Abstract
Main conclusion
Nuclear Factor-Y transcription factors, which function in regulating seed development (including storage reservoir accumulation) and responding to abiotic stresses, were identified and characterized in castor bean.
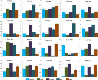
Nuclear Factor-Y (NF-Y) transcription factors in plants contain three subunits (NF-YA, NF-YB and NF-YC), and function as a heterodimer or heterotrimer complex in regulating plant growth, development and response to stresses. Castor bean (Ricinus communis, Euphorbiaceae) one of the most economically important non-edible oilseed crops, able to grow in diverse soil conditions and displays high tolerance to abiotic stresses. Due to increasing demands for its seed oils, it is necessary to elucidate the molecular mechanism underlying the regulation of growth and development. Based on the available genome data, we identified 25 RcNF-Y members including six RcNF-YAs, 12 RcNF-YBs and seven RcNF-YCs, and characterized their gene structures. Yeast two-hybrid assays confirmed the protein–protein interactions among three subunits. Using transcriptomic data from different tissues, we found that six members were highly or specifically expressed in endosperms (in particular, two LEC1-type members RcNF-YB2 and RcNF-YB12), implying their involvement in regulating seed development and storage reservoir accumulation. Further, we investigated the expression changes of RcNF-Y members in two-week-old seedlings under drought, cold, hot and salt stresses. We found that the expression levels of 20 RcNF-Y members tested were changed and three RcNF-Y members might function in response to abiotic stresses. This study is the first reported on genomic characterization of NF-Y transcription factors in the family Euphorbiaceae. Our results provide the basis for improved understanding of how NF-Y genes function in the regulation of seed development and responses to abiotic stresses in both castor bean and other plants in this family.
This is a preview of subscription content, log in to check access.






Abbreviations
- NF-Y:
-
Nuclear Factor-F
- Rc :
-
Ricinus communis
- LEC1 :
-
Leafy Cotyledon 1
- CDS:
-
Coding sequence
- Y2H:
-
Yeast two hybrid
References
Akpan U, Jimoh A, Mohammed A (2006) Extraction, characterization and modification of castor seed oil. Leonardo J Sci 8:43–52
Ballif J, Endo S, Kotani M, Macadam J, Wu Y (2011) Over-expression of HAP3b enhances primary root elongation in Arabidopsis. Plant Physiol Biochem 49:579–583. https://doi.org/10.1016/j.plaphy.2011.01.013
Baud S, Kelemen Z, Thévenin J, Boulard C, Blanchet S, To A et al (2016) Deciphering the molecular mechanisms underpinning the transcriptional control of gene expression by master transcriptional regulators in Arabidopsis seed. Plant Physiol 171:1099–1112. https://doi.org/10.1104/pp.16.00034
Ben-Naim O, Eshed R, Parnis A, Teper-Bamnolker P, Shalit A, Coupland G, Samach A, Lifschitz E (2006) The CCAAT binding factor can mediate interactions between CONSTANS-like proteins and DNA. Plant J 46:462–476
Brown AP, Kroon JT, Swarbreck D, Febrer M, Larson TR, Graham IA, Caccamo M, Slabas AR (2012) Tissue-specific whole transcriptome sequencing in castor, directed at understanding triacylglycerol lipid biosynthetic pathways. PLoS One 7(2):e30100. https://doi.org/10.1371/journal.pone.0030100
