Abstract
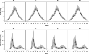
The objective of this paper is to analyse the impacts of climate change on a pine forest stand in Central Siberia (Zotino) to assess benefits and risks for such forests in the future. We use the regional statistical climate model STARS to develop a set of climate change scenarios assuming a temperature increase by mid-century of 1, 2, 3 and 4 K. The process-based forest growth model 4C is applied to a 200-year-old pine forest to analyse impacts on carbon and water balance as well as the risk of fire under these climate change scenarios. The climate scenarios indicate precipitation increases mainly during winter and decreases during summer with increasing temperature trend. They cause rising forest productivity up to about 20 % in spite of increasing respiration losses. At the same time, the water-use efficiency increases slightly from 2.0 g C l−1 H2O under current climate to 2.1 g C l−1 H2O under 4 K scenario indicating that higher water losses from increasing evapotranspiration do not appear to lead to water limitations for the productivity at this site. The simulated actual evaporation increases by up to 32 %, but the climatic water balance decreases by up to 20 % with increasing temperature trend. In contrast, the risk of fire indicated by the Nesterov index clearly increases. Our analysis confirms increasing productivity of the boreal pine stand but also highlights increasing drought stress and risks from abiotic disturbances which could cancel out productivity gains.
This is a preview of subscription content, access via your institution.



References
Beer C, Lucht W, Schmullius C, Shvidenko A (2006) Small net carbon dioxide uptake by Russian forests during 1981–1999. Geophys Res Lett 33:1–4. doi:10.1029/2006GL026919
Bird MI, Santruckova H, Arneth A, Grigoriev S, Gleixner G, Kalaschnikov YN, Lloyd J, Schulze ED (2002) Soil carbon inventories and carbon-13 on a latitude transect in Siberia. Tellus Ser B Chem Phys Meteorol 54:631–641. doi:10.1034/j.1600-0889.2002.01334.x
Boisvenue C, Running SW (2006) Impacts of climate change on natural forest productivity—evidence since the middle of the 20th century. Glob Change Biol 12:862–882. doi:10.1111/j.1365-2486.2006.01134.x
Challinor A, Martre P, Asseng S, Thornton P, Ewert F (2014) Making the most of climate impacts ensembles. Nat Clim Chang 4:77–80. doi:10.1038/nclimate2117
Churkina G, Trusilova K, Vetter M, Dentener F (2007) Contributions of nitrogen deposition and forest regrowth to terrestrial carbon uptake. Carbon Balance Manage 2:5. doi:10.1186/1750-0680-2-5
Collins M, Knutti R, Arblaster J, Dufresne J-L, Fichefet T, Friedlingstein P, Gao X, Gutowski WJ, Johns T, Krinner G, Shongwe M, Tebaldi C, Weaver AJ, Wehner M (2013) Climate change 2013: long-term climate change: projections, commitments and irreversibility. In: Stocker TF, Qin D, Plattner G-K, Tignor M, Allen SK, Boschung J, Nauels A, Xia Y, Bex V, Midgley PM (eds) The physical science basis. Contribution of working group I to the fifth assessment report of the intergovernmental panel on climate change. Cambridge University Press, Cambridge, pp 1029–1136. doi:10.1017/CBO9781107415324.024
