Identification and testing of reference genes for Sesame gene expression analysis by quantitative real-time PCR
- 2.2k Downloads
- 31 Citations
Abstract
Sesame (Sesamum indicum L.) is an ancient and important oilseed crop. However, few sesame reference genes have been selected for quantitative real-time PCR until now. Screening and validating reference genes is a requisite for gene expression normalization in sesame functional genomics research. In this study, ten candidate reference genes, i.e., SiACT, SiUBQ6, SiTUB, Si18S rRNA, SiEF1α, SiCYP, SiHistone, SiDNAJ, SiAPT and SiGAPDH, were chosen and examined systematically in 32 sesame samples. Three qRT-PCR analysis methods, i.e., geNorm, NormFinder and BestKeeper, were evaluated systematically. Results indicated that all ten candidate reference genes could be used as reference genes in sesame. SiUBQ6 and SiAPT were the optimal reference genes for sesame plant development; SiTUB was suitable for sesame vegetative tissue development, SiDNAJ for pathogen treatment, SiHistone for abiotic stress, SiUBQ6 for bud development and SiACT for seed germination. As for hormone treatment and seed development, SiHistone, SiCYP, SiDNAJ or SiUBQ6, as well as SiACT, SiDNAJ, SiTUB or SiAPT, could be used as reference gene, respectively. To illustrate the suitability of these reference genes, we analyzed the expression variation of three functional sesame genes of SiSS, SiLEA and SiGH in different organs using the optimal qRT-PCR system for the first time. The stability levels of optimal and worst reference genes screened for seed development, anther sterility and plant development were validated in the qRT-PCR normalization. Our results provided a reference gene application guideline for sesame gene expression characterization using qRT-PCR system.
Keywords
BestKeeper GeNorm NormFinder Quantitative real-time PCR Reference gene Sesame (Sesamum indicum L.)Abbreviations
- ABA
Abscicic acid
- ACT
Actin
- APT
Adenine phosphoribosyl transferase
- Ct
Cycle threshold
- CYP
Cyclophilin
- DNAJ
DNAJ-like protein
- EF1α
Elongation factor 1-alpha
- GAPDH
Glyceraldehyde-3-phosphate dehydrogenase
- GH
Glycosyl hydrolase family protein
- LEA
Late embryogenesis abundant protein
- qRT-PCR
Quantitative real-time polymerase chain reaction
- R
Coefficient of correlation
- SS
Starch synthase
- TUB
Beta-tubulin
- UBQ6
Ubiquitin 6
Introduction
Gene expression analysis is an important and basic step for the systematic understanding of plant biological processes, such as growth and development and biotic and abiotic stress defense pathways. In recent years, quantitative real-time reverse transcriptase PCR (qRT-PCR) has been used as the main analysis technique for quantification and regulating characterization of gene expression. Compared with the traditional method of Northern blot hybridization (Yukawa et al. 1996; Jin et al. 2001; Tai et al. 2002; Chun et al. 2003; Choi et al. 2008; Park et al. 2010), qRT-PCR is an efficient, reliable and sensitive technique for a limited number of target genes (Bustin 2000; Gachon et al. 2004; Hong et al. 2008; Maroufi et al. 2010). To quantify the expression level of a target gene in qRT-PCR, at least one control gene, termed a reference gene, is needed for normalization. Traditional reference genes, such as actin (ACT), ubiquitin 6 (UBQ6), beta-tubulin (TUB), 18S rRNA, elongation factor 1-alpha (EF1α), cyclophilin (CYP), histone, DNAJ-like protein (DNAJ), adenine phosphoribosyl transferase (APT) and glyceraldehyde-3-phosphate dehydrogenase (GAPDH), mostly involving in basic cellular processes, have been widely used as internal controls for gene expression analyses in many crops (Brunner et al. 2004; Nicot et al. 2005; Jain et al. 2006; Jian et al. 2008; Artico et al. 2010; Lee et al. 2010; Qi et al. 2010). While an ideal reference gene would be absolutely valid with a stable expression level in all given tissues and treated conditions (Brunner et al. 2004; Jain et al. 2006), no such universal reference gene has yet been reported. Some studies showed that reference genes did not always keep their stability in any tissues or experimental conditions (Thellin et al. 1999, 2009 Guénin et al. 2009). Selecting several suitable reference genes is necessary for target gene quantification, as the possibility of mismeasures with unvalidated references can be minimized.