Cagliari A, Turchetto-Zolet AC, Korbes AP, dos Santos Maraschin F, Margis R, Margis-Pinheiro M (2014) New insights on the evolution of Leafy cotyledon1 (LEC1) type genes in vascular plants. Genomics 103:380–387. https://doi.org/10.1016/j.ygeno.2014.03.005
Calvenzani V, Testoni B, Gusmaroli G, Lorenzo M, Gnesutta N, Petroni K, Mantovani R, Tonelli C (2012) Interactions and CCAAT-binding of Arabidopsis thaliana NF-Y subunits. PLoS One 7(8):e42902. https://doi.org/10.1371/journal.pone.0042902
Cao S, Kumimoto RW, Siriwardana CL, Risinger JR, Holt BF III (2011) Identification and characterization of NF-Y transcription factor families in the monocot model plant Brachypodium distachyon. PLoS One 6(6):e21805. https://doi.org/10.1371/journal.pone.0021805
Chan AP, Crabtree J, Zhao Q, Lorenzi H, Orvis J, Puiu D et al (2010) Draft genome sequence of the oilseed species Ricinus communis. Nat Biotechnol 28(9):951–956. https://doi.org/10.1038/nbt.1674
De Silvio A, Imbriano C, Mantovani R (1999) Dissection of the NF-Y transcriptional activation potential. Nucleic Acids Res 27(13):2578–2584
Feng Z-J, He G-H, Zheng W-J, Lu P-P, Chen M, Gong Y-M, Ma Y-Z, Xu Z-S (2015) Foxtail millet NF-Y families: genome-wide survey and evolution analyses identified two functional genes important in abiotic stresses. Front Plant Sci 6:1142. https://doi.org/10.3389/fpls.2015.01142
Gietz RD, Schiest RH (2007) Large-scale high-efficiency yeast transformation using the LiAc/SS carrier DNA/PEG method. Nat Protoc 2(1):38–41
Gusmaroli G, Tonelli C, Mantovani R (2001) Regulation of the CCAAT-binding NF-Y subunits in Arabidopsis thaliana. Gene 264:173–185
Hackenberg D, Keetman U, Grimm B (2012a) Homologous NF-YC2 subunit from Arabidopsis and tobacco is activated by photooxidative stress and induces flowering. Int J Mol Sci 13:3458–3477. https://doi.org/10.3390/ijms13033458
Hackenberg D, Wu Y, Voigt A, Adams R, Schramm P, Grimm B (2012b) Studies on differential nuclear translocation mechanism and assembly of the three subunits of the Arabidopsis thaliana transcription factor NF-Y. Mol Plant 5:876–888. https://doi.org/10.1093/mp/ssr107
Hu B, Jin J, Guo AY, Zhang H, Luo J, Gao G (2015) GSDS 2.0: an upgraded gene feature visualization server. Bioinformatics 31(8):1296–1297. https://doi.org/10.1093/bioinformatics/btu817
Huang M, Hu Y, Liu X, Li Y, Hou X (2015) Arabidopsis LEAFY COTYLEDON1 mediates postembryonic development via interacting with PHYTOCHROME-INTERACTING FACTOR4. Plant Cell 27:3099–3111. https://doi.org/10.1105/tpc.15.00750
Junker A, Bäumlein H (2012) Multifunctionality of the LEC1 transcription factor during plant development. Plant Signal Behav 7(12):1718–1720. https://doi.org/10.4161/psb.22365
Kumar S, Stecher G, Tamura K (2016) MEGA7: molecular evolutionary genetics analysis version 7.0 for bigger datasets. Mol Biol Evol 33(7):1870–1874
Kwong RW, Bui AQ, Lee H, Kwong LW, Fischer RL, Goldberg RB, Harada JJ (2003) LEAFY COTYLEDON1-LIKE defines a class of regulators essential for embryo development. Plant Cell 15(1):5–18
Laloum T, De Mita S, Gamas P, Baudin M, Niebel A (2013) CCAAT-box binding transcription factors in plants: Y so many? Trends Plant Sci 18(3):157–166. https://doi.org/10.1016/j.tplants.2012.07.004
Larkin MA, Blackshields G, Brown NP, Chenna R, McGettigan PA, McWilliam H, Valentin F, Wallace IM, Wilm A, Lopez R, Thompson JD, Gibson TJ, Higgins DG (2007) Clustal W and clustal X version 2.0. Bioinformatics 23(21):2947–2948