Conard SG, Sukhinin AI, Stocks BJ, Cahoon DR, Davidenko EP, Ivanova GA (2002) Determining effects of area burned and fire severity on carbon cycling and emissions in Siberia. Clim Change 55:197–211. doi:10.1023/A:1020207710195
FAO (2012) The Russian Federation Forest Sector Outlook Study to 2030. FAO. http://www.fao.org/docrep/016/i3020e/i3020e00.pdf. Accessed 30 Sep 2014
Ge ZM, Kellomäki S, Peltola H, Zhou X, Vaisanen H, Strandman H (2013) Impacts of climate change on primary production and carbon sequestration of boreal Norway spruce forests: Finland as a model. Clim Change 118:259–273. doi:10.1007/s10584-012-0607-1
Ge ZM, Kellomäki S, Zhou X, Peltola H (2014) The role of climatic variability in controlling carbon and water budgets in a boreal Scots pine forest during ten growing seasons. Boreal Environ Res 19:181–194
Groisman PY, Blyakharchuk TA, Chernokulsky AV, Arzhanov MA, Belelli-Marchesini L, Bogdanova EG, Borzenkova II, Bulygina ON, Karpenko AA, Karpenko LV, Knight RW, Khon VC, Korovin GN, Meshcherskaya AV, Mokhov II, Parfenova EI, Razuvaev VN, Speranskaya NA, Tchebakova NM, Vygodskaya NN (2013) Climate changes in Siberia. In: Groisman PY, Gutman G (eds) Regional environmental changes in Siberiacand their global consequences. Springer, Dordrecht, pp 57–109. doi:10.1007/978-94-007-4569-8_3
Gustafson EJ, Shvidenko AZ, Sturtevant BR, Scheller RM (2010) Predicting global change effects on forest biomass and composition in south-central Siberia. Ecol Appl 20:700–715. doi:10.1890/08-1693.1
Gutsch M, Lasch-Born P, Suckow F, Reyer C (2015) Modeling of two different water uptake approaches for mono- and mixed-species forest stands. Forests 6:2125–2147. doi:10.3390/f6062125
Haxeltine A, Prentice IC (1996) A general model for the light-use efficiency of primary production. Funct Ecol 10:551–561. doi:10.2307/2390165
Hendl M (1991) Globale Klimaklassifikation. In: Hupfer P (ed) Das Klimasystem der Erde. AkademieVerlag, Berlin, pp 218–266
Ichii K, Kondo M, Okabe Y, Ueyama M, Kobayashi H, Lee SJ, Saigusa N, Zhu ZC, Myneni RB (2013) Recent changes in terrestrial gross primary productivity in Asia from 1982 to 2011. Remote Sens 5:6043–6062. doi:10.3390/rs5116043
IPCC (2007) Climate change 2007: the physical science basis. Contribution of working group I to the fourth assessment. In: Solomon S, Qin D, Manning M, Chen Z, Marquis M, Averyt KB, Tignor M, Miller HL (eds) Report of the intergovernmental panel on climate change. Cambridge University Press, Cambridge, p 996
Isaev AS, Korovin GN (2013) Forests as a national treasure of Russia. Contemp Probl Ecol 6:677–682. doi:10.1134/S1995425513070056
Jarvis P, Linder S (2000) Botany—constraints to growth of boreal forests. Nature 405:904–905. doi:10.1038/35016154
Kattsov V, Govokova V, Meleshko V, Pavlova T, Shkolnik I (2008) Climate change projections and impacts in Russian Federation and Central Asia States. Geophysical Observatory, Russia. http://neacc.meteoinfo.ru/research/20-research/91-change-climat21-eng?tmpl=component&print=1&layout=default&page. Accessed 23 April 2014
Keenan TF, Hollinger DY, Bohrer G, Dragoni D, Munger JW, Schmid HP, Richardson AD (2013) Increase in forest water-use efficiency as atmospheric carbon dioxide concentrations rise. Nature 499:324–328. doi:10.1038/nature12291
