this nutrient enrichment came from the Neretva river discharge. The exception was noted in April 1999 when high nitrate and silicate surface content coincided with the relatively high surface salinity at outer stations S-1 and S-2 (36.60 and 37.30, respectively). However, vertical salinity changes in the 0–5 m layer during the investigated period suggested that the halocline is often positioned just below the surface, and it is thus possible that the freshwater influenced thin layer was not properly registered by the probe. The higher input of land-derived nitrogen was regulated by the quick spring phytoplankton uptake and further increase in nitrate concentration was evident only at station S-1, where the influence of Neretva river was most pronounced. Furthermore, circulation pattern in the Channel and the strong compensatory inflow of the open sea waters also affect nitrogen distribution, preventing a strong accumulation (Vukadin 1981).
The critical orthophosphate concentration separating between more and less productive Adriatic waters is 0.2 μmol PO 4 3− l−1 (Viličić 1989). Throughout the study area it was significantly lower, designating orthophosphate as the limiting nutrient. Similar N/P stoichiometry is often determined in the coastal waters of the Adriatic Sea (Viličić and Stojanoski 1987). During the phytoplankton peaks chlorophyll a values were much lower compared to those recorded inside the Mali Ston Bay, where up to 6.73 μg chl a l−1 was recorded during the bloom (Viličić et al. 1998).
In the absence of strong anthropogenic impacts, seasonality and population structure of the coastal zooplankton are largely determined by the physical environmental variables. Average abundances of the ciliate dominated protozoan assemblage in the study area were low compared to highly productive Adriatic bays (Revelante and Gilmartin 1983; Bojanić 2001; Bojanić et al. 2005), showing more similarity to those recorded in the mesotrophic channel areas (Bojanić 2002). Non-loricate ciliates (NLC) seemed to be regulated by salinity, rather than temperature. A similar relationship was recorded in the Kaštela Bay (Bojanić 2001). However, there are indications that the inverse relationship between NLC and salinity might be the indirect consequence of the NLC vertical distribution, since they often prefer near surface layers where food is plentiful (Bojanić et al. 2006). There was no evident influence of either temperature or salinity on total tintinnids, indicating that it might be inferred only at the species level. According to Kršinić (1980) salinity exerts a determining influence on the geographical distribution of tintinnid species along the eastern Adriatic coast, while temperature greatly impacts their seasonal succession.
Seasonal dynamics of metazoans was mostly governed by temperature, especially in the case of copepods and their developmental stages that regulated the fluctuations of mesozooplankton and metazoan microzooplankton, respectively. A similar relationship was determined for the majority of other mesozooplankton groups. For cladocerans and appendicularians a temperature-related seasonality has been frequently documented (Fonda-Umani 1980; Lučić and Onofri 1990; Isari et al. 2006). The only monospecific outburst in the Channel waters was the appearance of the cladoceran Penilia avirostris (>4000 ind. m−3), greatly contributing to distinct summer mesozooplankton maxima at all stations in both 1998 and 1999. Similar abrupt increases of its population have been observed in other Adriatic and Mediterranean coastal areas, relating to the species’ temperature-dependant reproductive cycle (Siokou-Frangou 1996; Lipej et al. 1997; Vidjak et al. 2006).
Species succession in the copepod community was also regulated by temperature, and its fluctuations resulted in the appearance of either cryophilic (Ctenocalanus vanus, M. subtilis) or thermophilic (T. stylifera) species. However, it did not limit the presence of the most abundant small taxa such as the O. media complex, O. nana and E. acutifrons or Paracalanus parvus which was almost perennial at the inner stations.
Our results of the copepod seasonality are in general accordance with some earlier studies: Acartia clausi is a part of the typical summer association in the Gulf of Trieste (Cataletto et al. 1995; Mozetič et al. 2002), Kaštela Bay (Regner 1992), Gulf of Naples (Mazzocchi and Ribera d’Alcalá 1995) and Balearic Sea (Fernández de Puelles et al. 2003); Oncaea spp. belong to the autumn–winter assemblage in the Gulf of Trieste (Cataletto et al. 1995); T. stylifera characterizes the summer–autumn (Siokou-Frangou 1996), and Ctenocalanus vanus belongs to the winter community in the eastern Mediterranean (Siokou-Frangou et al. 1998).