Lee H, Fischer RL, Goldberg RB, Harada JJ (2003) Arabidopsis LEAFY COTYLEDON1 represents a functionally specialized subunit of the CCAAT binding transcription factor. Proc Natl Acad Sci USA 100(4):2152–2156
Lee DK, Kim HI, Jang G, Chung PJ, Jeong JS, Kim YS, Bang SW, Jung H, Choi YD, Kim JK (2015) The NF-YA transcription factor OsNF-YA7 confers drought stress tolerance of rice in an abscisic acid independent manner. Plant Sci 241:199–210. https://doi.org/10.1016/j.plantsci.2015.10.006
Li W, Oono Y, Zhu J, He X, Wu J, Iida K, Lu XY, Cui X, Jin H, Zhu JK (2008) The Arabidopsis NF-YA5 transcription factor is regulated transcriptionally and posttranscriptionally to promote drought resistance. Plant Cell 20:2238–2251. https://doi.org/10.1105/tpc.108.059444
Li S, Li K, Ju Z, Cao D, Fu D, Zhu H, Zhu B, Luo Y (2016) Genome-wide analysis of tomato NF-Y factors and their role in fruit ripening. BMC Genom 17:36. https://doi.org/10.1186/s12864-015-2334-2
Liang M, Yin X, Lin Z, Zheng Q, Liu G, Zhao G (2014) Identification and characterization of NF-Y transcription factor families in canola (Brassica napus L.). Planta 239:107–126. https://doi.org/10.1007/s00425-013-1964-3
Liu X, Hu P, Huang M, Tang Y, Li Y, Li L, Hou X (2016) The NF-YC-RGL2 module integrates GA and ABA signalling to regulate seed germination in Arabidopsis. Nat Commun 7:12768. https://doi.org/10.1038/ncomms12768
Lotan T, Ohto M, Yee KM, West MAL, Lo R, Kwong RW, Yamagishi K, Fischer RL, Goldberg RB, Harada JJ (1998) Arabidopsis LEAFY COTYLEDON1 is sufficient to induce embryo development in vegetative cells. Cell 93:1195–1205
McNabb DS, Pinto I (2005) Assembly of the Hap2p/Hap3p/Hap4p/Hap5p-DNA complex in Saccharomyces cerevisiae. Eukaryot Cell 4:1829–1839
Meinke DW, Franzmann LH, Nickle TC, Yeung EC (1994) Leafy cotyledon mutants of Arabidopsis. Plant Cell 6:1049–1064
Mendes A, Kelly AA, van Erp H, Shaw E, Powers SJ, Kurup S, Eastmond PJ (2013) bZIP67 regulates the omega-3 fatty acid content of Arabidopsis seed oil by activating FATTY ACID DESATURASE3. Plant Cell 25:3104–3116. https://doi.org/10.1105/tpc.113.116343
Mu J, Tan H, Zheng Q, Fu F, Liang Y, Zhang J, Yang X, Wang T, Chong K, Wang XJ, Zuo J (2008) LEAFY COTYLEDON1 is a key regulator of fatty acid biosynthesis in Arabidopsis. Plant Physiol 148:1042–1054. https://doi.org/10.1104/pp.108.126342
Mu J, Tan H, Hong S, Liang Y, Zuo J (2013) Arabidopsis transcription factor genes NF-YA1, 5, 6, and 9 play redundant roles in male gametogenesis, embryogenesis, and seed development. Mol Plant 6(1):188–201. https://doi.org/10.1093/mp/sss061
Myers ZA, Kumimoto RW, Siriwardana CL, Gayler KK, Risinger JR, Pezzetta D, Holt BF III (2016) NUCLEAR FACTOR Y, subunit C (NF-YC) transcription factors are positive regulators of photomorphogenesis in Arabidopsis thaliana. PLoS Gene 12(9):e1006333. https://doi.org/10.1371/journal.pgen.1006333
Nelson DE, Repetti PP, Adams TR, Creelman RA, Wu J, Warner DC et al (2007) Plant nuclear factor Y (NF-Y) B subunits confer drought tolerance and lead to improved corn yields on water-limited acres. Proc Natl Acad Sci USA 104(42):16450–16455
Ni Z, Hu Z, Jiang Q, Zhang H (2013) GmNFYA3, a target gene of miR169, is a positive regulator of plant tolerance to drought stress. Plant Mol Biol 82:113–129. https://doi.org/10.1007/s11103-013-0040-5
Ogunniyi DS (2006) Castor oil: a vital industrial raw material. Bioresour Technol 97(9):1086–1091