Sesame (Sesamum indicum L.), which belongs to the Pedaliaceae family, is an ancient and important oilseed crop with high oil quality (Chung et al. 2003). Sesame seed is consumed as a traditional health food for its specific antihypertensive effect, hypocholesterolemic activity and antioxidative activity (Coulman et al. 2005; Jan et al. 2009, 2010, 2011; Liao et al. 2009; Mochizuki et al. 2010). However, few reference genes have been selected and validated in sesame until now. During a recent expression survey of a few target genes, the sesame elongation factor gene (EF) was used as the sole reference gene in RT-PCR, even though its preliminary validation had never been performed (Kim et al. 2007, 2010). UBQ5, eIF4A and α-tubulin reported as the optimal reference genes for sesame charcoal rot disease resistance research in March, 2012 have not yet validated with specific sesame genes (Liu et al. 2012). Systematic exploration and validation of more stable sesame reference genes is still requisite.
Therefore, the aims of this study were: (1) to acquire the sequences of ten candidate reference genes based on the new sesame dataset (JP631635–JP668414) or relevant sequence information in other crops, (2) to screen and rank optimal sesame reference genes by their expression variation in 32 different sesame tissues under biotic or abiotic stress conditions and (3) to illustrate the application of the chosen reference genes with three test genes in sesame.
Materials and methods
Plant materials
Description of 32 samples for qRT-PCR in Sesamum indicum L.
| Sample no. | Sample type | Growth condition and treatment |
|---|---|---|
| S1 | Root | Seedling with two pairs of leaves, grown in greenhouse, 25 °C, 14 h light per day |
| S2 | Stem | |
| S3 | Leaf | |
| S4 | Root | Flowering stage, grown in greenhouse, 25 °C, 14 h light per day |
| S5 | Stem | |
| S6 | Leaf | |
| S7 | Root | Seedlings with two pairs of leaves inoculated with 1 × 106 L−1 Fusarium oxysporum conidiophore suspension for 5 h, grown in greenhouse, 25 °C, 14 h light per day |
| S8 | Stem | |
| S9 | Leaf | |
| S10 | Root | Seedlings with two pairs of leaves, treated with 200 mM NaCl for 5 h, grown in greenhouse, 25 °C, 14 h light per day |
| S11 | Stem | |
| S12 | Leaf | |
| S13 | Root | Seedlings with two pairs of leaves, treated with 20 % PEG 6000 for 5 h, grown in greenhouse, 25 °C, 14 h light per day |
| S14 | Stem | |
| S15 | Leaf | |
| S16 | Root | Seedlings with two pairs of leaves, treated with 4 °C, for 5 h, grown in greenhouse, 25 °C, 14 h light per day |
| S17 | Stem | |
| S18 | Leaf | |
| S19 | Root | Seedlings with two pairs of leaves, treated with 200 μM ABA for 5 h, grown in greenhouse, 25 °C, 14 h light per day |
| S20 | Stem | |
| S21 | Leaf | |
| S22 | Bud, 2 mm | Developing buds with 2–8 mm sizes, grown in experimental field |
| S23 | Bud, 5 mm | |
| S24 | Bud, 8 mm | |
| S25 | 5DAF seed | Developing seeds 5–35 days after flowering (DAF), grown in experimental field |
| S26 | 15DAF seed | |
| S27 | 25DAF seed | |
| S28 | 35DAF seed | |
| S29 | Seed germinating 1 day | Seeds were surface-sterilized and cultured on filter paper with distilled water in 1–3 days, 25 °C, 14 h light per day |
| S30 | Seed germinating 2 days | |
| S31 | Seed germinating 3 days | |
| S32 | Callus tissue | Induced from cotyledon and cultured on MS medium with 0.1 mg L−1 NAA and 2.0 mg L−1 6-BA and 30 g L−1 sucrose |
For biotic stress treatment, seedlings with two pairs of leaves were inoculated with 1 ml of ×106 conidiophore suspension of Fusarium wilt pathogen (No. HSFO 09030) for 5 h at 25 °C.