The influence of salinity on copepod population was less clear. At the inner stations, Spearman correlations suggested a strong favourable influence of reduced salinity on copepod abundances, but this should be interpreted with caution. Throughout the investigated area lowest salinity values were recorded in the upper 5 m, while deeper layers showed less oscillations and higher values. Although our sampling technique did not provide data on mesozooplankton vertical distribution, earlier investigation inside the Mali Ston Bay demonstrated significant aggregation of calanoid copepodids, T. longicornis, O. nana, O. media and E. acutifrons in deeper layers (Lučić and Kršinić 1998), where they remained unaffected by the reduced surface salinity. Moreover, among estuarine neritic copepods which might benefit from their adaptation to a wider salinity range only Acartia clausi exhibited a significant negative relationship with salinity, while the appearance and abundance of T. longicornis were regulated by temperature.
Apart from the physical variables of the environment, the zooplankton community is strongly influenced by food supply. Although phytoplankton is considered as the most important food item for a number of zooplankters (Kleppel 1993), chlorophyll a concentrations were poorly correlated with zooplankton groups in our study. Nevertheless, distinctly reversed patterns in seasonal fluctuations of calanoid abundances and chlorophyll a concentrations suggested that the grazing pressure by calanoids affects the phytoplankton biomass and that periods of low calanoid abundance can relieve that pressure thus contributing to higher phytoplankton biomass. Lawrence et al. (2004) suggested that the availability of nitrogen may indirectly control calanoid population via phytoplankton standing crop, but that an uncoupling of the calanoid abundance from nitrogen loading may occur if calanoids consume a food source that does not vary according to the nitrogen load. The same is presumably true for other omnivorous copepods. The winter mesozooplankton maxima in February 1999 at the inner stations were mainly due to copepods and bivalve larvae. The low phytoplankton biomass could hardly have supported the high calanoid and poecilostomatoid abundances (>4000 ind. m−3 each) and the intensive filter-feeding from bivalve larvae. Their food requirements at that time could be met by relatively high abundances of ciliates, since there was a significant correlation between various copepod orders and ciliated protozoans. Moreover, our data showed that both NLC and small poecilostomatoids in that period preferred bottom waters, where they could interact as predator and prey. Kršinić (1987) revealed a positive correlation between tintinnids and copepod nauplii in the Mali Ston Bay winter community. The role of ciliates in the diet of bivalve molluscs in this area has also been recognized (Kršinić and Mušin 1981; Njire et al. 2004).
Although the freshwater inflow and nutrient input into the Channel waters may influence the timing and magnitude of annual phytoplankton maxima, they did not similarly affect zooplankton community structure and abundance. High densities and dominance of omnivorous copepods regardless of the season indicated the existence of the complex food web in which herbivory is just one of the possible paths. Although the zooplankton assemblage was dominated by the neritic species, strong circulation and the compensatory inflow of the highly saline offshore waters in the bottom layer during the autumn–winter period promotes the presence of the open water zooplankton, such as small oncaeids and ostracods which are important elements of the south Adriatic winter zooplankton community (Rudenjak-Lukenda 1990; Kršinić 1998; Brautović et al. 2006). Highest values of the Shannon diversity index for the copepod community were also recorded in the colder part of the investigated period.
The differences in total micro and mesozooplankton abundances among stations were not significant, but a slight increasing trend towards the inner stations was noticed for both zooplankton size categories. The result of the PCA analysis also suggested a differentiation in the area with respect to zooplankton assemblage, thus warranting the grouping to inner and outer stations used in our paper. Due to the elongated and narrow form of the Channel, the influence of the surrounding coasts inevitably increases towards its end, culminating inside the Mali Ston Bay where high concentrations of organic and inorganic suspended particles provide favourable conditions for commercial bivalve farming (Viličić et al. 1994).