Petroni K, Kumimoto RW, Gnesutta N, Calvenzani V, Fornari M, Tonelli C, Holt BF III, Mantovani R (2012) The promiscuous life of plant NUCLEAR FACTOR Y transcription factors. Plant Cell 24:4777–4792. https://doi.org/10.1105/tpc.112.105734
Qiu L, Yang C, Tian B, Yang JB, Liu A (2010) Exploiting EST databases for the development and characterization of EST-SSR markers in castor bean (Ricinus communis L.). BMC Plant Biol 10:278. https://doi.org/10.1186/1471-2229-10-278
Quach TN, Nguyen HTM, Valliyodan B, Joshi T, Xu D, Nguyen HT (2015) Genome-wide expression analysis of soybean NF-Y genes reveals potential function in development and drought response. Mol Genet Genomics 290:1095–1115. https://doi.org/10.1007/s00438-014-0978-2
Ren C, Zhang Z, Wang Y, Li S, Liang Z (2016) Genome-wide identification and characterization of the NF-Y gene family in grape (Vitis vinifera L.). BMC Genom 17:605. https://doi.org/10.1186/s12864-016-2989-3
Rípodas C, Castaingts M, Clúa J, Blanco F, Zanetti ME (2015) Annotation, phylogeny and expression analysis of the nuclear factor Y gene families in common bean (Phaseolus vulgaris). Front Plant Sci 5:761. https://doi.org/10.3389/fpls.2014.00761
Sato H, Mizoi J, Tanaka H, Maruyama K, Qin F, Osakabe Y, Morimoto K, Ohori T, Kusakabe K, Nagata M, Shinozaki K, Yamaguchi-Shinozaki K (2014) Arabidopsis DPB3-1, a DREB2A interactor, specifically enhances heat stress-induced gene expression by forming a heat stress-specific transcriptional complex with NF-Y subunits. Plant Cell 26:4954–4973. https://doi.org/10.1105/tpc.114.132928
Scholza V, da Silva JN (2008) Prospects and risks of the use of castor oil as a fuel. Biomass Bioenerg 32:95–100
Shen B, Allen WB, Zheng P, Li C, Glassman K, Ranch J, Nubel D, Tarczynski MC (2010) Expression of ZmLEC1 and ZmWRI1 increases seed oil production in maize. Plant Physiol 153:980–987. https://doi.org/10.1104/pp.110.157537
Siefers N, Dang KK, Kumimoto RW, Bynum WE IV, Tayrose G, Holt BF III (2009) Tissue-specific expression patterns of Arabidopsis NF-Y transcription factors suggest potential for extensive combinatorial complexity. Plant Physiol 149:625–641. https://doi.org/10.1104/pp.108.130591
Sinha S, Maity SN, Lu J, de Crombrugghe B (1995) Recombinant rat CBF-C, the third subunit of CBF/NFY, allows formation of a protein-DNA complex with CBF-A and CBF-B and with yeast HAP2 and HAP3. Proc Natl Acad Sci USA 92:1624–1628
Sorin C, Declerck M, Christ A, Blein T, Ma L, Lelandais-Brière C, Njo MF, Beeckman T, Crespi M, Hartmann C (2014) A miR169 isoform regulates specific NF-YA targets and root architecture in Arabidopsis. New Phytol 202:1197–1211
Steidl S, Tüncher A, Goda H, Guder C, Papadopoulou N, Kobayashi T, Tsukagoshi N, Kato M, Brakhage AA (2004) A single subunit of a heterotrimeric CCAAT-binding complex carries a nuclear localization signal: piggyback transport of the pre-assembled complex to the nucleus. J Mol Biol 342:515–524
Swain S, Myers ZA, Siriwardana CL, Holt BF III (2016) The multifaceted roles of NUCLEAR FACTOR-Y in Arabidopsis thaliana development and stress responses. Biochim Biophys Acta. https://doi.org/10.1016/j.bbagrm.2016.10.012
Tan H, Yang X, Zhang F, Zheng X, Qu C, Mu J, Fu F, Li J, Guan R, Zhang H, Wang G, Zuo J (2011) Enhanced seed oil production in canola by conditional expression of Brassica napus LEAFY COTYLEDON1 and LEC1-LIKE in developing seeds. Plant Physiol 156:1577–1588. https://doi.org/10.1104/pp.111.175000