For salt and drought stress treatments, seedlings with two pairs of leaves were treated with 200 mM NaCl and 20 % PEG 6000 for 5 h. For cold treatment, the seedlings were cultured at 4 °C for 5 h.
For hormone treatment, seedlings were sprayed with 200 μM abscisic acid (ABA) and were cultured for 5 h.
To verify the expression pattern of the chosen reference genes, ms86-1, a genic male sterile (GMS) line, was cultured in the field and the fertile (plump, white) and sterile (thin, green) anthers were collected under two stages (bud size <4 and >4 mm).
All the collected samples were immersed in liquid nitrogen and stored individually at −70 °C for RNA extraction.
RNA isolation and cDNA preparation
Total RNA was isolated using the TRIzol reagent (Invitrogen) according to the manufacturer’s instructions. RNA samples were assessed with OD 260/280 > 2.0 and OD 260/230 > 1.8. Equal amounts of total RNA (2 μg) in all samples were treated with gDNA Eraser to eliminate genomic DNA contamination, and then used for cDNA synthesis using a PrimeScript™ RT Reagent Kit (Perfect Real Time; TaKaRa). Purified cDNA samples were diluted properly with RNase-free water before used as templates in the qRT-PCR process. RNA extraction and cDNA synthesis from all samples were performed with two biological replicates.
Selection of sesame candidate reference genes and functional genes
Description of ten sesame candidate reference genes for qRT-PCR
| Gene name | Gene description | Accession number | Arabidopsis homolog locus | E values | Primer and probe sequence (5′–3′) | T m (°C) | Amplicon size (bp) | PCR efficiency (%) | Correlation coefficient (R 2) |
|---|---|---|---|---|---|---|---|---|---|
| Si18S rRNA | 18S rRNA gene | AJ236041.1 | AT3G41768 | 0 | Forward: AGAAACGGCTACCACATCCA | 57.9 | 251 | 96 | 0.992 |
| Reverse: CCAACCCAAGGTCCAACTAC | 56.8 | ||||||||
| Probe: FAM-AGCAGGCGCGCAAATTACCCAATC-BHQ1 | 69.0 | ||||||||
| SiEF1α | Elongation factor 1-alpha | JP631636 | AT5G60390.3 | 0 | Forward: AAGCCCCTCCGTCTCCCACT | 63.0 | 135 | 98 | 0.997 |
| Reverse: TTCAGTGGTCAAGCCAGATGG | 60.0 | ||||||||
| Probe: FAM-ATTGGTACTGTCCCCGTTGGTCGTGTG-BHQ1 | 70.0 | ||||||||
| SiACT | Actin 7 | JP631637 | AT5G09810.1 | E−109 | Forward: CTCCCTTTATGCCAGTGGTCGT | 61.5 | 197 | 102 | 0.997 |
| Reverse: GCTCAGCTGTTGTAGTGAAGGA | 58.2 | ||||||||
| Probe: FAM-CTTGATCTTGCTGGCCGTGATCTCACA-BHQ1 | 69.9 | ||||||||
| SiDNAJ | DnaJ protein-like | JP631642 | AT1G28210.2 | 2E−70 | Forward: CAAAATGGTCCGTTCACACTT | 59.9 | 118 | 109 | 0.997 |
| Reverse: CTGTTTTTGTCCCTTTCACCA | 60.0 | ||||||||
| Probe: FAM-TACTTGTCCAAATTGCGGAGGAGCTG-BHQ1 | 69.9 | ||||||||