Notes
Acknowledgments
This study was supported by the Ministry of Science, Education and Sports of the Republic of Croatia, as a part of the research program “Role of plankton communities in the energy and matter flow in the Adriatic Sea” (001-0013077-0845). We are indebted to Prof. Dr. Frano Kršinić (Institute of Oceanography and Fisheries Split) for help and support during the study. Thanks are also due to crew and technicians on the R/V “Bios” for their assistance during the cruises. The comments of the anonymous referees are greatly appreciated.
References
- Bahun S (1981) Review of hydrogeological relations of the Maloston Bay. In: Roglić J, Meštrov M (eds) Proceedings of the symposium on Mali Ston Bay. Dubrovnik, 12–24th November 1981. Yugoslav Academy of Sciences and Arts, Zagreb, pp 22–26Google Scholar
- Bojanić N (2001) Seasonal distribution of the ciliated protozoa in the Kaštela Bay. J Mar Biol Ass UK 81:383–390CrossRefGoogle Scholar
- Bojanić N (2002) Ecology of protozoa and micrometazoa in the Kaštela Bay. PhD thesis, Univ. Zagreb, CroatiaGoogle Scholar
- Bojanić N, Šolić M, Krstulović N, Šestanović S, Marasović I, Ninčević Ž (2005) Temporal variability in abundance and biomass of ciliates and copepods in the eutrophicated part of the Kaštela Bay (Middle Adriatic Sea). Helgol Mar Res 59:107–120CrossRefGoogle Scholar
- Bojanić N, Šolić M, Krstulović N, Šestanović S, Ninčević Gladan Ž, Marasović I, Brautović I (2006) The role of ciliates within microbial food web in the eutrophicated part of Kaštela Bay (Middle Adriatic Sea). Sci Mar 70:431–442Google Scholar
- Böttger-Schnack R, Huys R (2001) Taxonomy of Oncaeidae (Copepoda, Poecilostomatoida) from the Red Sea. III. Morphology and phylogenetic position of Oncaea subtilis Giesbrecht, 1892. Hydrobiologia 453/454:467–481CrossRefGoogle Scholar
- Böttger-Schnack R, Hagen W, Schnack-Schiel SB (2001) The microcopepod fauna in the Gulf of Aqaba, northern Red Sea: species diversity and distribution of Oncaeidae (Poecilostomatoida). J Plankton Res 23:1029–1035CrossRefGoogle Scholar
- Böttger-Schnack R, Lentz J, Weikert H (2004) Are taxonomic details of relevance to ecologists? An example from oncaeid microcopepods of the Red Sea. Mar Biol 144:1127–1140CrossRefGoogle Scholar
- Brautović I, Bojanić N, Batistić M, Carić M (2006) Annual variability of planktonic ostracods (Crustacea) in the South Adriatic Sea. Mar Ecol 27:124–132CrossRefGoogle Scholar
- Caddy JF, Bakun A (1995) Marine catchment basins and anthropogenic effects on coastal fishery ecosystems. In: Effects of riverine inputs on coastal ecosystems and fisheries resources. FAO Fisheries Department Technical Papers 349. FAO, RomeGoogle Scholar
- Cataletto B, Feoli E, Fonda-Umani S, Cheng-Yong S (1995) Eleven years of time-series on net zooplankton community in the Gulf of Trieste. ICES J Mar Sci 52:669–678CrossRefGoogle Scholar
- Clarke KR, Gorley RN (2001) PRIMER v5: user manual/tutorial. PRIMER-E: PlymouthGoogle Scholar
- Fernández de Puelles M, Gras D, Hernandez-Leon S (2003) Annual cycle of zooplankton biomass, abundance and species composition in the neritic area of the Balearic Sea, western Mediterranean. PSZN Mar Ecol 24:123–139CrossRefGoogle Scholar
- Fonda-Umani S (1980) Adriatic cladocerans: a critical review. Nova Thalassia 4:107–133Google Scholar