Thirumurugan T, Ito Y, Kubo T, Serizawa A, Kurata N (2008) Identification, characterization and interaction of HAP family genes in rice. Mol Genet Genomics 279(3):279–289. https://doi.org/10.1007/s00438-007-0312-3
Thön M, Al Abdallah Q, Hortschansky P, Scharf DH, Eisendle M, Haas H, Brakhage AA (2010) The CCAAT-binding complex coordinates the oxidative stress response in eukaryotes. Nucleic Acids Res 38:1098–1113
West MAL, Yee KM, Danao J, Zimmerman JL, Fischer RL, Goldberg RB, Harada JJ (1994) LEAFY COTYLEDONl is an essential regulator of late embryogenesis and cotyledon identity in Arabidopsis. Plant Cell 6:1731–1745
Xu W, Li F, Ling L, Liu A (2013) Genome-wide survey and expression profiles of the AP2/ERF family in castor bean (Ricinus communis L.). BMC Genom 14:785. https://doi.org/10.1186/1471-2164-14-785
Xu W, Chen Z, Ahmed N, Han B, Cui Q, Liu A (2016) Genome-wide identification, evolutionary analysis, and stress responses of the GRAS gene family in castor beans. Int J Mol Sci 17:1004. https://doi.org/10.3390/ijms17071004
Yamamoto A, Kagaya Y, Toyoshima R, Kagaya M, Takeda S, Hattori T (2009) Arabidopsis NF-YB subunits LEC1 and LEC1-LIKE activate transcription by interacting with seed-specific ABRE-binding factors. Plant J 58:843–856. https://doi.org/10.1111/j.1365-313X.2009.03817.x
Yeap WC, Lee FC, Shabari Shan DK, Musa H, Appleton DR, Kulaveerasingam H (2017) WRI1-1, ABI5, NF-YA3 and NF-YC2 increase oil biosynthesis in coordination with hormonal signaling during fruit development in oil palm. Plant J 91:97–113. https://doi.org/10.1111/tpj.13549
Zhang F, Han M, Lv Q, Bao F, He Y (2015a) Identification and expression profile analysis of NUCLEAR FACTOR-Y families in Physcomitrella patens. Front Plant Sci 6:642. https://doi.org/10.3389/fpls.2015.00642
Zhang T, Zhang D, Liu Y, Luo C, Zhou Y, Zhang L (2015b) Overexpression of a NF-YB3 transcription factor from Picea wilsonii confers tolerance to salinity and drought stress in transformed Arabidopsis thaliana. Plant Physiol Biochem 94:153–164. https://doi.org/10.1016/j.plaphy.2015.05.001
Zhang Z, Li X, Zhang C, Zou H, Wu Z (2016) Isolation, structural analysis, and expression characteristics of the maize nuclear factor Y gene families. Biochem Biophys Res Commun 478:752–758. https://doi.org/10.1016/j.bbrc.2016.08.020
Zhao H, Wu D, Kong F, Lin K, Zhang H, Li G (2017) The Arabidopsis thaliana nuclear factor Y transcription factors. Front Plant Sci 7:2045. https://doi.org/10.3389/fpls.2016.02045
Acknowledgements
This work was supported by Chinese National Key Technology R & D Program (2015BAD15B02), National Natural Science Foundation of China (31661143002, 31501034 and 31401421) and Yunnan Applied Basic Research Projects (2016FB060, 2016FA011).
Author information
Ethics declarations
Conflict of interest
The authors declare no conflict of interest.
Electronic supplementary material
Below is the link to the electronic supplementary material.
Rights and permissions
About this article
Cite this article
Wang, Y., Xu, W., Chen, Z. et al. Gene structure, expression pattern and interaction of Nuclear Factor-Y family in castor bean (Ricinus communis). Planta 247, 559–572 (2018). https://doi.org/10.1007/s00425-017-2809-2
Received:
Accepted:
Published:
Issue Date:
Keywords
- Abiotic stress
- Castor bean
- Expression profiles
- NF-Y transcription factor
- Protein interaction