| SiGAPDH | Glyceraldehyde 3-phosphate dehydrogenase | JP631641 | AT3G04120.1 | E−155 | Forward: GATAAGGCTGCTGCCCACTT | 58.0 | 110 | 98 | 0.998 |
| Reverse: GGCTTGTATTCCTTCTCATTGACA | 58.0 | ||||||||
| Probe: FAM-CTAAGAAGGTCGTCATCTCTGCCCCGA-BHQ1 | 69.0 | ||||||||
| SiCYP | Cyclophilin | JP631639 | AT3G56070.2 | 8E−70 | Forward: ACAGACCAGGCTCAGTATGCTTT | 58.0 | 103 | 113 | 0.997 |
| Reverse: GGTGGAGACTTCACTAAGGGTAATG | 58.0 | ||||||||
| Probe: FAM-TTGCTCCATAAATTGATTCTCCCCCAGTC-BHQ1 | 68.0 | ||||||||
| SiTUB | β-tubulin | JP631640 | AT5G23860.2 | 0 | Forward: TGGTGACCTCAACCACCTCAT | 59.0 | 101 | 105 | 0.996 |
| Reverse: TGACAGCGAGTTTCCTGAGATC | 58.0 | ||||||||
| Probe: FAM-TGTCACATGTTGTCTCCGGTTCCCTG-BHQ1 | 69.0 | ||||||||
| SiAPT | Adenine phosphoribosyl transferase 1 | JP631635 | AT1G27450.2 | E−76 | Forward: TTGCCAATGGACAAAGGGTT | 61.5 | 228 | 101 | 0.997 |
| Reverse: GAGGGTCGGGTCAAGTTAGG | 60.9 | ||||||||
| Probe: FAM-AGCTGAGCTCACAAGAACAAACAGCG-BHQ1 | 69.0 | ||||||||
| SiUBQ6 | Ubiquitin 6 | JP631638 | AT2G47110.2 | 6E−67 | Forward: CACCAAGCCGAAGAAGATCAAG | 60.0 | 100 | 98 | 0.996 |
| Reverse: CCTCAGCCTCTGCACCTTTC | 59.0 | ||||||||
| Probe: FAM-TGAAGCTCGCTGTTCTCCAGTTCTACAAGG-BHQ1 | 69.0 | ||||||||
| SiHistone | Histone H3 | JP631643 | AT5G10980.1 | 3E−41 | Forward: CTTGATCAGGAAGTTGCCTTTTC | 58.0 | 101 | 100 | 1.000 |
| Reverse: CCTGAAGCGCCAACACAGCAT | 59.0 | ||||||||
| Probe: FAM-TTCGCGAAATTGCCCAGGACTTCA-BHQ1 | 69.0 | ||||||||
| SiSS | Starch synthase | JP631789 | AT3G01180.1 | E−157 | Forward: GGTTGAAGCACAGATGGGTA | 58.6 | 159 | 105 | 0.996 |
| Reverse: CCTGAGAAAGCAAGAGGAGTT | 57.8 | ||||||||
| Probe: FAM-TGGATGAGACCACACGGTTCGAATC-BHQ1 | 69.9 | ||||||||
| SiLEA | Late embryogenesis abundant protein | JP656886 | AT3G15670.1 | 3E−31 | Forward: ATGGCTGATGTGGATGAAGA | 59.3 | 106 | 102 | 0.997 |
| Reverse: AAACAAAGAGCAATACGACCC | 58.6 | ||||||||
| Probe: FAM-TGGCCACTAAGAAGATACAGAGGAGATGC-BHQ1 | 68.4 | ||||||||
| SiGH | Glycosyl hydrolase family protein | JP647810 | AT5G20950.2 | 0 | Forward: TTGAGGAAATGGGTGACGAGA | 59.1 | 185 | 101 | 0.990 |
| Reverse: GGAGGCACAGCAAAAGGGA | 59.8 | ||||||||
| Probe: FAM-TGCATGCATCTTCTGTCCGTTCCAA-BHQ1 | 68.3 |
qRT-PCR primer and probe design
qRT-PCR primers for the above thirteen genes were designed using Primer Express 3.0 (ABI) with the melting temperature between 60 and 62 °C and a primer length of 20–26 bp. The length of amplicons ranged from 100 to 251 bp with high polymerization efficiency, which minimized the RNA integrity impact (Fleige and Pfaffl 2006). Meanwhile, specific probes of ten candidate genes with 5′FAM and 3′BHQ1 fluorescence radicals were designed with the melting temperature between 68 and 71 °C, a length of 24–30 bp and about 50 % GC content (Table 2).