Kelliher FM, Lloyd J, Arneth A, Byers JN, McSeveny TM, Milukova I, Grigoriev S, Panfyorov M, Sogatchev A, Varlargin A, Ziegler W, Bauer G, Schulze ED (1998) Evaporation from a central Siberian pine forest. J Hydrol 205:279–296. doi:10.1016/S0022-1694(98)00082-1
Körner C, Asshoff R, Bignucolo O, Hattenschwiler S, Keel SG, Pelaez-Riedl S, Pepin S, Siegwolf RTW, Zotz G (2005) Carbon flux and growth in mature deciduous forest trees exposed to elevated CO2. Science 309:1360–1362. doi:10.1126/science.1113977
Kotani A, Kononov AV, Ohta T, Maximov TC (2014) Temporal variations in the linkage between the net ecosystem exchange of water vapour and CO2 over boreal forests in eastern Siberia. Ecohydrology 7:209–225. doi:10.1002/eco.1449
Lasch P, Badeck FW, Suckow F, Lindner M, Mohr P (2005) Model-based analysis of management alternatives at stand and regional level in Brandenburg (Germany). For Ecol Manage 207:59–74. doi:10.1016/j.foreco.2004.10.034
Lenton TM, Held H, Kriegler E, Hall JW, Lucht W, Rahmstorf S, Schellnhuber HJ (2008) Tipping elements in the Earth’s climate system. Proc Natl Acad Sci USA 105:1786–1793. doi:10.1073/pnas.0705414105
Lloyd J, Shibistova O, Zolotoukhine D, Kolle O, Arneth A, Wirth C, Styles JM, Tchebakova NM, Schulze ED (2002) Seasonal and annual variations in the photosynthetic productivity and carbon balance of a central Siberian pine forest. Tellus Ser B Chem Phys Meteorol 54:590–610. doi:10.1034/j.1600-0889.2002.01487.x
Lloyd AH, Bunn AG, Berner L (2011) A latitudinal gradient in tree growth response to climate warming in the Siberian taiga. Glob Change Biol 17:1935–1945. doi:10.1111/j.1365-2486.2010.02360.x
Lucht W, Schaphoff S, Erbrecht T, Heyder U, Cramer W (2006) Terrestrial vegetation redistribution and carbon balance under climate change. Carbon Balance Manage 1:1–7. doi:10.1186/1750-0680-1-6
Lutz J, Gerstengarbe F-W (2015) Improving seasonal matching in the STARS model by adaptation of the resampling technique. Theor Appl Climatol 120:751–760. doi:10.1007/s00704-014-1205-0
Mokhov II, Chernokulsky AV, Shkolnik IM (2006) Regional model assessments of fire risks under global climate changes. Dokl Earth Sci 411:1485–1488. doi:10.1134/S1028334X06090340
Myneni RB, Dong J, Tucker CJ, Kaufmann RK, Kauppi PE, Liski J, Zhou L, Alexeyev V, Hughes MK (2001) A large carbon sink in the woody biomass of Northern forests. Proc Natl Acad Sci USA 98:14784–14789. doi:10.1073/pnas.261555198
Norby RJ, Warren JM, Iversen CM, Medlyn BE, McMurtrie RE (2010) CO2 enhancement of forest productivity constrained by limited nitrogen availability. Proc Natl Acad Sci USA 107:19368–19373. doi:10.1073/pnas.1006463107
Orlowsky B, Gerstengarbe FW, Werner PC (2008) A resampling scheme for regional climate simulations and its performance compared to a dynamical RCM. Theor Appl Climatol 92:209–223. doi:10.1007/s00704-007-0352-y
Ozturk T, Altinsoy H, Türkes M, Kurnaz ML (2012) Simulation of temperature and precipitation climatology for the Central Asia CORDEX domain using RegCM 4.0. Clim Res 52:63–76. doi:10.3354/cr01082
Rawlins MA, McGuire AD, Kimball JS, Dass P, Lawrence D, Burke E, Chen X, Delire C, Koven C, MacDougall A, Peng S, Rinke A, Saito K, Zhang W, Alkama R, Bohn TJ, Ciais P, Decharme B, Gouttevin I, Hajima T, Ji D, Krinner G, Lettenmaier DP, Miller P, Moore JC, Smith B, Sueyoshi T (2015) Assessment of model estimates of land-atmosphere CO2 exchange across Northern Eurasia. Biogeosciences 12:4385–4405. doi:10.5194/bg-12-4385-2015