- Fonda-Umani S, Beran A (2003) Seasonal variations in the dynamics of microbial plankton communities: first estimates from experiments in the Gulf of Trieste, Northern Adriatic Sea. Mar Ecol Progr Ser 247:1–16CrossRefGoogle Scholar
- Gismervik I, Andersen T (1997) Prey switching by Acartia clausi: experimental evidence and implications of intraguild predation assessed by a model. Mar Ecol Progr Ser 157:247–259CrossRefGoogle Scholar
- Grasshof K (1976) Methods of seawater analysis. Verlag Chemie, Weinhein, pp 307Google Scholar
- Isari S, Ramfos A, Somarakis S, Koutsikopoulos C, Kallianiotis A, Frangopoulu N (2006) Mesozooplankton distribution in relation to hydrology of the Northeastern Aegean Sea, eastern Mediterranean. J Plankton Res 28:241–255CrossRefGoogle Scholar
- Kleppel GS (1993) On the diets of calanoid copepods. Mar Ecol Progr Ser 99: 183–195CrossRefGoogle Scholar
- Kršinić F (1980) Qualitative and quantitative investigations of the tintinnides along the eastern coast of the Adriatic. Acta Adriat 21:19–104 (in Croatian)Google Scholar
- Kršinić F (1987) On the ecology of tintinnines in the Bay of Mali Ston (eastern Adriatic). Estuar Coast Shelf Sci 24:401–418CrossRefGoogle Scholar
- Kršinić F (1998) Vertical distribution of protozoan and microcopepod communities in the South Adriatic Pit. J Plankton Res 20:1033–1060CrossRefGoogle Scholar
- Kršinić F, Mušin D (1981) Microzooplankton of Mali Ston Bay and Malo more. In: Roglić J, Meštrov M (eds) Proceedings of the symposium on Mali Ston Bay. Dubrovnik, Croatia, 12–24th November 1981. Yugoslav Academy of Sciences and Arts, Zagreb, pp 108–119Google Scholar
- Lawrence D, Valiela I, Tomasky G (2004) Estuarine copepod abundance in relation to season, salinity and land-derived nitrogen loading, Waquoit Bay, MA. Estuar Coast Shelf Sci 61:547–557CrossRefGoogle Scholar
- Lipej L, Mozetič P, Turk V, Malej A (1997) The trophic role of the marine cladoceran Penilia avirostris in the Gulf of Trieste. Hydrobiologia 360:197–203CrossRefGoogle Scholar
- Lučić D, Kršinić F (1998) Annual variability of mesozooplankton assemblages in Mali Ston Bay (Southern Adriatic). Period Biol 100:43–52Google Scholar
- Lučić D, Onofri V (1990) Seasonal variation of neritic mesozooplankton in Mali Ston Bay (Southern Adriatic). Acta Adriat 31:117–137Google Scholar
- Matić F (2005) Air-sea interaction in Split, Brač and Neretva Channel. MSc thesis, Univ. Zagreb, CroatiaGoogle Scholar
- Mazzocchi MG, Ribera d’Alcalá M (1995) Recurrent patterns in zooplankton structure and succession in a variable coastal environment. ICES J Mar Sci 52:679–691CrossRefGoogle Scholar
- Mozetič P, Fonda-Umani S, Kamburska L (2002) Plankton variability in the Gulf of Trieste (Northern Adriatic). Arch Oceanogr Limnol 23:7–19Google Scholar
- Nakamura Y, Turner JT (1997) Predation and respiration by the small cyclopoid copepod Oithona similis: how important is feeding on ciliates and heterotrophic flagellates? J Plankton Res 19:1275–1288CrossRefGoogle Scholar
- Njire J, Bolotin J, Lučić D (2004) Importance of ciliated protozoa to the culture of the mussel Mytilus galloprovincialis L. in the Bay of Mali Ston, Croatia. Rapp Comm Int Mer Médit 37:410Google Scholar
- Raicich F (1994) Note on flow rates of the Adriatic rivers. Istituto Talasografico Sperimentale Trieste, Technical Report, RF02/94Google Scholar