qRT-PCR conditions
To assay the gene expression variability in sesame, qRT-PCR was conducted with an Eppendorf Mastercycler ep Realplex 2.2 Detection System. The PCR reaction volume was 30 μL containing 2.0 μL of diluted cDNA, 0.2 μM of each primer, 0.1 μM probe, 1× PCR buffer, 50 μM of each dNTP and 1.0 U Platinum Taq DNA polymerase (Invitrogen). Reaction mixtures were incubated for 2 min at 37 °C, 5 min at 95 °C, followed by 40 amplification cycles of 15 s at 95 °C and 60 s at 60 °C. All samples were amplified in triplicate times. A negative control without cDNA template was also done at the same time. A standard curve for each gene was generated using tenfold serial dilutions of pooled cDNAs (data not shown). The efficiency of the thirteen pairs of primers in qRT-PCR was calculated using LinRegPCR (Ramakers et al. 2003). To determine their amplicon specificity, electrophoresis analysis of the PCR products was also carried out. Expression levels of the 13 genes in all samples were determined by their cycle threshold values (C ts).
Reference gene expression stability determination
Three publicly available software tools, i.e., geNorm (Vandesompele et al. 2002), Normfinder (Andersen et al. 2004) and Bestkeeper (Pfaffl et al. 2004), were used for expression stability determination of the ten genes in sesame.
GeNorm approach
GeNorm software is a Visual Basic Application (VBA) for ranking the interested genes by the expression stability index, M. The least stable gene with the highest M value was ranked on the left, and the most stable on the right. The M value of a reference gene was not more than 1.5, which is the default limit point (Vandesompele et al. 2002). The pairwise variation (Vn/Vn + 1) between the sequential normalization factors (NF; NFn and NFn + 1) was calculated for determining the optimal number of reference genes (Vandesompele et al. 2002).
NormFinder approach
Normfinder software, another VBA applet, was used as a model-based approach for identifying the optimal normalization gene(s) among a set of candidates (Andersen et al. 2004). Genes were ranked according to their stability value.
Bestkeeper approach
BestKeeper, an Excel-based tool, could perform numerous pairwise correlation analyses using raw C t values of each gene and estimate inter-gene relations of possible reference gene pairs. The lowest average expression stability value indicated the most stable level (Pfaffl et al. 2004).
Results
Identification and characterization of sesame candidate reference genes and functional genes
Compared with the sequences of common reference genes usually used in many plants (Brunner et al. 2004; Nicot et al. 2005; Jain et al. 2006; Jian et al. 2008; Lee et al. 2010; Artico et al. 2010; Qi et al. 2010) and the gene information in GenBank (AJ236041) and our sesame RNA-seq transcriptome data (Zhang et al. 2012), 10 sesame housekeeping genes, including SiACT, SiUBQ6, SiTUB, Si18S rRNA, SiEF1α, SiCYP, SiHistone, SiDNAJ, SiAPT and SiGAPDH, were selected as reference gene candidates. The homology levels of ten genes in sesame and Arabidopsis were all high with the E values of <1E−20. SiLEA, SiSS and SiGH, which were denominated by Arabidopsis homologs, were selected as the validation genes for their specificity in sesame plant development process (Table S1). SiLEA and SiSS were predominantly expressed in sesame seed and seedling organs, respectively. SiGH was mainly expressed in sterile anther rather than fertile anther. Sequences for all of thirteen genes were obtained from GenBank and our sesame RNA-seq dataset (http://www.ncbi.nlm.nih.gov/genbank/TSA.html, accession numbers JP631635- JP668414; Table 2). To ensure their specificity, partial fragments of thirteen genes obtained by RT-PCR were resequenced with the Sanger chain termination method. The results indicated that all amplicons had the same nucleotide sequences as the sequence dataset except for SiHistone gene with one nucleotide change (T to G) (data not shown). The qRT-PCR primers and probes of twelve genes were designed by their sequences in the GenBank. As for SiHistone, the mutation site was excluded from the primer and probe sequences for qRT- PCR system design (Table 2).
qRT-PCR specificity and efficiency
To evaluate the amplification specificity and efficiency, electrophoresis was performed for amplicons of the candidate reference genes derived from cDNA and genomic DNA templates in RT-PCR (Fig. S1). All genes generated only single amplicon band from cDNA samples. SiDNAJ, SiACT, SiGAPDH and SiHistone of 10 genes showed the amplification differences in amplicon size or number between with genomic DNA templates and cDNA templates, as their primers might span an intron or different gene copies exist in the genome. These four genes could be used for RNA extraction quality assay.