Reay DS, Dentener F, Smith P, Grace J, Feely RA (2008) Global nitrogen deposition and carbon sinks. Nat Geosci 1:430–437. doi:10.1038/ngeo230
Reyer C, Lasch-Born P, Suckow F, Gutsch M, Murawski A, Pilz T (2014) Projections of regional changes in forest net primary productivity for different tree species in Europe driven by climate change and carbon dioxide. Ann For Sci 71:211–225. doi:10.1007/s13595-013-0306-8
Schaphoff S, Reyer C, Schepaschenko D, Gerten D, Shvidenko A (2015) Tamm review: observed and projected climate change impacts on Russia’s forests and its carbon balance. For Ecol Manage. doi:10.1016/j.foreco.2015.11.043
Schulze ED (2006) Biological control of the terrestrial carbon sink. Biogeosciences 3:147–166. doi:10.5194/bg-3-147-2006
Schulze E-D, Lloyd J, Kelliher FM, Wirth C, Rebmann C, Luhker B, Mund M, Knohl A, Milyukova IM, Schulze W, Ziegler W, Varlagin AB, Sogachev AF, Valentini R, Dore S, Grigoriev S, Kolle O, Panfyorov MI, Tchebakova N, Vygodskaya NN (1999) Productivity of forests in the Eurosiberian boreal region and their potential to act as a carbon sink—a synthesis. Glob Change Biol 5:703–722. doi:10.1046/j.1365-2486.1999.00266.x
Schulze ED, Vygodskaya NN, Tchebakova NM, Czimczik CI, Kozlov DN, Lloyd J, Mollicone D, Parfenova E, Sidorov KN, Varlagin AV, Wirth C (2002) The Eurosiberian transect: an introduction to the experimental region. Tellus Ser B Chem Phys Meteorol 54:421–428. doi:10.1034/j.1600-0889.2002.01342.x
Shiklomanov AI, Lammers RB, Lettenmaier DP, Polischuk YM, Savichev OG, Smith LC, Chernokulsky AV (2013) Hydrological changes: historical analysis, contemporary status, and future projections. In: Groisman PY, Gutman G (eds) Regional environmental changes in Siberia and their global consequences. Springer, Dordrecht, pp 111–154. doi:10.1007/978-94-007-4569-8_4
Shishov V, Vaganov EA (2010) Dendroclimatological evidence of climate changes across Siberia. In: Baltzer H (ed) Environmental change in Siberia. Earth observation, field studies and modeling, vol 40. Springer, Dordrecht, pp 101–114. doi:10.1007/978-90-481-8641-9_7
Shvidenko A, Nilsson S (2003) A synthesis of the impact of Russian forests on the global carbon budget for 1961-1998. Tellus Ser B Chem Phys Meteorol 55:391–415. doi:10.1034/j.1600-0889.2003.00046.x
Shvidenko AZ, Schepaschenko DG (2013) Climate change and wildfires in Russia. Contemp Probl Ecol 6:683–692. doi:10.1134/S199542551307010X
Shvidenko AZ, Schepaschenko DG, Vaganov EA, Sukhinin AI, Maksyutov SS, McCallum I, Lakyda IP (2011) Impact of wildfire in Russia between 1998–2010 on ecosystems and the global carbon budget. Dokl Earth Sci 441:1678–1682. doi:10.1134/S1028334X11120075
Soja AJ, Tchebakova NM, French NHF, Flannigan MD, Shugart HH, Stocks BJ, Sukhinin AI, Parfenova EI, Chapin Iii FS, Stackhouse JPW (2007) Climate-induced boreal forest change: predictions versus current observations. Global Planet Change 56:274–296. doi:10.1016/j.gloplacha.2006.07.028
Taylor KE, Stouffer RJ, Meehl GA (2012) An overview of CMIP5 and the experiment design. Bull Am Meteorol Soc 93:485–498. doi:10.1175/BAMS-D-11-00094.1