- Regner D (1992) Eutrophication effects on the copepods in the Adriatic Sea. Fresenius Environ Bull 1:161–165Google Scholar
- Revelante N, Gilmartin N (1983) Microzooplankton distribution in the Northern Adriatic Sea with emphasis on the relative abundance of ciliated protozoans. Oceanol Acta 6:407–415Google Scholar
- Rudenjak-Lukenda M (1990) Annual vertical distribution of microzooplankton in the Bay of Mali Ston, Southern Adriatic (1983–1984). Acta Adriat 31:99–116Google Scholar
- Siokou-Frangou I (1996) Zooplankton annual cycle in a Mediterranean coastal area. J Plankton Res 18:203–223CrossRefGoogle Scholar
- Siokou-Frangou I, Papathanassiou E, Lepretre A, Frontier S (1998) Zooplankton assemblages and influence of environmental parameters on them in a Mediterranean coastal area. J Plankton Res 29:847–870CrossRefGoogle Scholar
- Strickland JDH, Parsons TR (1972) A practical handbook of seawater analysis. Bull Fish Res Bd Can 167:1–310Google Scholar
- Utermöhl H (1958) Zur Vervollkommung der quantitativen Phytoplankton-Methodik. Mitt Int Ver Theor Angew Limnol 9:1–38Google Scholar
- Tičina V, Katavić I, Dadić V, Marasović I, Kršinić F, Grbec B, Kušpilić G, Cetinić P, Ninčević Gladan Ž, Matić Skoko S, Franičević M, Soldo A, Vidjak O, Emrić Tičina V, Bojanić D, Marinov S, Matić F (2006) Acoustic estimates of small pelagic fish stocks in the eastern part of Adriatic Sea: September 2003. Biol Mar Medit 13(3):124–136Google Scholar
- Vidjak O, Bojanić N, Kušpilić G, Marasović I, Ninčević Gladan Ž, Brautović I (2006) Annual variability and trophic relations of the mesozooplankton community in the eutrophicated coastal area (Vranjic Basin, eastern Adriatic Sea). J Mar Biol Ass UK 86:19–26CrossRefGoogle Scholar
- Viličić D (1981) Phytoplankton of Mali Ston Bay and Malo more. In: Roglić J, Meštrov M (eds) Proceedings of the symposium on Mali Ston Bay. Dubrovnik, Croatia, 12–24th November 1981. Yugoslav Academy of Sciences and Arts, Zagreb, pp 77–88Google Scholar
- Viličić D (1989) Phytoplankton population density and volume as indicators of eutrophication in the eastern part of the Adriatic Sea. Hydrobiologia 174:117–132Google Scholar
- Viličić D, Stojanoski L (1987) Phytoplankton response to concentration of nutrients in the central and southern Adriatic Sea. Acta Adriat 28:73–84Google Scholar
- Viličić D, Mušin D, Jasprica N (1994) Interrelations between hydrographic conditions, nanoplankton and bivalve larvae in the Mali Ston Bay (Southern Adriatic). Acta Adriat 34:55–64Google Scholar
- Viličić D, Jasprica N, Carić M, Burić Z (1998) Taxonomic composition and seasonal distribution of microphytoplankton in Mali Ston Bay (eastern Adriatic). Acta Bot Croat 57:29–48Google Scholar
- Vučak Z, Gačić M, Dadić V (1981) Characteristics of the current field in Mali Ston Bay. In: Roglić J, Meštrov M (eds) Proceedings of the symposium on Mali Ston Bay. Dubrovnik, Croatia, 12–24th November 1981. Yugoslav Academy of Sciences and Arts, Zagreb, pp 41–51Google Scholar
- Vukadin I (1981) Hydrographic properties of Mali Ston Bay and the adjacent sea. In: Roglić J, Meštrov M (eds) Proceedings of the symposium on Mali Ston Bay. Dubrovnik, Croatia, 12–24th November 1981. Yugoslav Academy of Sciences and Arts, Zagreb, pp 52–65Google Scholar
- Zore-Armanda M, Grbec B, Morović M (1999) Oceanographic properties of the Adriatic Sea—a point of view. Acta Adriat 40(Suppl):39–54Google Scholar