Before carrying out the qRT-PCR, all of the RNA samples with high quality were verified by the PCR results of SiACT and SiGAPDH genes. There was no genomic DNA contamination in cDNA templates and no amplicons were detected in the negative controls. Neither primer dimers nor unexpected products were found (data not shown). Amplification efficiency ranged from 96 in Si18S rRNA to 113 in SiCYP, and coefficient of determination (R 2) varied from 0.992 to 1.000 (Table 2). The qRT-PCR system was demonstrated to be efficient and specific for sesame target gene amplification.
Expression profiles of ten candidate reference genes
Expression levels of ten candidate reference genes tested in 32 sesame samples. a C t values of ten candidate reference genes with three replicates. b The mean C t values of ten candidate reference genes in all sesame samples. The boxes represent mean C t values. The bars indicate the maximum and minimum values
GeNorm analysis
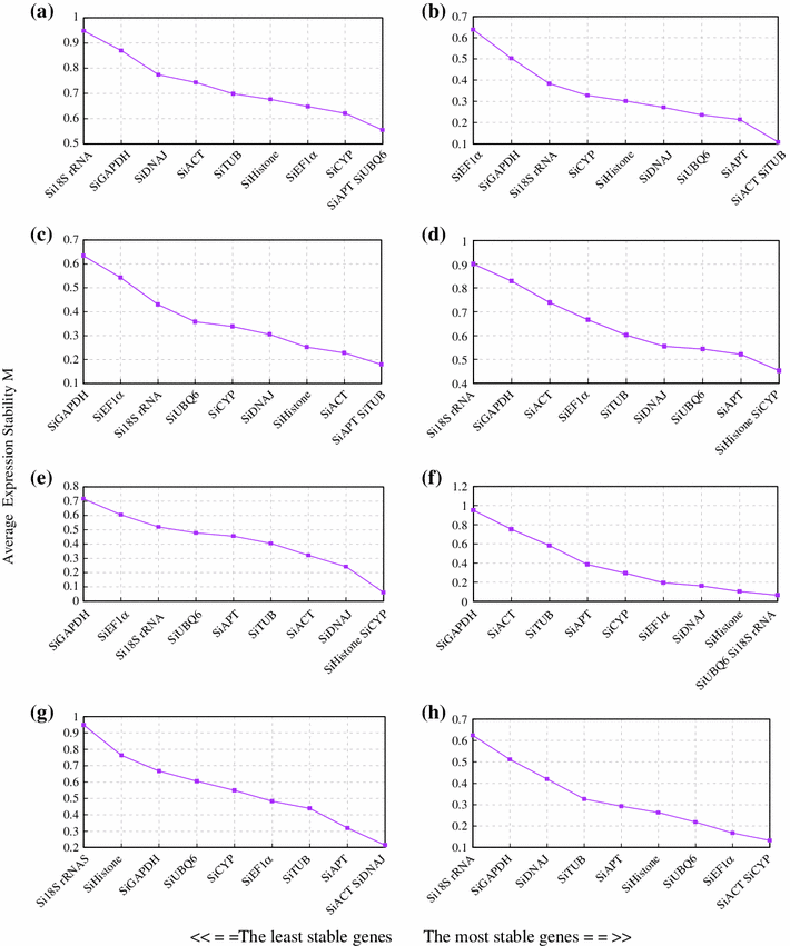
Expression stability values (M) of 10 genes in eight sample groups (a–h) by geNorm software. a All sesame samples (S1–S32), b vegetative tissues in different developing stages (S1–S6), c biotic stress treatment (S7–S9) and normal control (S1–S3), d abiotic stress treatment (S10–S18) and normal control (S1–S3), e ABA treatment (S19–S21) and normal control (S1–S3), f developing buds (S22–S24), g developing seeds (S25–S28), h germinating seeds (S29–S31)
Pairwise variation (V) analysis of 10 sesame candidate reference genes in eight sample groups. Asterisk indicates the optimal number of reference genes for a–h sample groups. a–h Sample groups are the same as in Fig. 2
NormFinder analysis
Expression stability analysis of ten reference genes in eight sample groups by NormFinder
| Rank | a | b | c | d | e | f | g | h | ||||||||
|---|---|---|---|---|---|---|---|---|---|---|---|---|---|---|---|---|
| Gene name | Stability value | Gene name | Stability value | Gene name | Stability value | Gene name | Stability value | Gene name | Stability value | Gene name | Stability value | Gene name | Stability value | Gene name | Stability value | |