Tchebakova NM, Parfenova EI (2012) The 21(st) century climate change effects on the forests and primary conifers in central Siberia. Bosque 33:253–259. doi:10.4067/s0717-92002012000300004
Tchebakova NM, Kolle O, Zolotoukhine D, Arneth A, Styles JM, Vygodskaya NN, Schulze ED, Shibistova O, Lloyd J (2002) Inter-annual and seasonal variations of energy and water vapour fluxes above a Pinus sylvestris forest in the Siberian middle taiga. Tellus Ser B Chem Phys Meteorol 54:537–551. doi:10.1034/j.1600-0889.2002.01337.x
Tchebakova NM, Parfenova EI, Soja AJ (2011) Climate change and climate-induced hot spots in forest shifts in central Siberia from observed data. Reg Environ Chang 11:817–827. doi:10.1007/s10113-011-0210-4
Vaganov EA, Vedrova EF, Verkhovets SV, Efremov SP, Efremova TT, Kruglov VB, Onuchin AA, Sukhinin AI, Shibistova OB (2008) Forests and swamps of Siberia in the global carbon cycle. Contemp Probl Ecol 1:168–182. doi:10.1134/s1995425508020021
Valentini R, Dore S, Marchi G, Mollicone D, Panfyorov M, Rebmann C, Kolle O, Schulze ED (2000) Carbon and water exchanges of two contrasting central Siberia landscape types: regenerating forest and bog. Funct Ecol 14:87–96. doi:10.1046/j.1365-2435.2000.00396.x
Vedrova EF, Shugalei LS, Stakanov VD (2002) The carbon balance in natural and disturbed forests of the southern taiga in central Siberia. J Veg Sci 13:341–350. doi:10.1111/j.1654-1103.2002.tb02058.x
Werner PC, Gerstengarbe F-W, Österle H, Wodinski M (2011) Recent global warming induced climate changes. In: Carayannis EG (ed) Planet Earth 2011–global warming challenges and opportunities for policy and practice. InTech, pp 27–56. doi:10.5772/24503
Westphal M (2008) Summary of the climate science in Europe and Central Asia region: historical trends and future projections. http://www.worldbank.org/eca/climate/ECA_CCA_Full_Report.pdf. Accessed 16 April 2014
Wirth C, Schulze ED, Kusznetova V, Milyukova I, Hardes G, Siry M, Schulze B, Vygodskaya NN (2002a) Comparing the influence of site quality, stand age, fire and climate on aboveground tree production in Siberian Scots pine forests. Tree Physiol 22:537–552. doi:10.1093/treephys/22.8.537
Wirth C, Schulze ED, Luhker B, Grigoriev S, Siry M, Hardes G, Ziegler W, Backor M, Bauer G, Vygodskaya NN (2002b) Fire and site type effects on the long-term carbon and nitrogen balance in pristine Siberian Scots pine forests. Plant Soil 242:41–63. doi:10.1023/A:1020813505203
Acknowledgments
This study was based on data available in the European Fluxes Database Cluster (http://gaia.agraria.unitus.it/home) for the Zotino site. We are grateful to the responsible community for allowing the use of these data. Collection of these data was funded by TCOS Siberia (EU-FP5).
Author information
Affiliations
Corresponding author
Additional information
Editor: James D. Ford.
Electronic supplementary material
Below is the link to the electronic supplementary material.
Rights and permissions
About this article
Cite this article
Suckow, F., Lasch-Born, P., Gerstengarbe, FW. et al. Climate change impacts on a pine stand in Central Siberia. Reg Environ Change 16, 1671–1683 (2016). https://doi.org/10.1007/s10113-015-0915-x
Received:
Accepted:
Published:
Issue Date:
Keywords
- Climate scenarios
- STARS
- 4C
- Forest productivity
- Forest risks