| 1 | SiUBQ6 | 0.461 | SiAPT | 0.115 | SiDNAJ | 0.119 | SiDNAJ | 0.111 | SiDNAJ | 0.054 | SiUBQ6 | 0.057 | SiTUB | 0.126 | EF1α | 0.073 |
| 2 | SiEF1α | 0.502 | SiACT | 0.134 | SiEF1α | 0.162 | SiEF1α | 0.159 | SiACT | 0.092 | SiACT | 0.057 | SiDNAJ | 0.145 | SiHistone | 0.097 |
| 3 | SiDNAJ | 0.539 | SiUBQ6 | 0.169 | SiGAPDH | 0.178 | SiUBQ6 | 0.417 | SiEF1α | 0.186 | SiHistone | 0.203 | SiACT | 0.206 | SiACT | 0.111 |
| 4 | SiHistone | 0.547 | SiTUB | 0.207 | SiHistone | 0.205 | SiCYP | 0.533 | SiAPT | 0.348 | SiGAPDH | 0.272 | SiEF1α | 0.467 | SiCYP | 0.210 |
| 5 | SiCYP | 0.561 | SiDNAJ | 0.255 | Si18S rRNA | 0.226 | SiHistone | 0.612 | SiCYP | 0.488 | SiEF1α | 0.521 | SiAPT | 0.473 | SiUBQ6 | 0.217 |
| 6 | SiTUB | 0.607 | SiCYP | 0.410 | SiACT | 0.377 | SiAPT | 0.652 | SiHistone | 0.528 | SiDNAJ | 0.737 | SiGAPDH | 0.581 | SiTUB | 0.255 |
| 7 | SiACT | 0.619 | SiHistone | 0.427 | SiUBQ6 | 0.574 | SiTUB | 0.653 | SiTUB | 0.609 | Si18S rRNA | 0.951 | SiHistone | 0.806 | SiAPT | 0.384 |
| 8 | SiAPT | 0.628 | Si18S rRNA | 0.522 | SiCYP | 0.620 | SiACT | 0.889 | Si18S rRNA | 0.611 | SiAPT | 1.031 | SiCYP | 0.839 | SiGAPDH | 0.784 |
| 9 | SiGAPDH | 1.054 | SiGAPDH | 0.828 | SiTUB | 0.802 | SiGAPDH | 1.074 | SiUBQ6 | 0.624 | SiCYP | 1.295 | SiUBQ6 | 0.919 | SiDNAJ | 0.789 |
| 10 | Si18S rRNA | 1.097 | SiEF1α | 1.114 | SiAPT | 1.170 | Si18S rRNA | 1.109 | SiGAPDH | 1.329 | SiTUB | 1.811 | Si18S rRNA | 1.645 | Si18S rRNA | 1.010 |
BestKeeper analysis
Expression stability analysis of ten reference genes in eight sample groups by BestKeeper. a–h Sample groups were the same as in Fig. 2. SD standard deviation. A lower average expression stability value indicates more stable expression
Testing of sesame reference genes
To illustrate the validation of the above reference genes, as well as investigate the expression levels of sesame functional genes, SiSS (JP631789), SiLEA (JP656886) and SiGH (JP647810) genes with specific temporal or spacial expression characters were chosen from our sesame transcriptome dataset.
Optimal and worst sesame reference genes in eight sample groups by three methods
| Sample groups | Optimal reference gene | Worst reference gene | ||||||
|---|---|---|---|---|---|---|---|---|
| geNorm | Normfinder | BestKeeper | Common gene | geNorm | Normfinder | BestKeeper | Common gene | |
| a | SiAPT, SiUBQ6, SiCYP | SiUBQ6 | SiAPT | SiAPT, SiUBQ6 | Si18S rRNA | Si18S rRNA | SiGAPDH | Si18S rRNA |
| b | SiACT, SiTUB | SiAPT | SiTUB | SiTUB | SiEF1α | SiEF1α | SiGAPDH | SiEF1α |
| c | SiAPT, SiTUB | SiDNAJ | SiDNAJ | SiDNAJ | SiGAPDH | SiAPT | SiGAPDH | SiGAPDH |
| d | SiHistone, SiCYP, SiAPT | SiDNAJ | SiHistone | SiHistone | Si18S rRNA | Si18S rRNA | SiGAPDH | Si18S rRNA |
| e | SiHistone, SiCYP | SiDNAJ | SiUBQ6 | None | SiGAPDH | SiGAPDH | SiGAPDH | SiGAPDH |
| f | SiUBQ6, Si18S rRNA | SiUBQ6 | SiHistone | SiUBQ6 | SiGAPDH | SiTUB | SiGAPDH | SiGAPDH |
| g | SiACT, SiDNAJ | SiTUB | SiAPT | None | Si18S rRNA | Si18S rRNA | Si18S rRNA | Si18S rRNA |
| h | SiACT, SiCYP | SiEF1α | SiACT | SiACT | Si18S rRNA | Si18S rRNA | SiGAPDH | Si18S rRNA |
The expression level of the SiSS in different plant organs. SiUBQ6 (i), SiAPT (ii) and SiCYP (iii) were used as recommended internal controls defined by NormFinder, geNorm and BestKeeper. SiGAPDH (iv) and Si18S RNA (v) were used as the worst internal controls accordingly
The expression level of the SiLEA in different plant organs. SiUBQ6 (i), SiAPT (ii) and SiCYP (iii) were used as recommended internal controls defined by NormFinder, geNorm and BestKeeper. SiGAPDH (iv) and Si18S RNA (v) were used as the worst internal controls accordingly
The expression level of the SiLEA in developing seed (5–35 DAF) organs. SiTUB (i), SiACT (ii), SiAPT (iii) and SiDNAJ (iv) were used as recommended internal controls defined by NormFinder, geNorm and BestKeeper. Si18S RNA (v) was used as the worst internal controls accordingly
The expression level of the SiGH in fertile anthers (FA) and sterile anthers (SA) of different sizes (early anther with 2.1–4.0 mm length; late anther with 4.1–7.0 mm length). SiUBQ6 (i), SiHistone (ii) and Si18S RNA (iii) were used as recommended internal controls defined by NormFinder, geNorm and BestKeeper. SiGAPDH (iv) and SiTUB (v) were used as the worst internal controls accordingly
In conclusion, the optimal sesame reference genes for sesame vegetable and reproductive growth and biotic or abiotic stress conditions were obtained and verified from ten candidate genes. The normalized qRT-PCR system was successfully applicated for the expression pattern analysis of sesame-specific functional genes for the first time.
Discussion
To investigate sesame reference genes, we selected ten sesame house-keeping genes and observed their relatively wide expression variations from below 3 cycles to more than 5 cycles in this study. Results validated that no single gene among these ten reference genes was ideal for gene transcript normalization in each tissue type and under biotic or abiotic stress conditions. Therefore, more reliable reference gene(s) for various specific conditions are necessary for sesame transcriptome research.
Some reports suggested that applying different analysis software would result in different validation results in the same tissue or treatment, due to their distinct statistical algorithms and analytical procedures (Hong et al. 2008; Hu et al. 2009; Wan et al. 2010). Our results also showed that there was no completely consistent reference gene among the eight (a–h) sample groups using three (geNorm, Normfinder and BestKeeper) analysis approaches in this paper. To analyze gene expression pattern, six common stable genes were chosen and listed as the reference gene(s) for the specific tissues or conditions. SiUBQ6 and SiAPT were the optimal reference genes with the most stable expression level during sesame development. SiTUB was suitable for sesame vegetative tissue development analysis, SiDNAJ for pathogen treatment, SiHistone for abiotic stress, SiUBQ6 for bud development and SiACT for seed germination. As for hormone treatment and seed development, SiHistone, SiCYP, SiDNAJ or SiUBQ6, as well as SiACT, SiDNAJ, SiTUB or SiAPT, could be used as reference gene, respectively, as no common reliable reference genes were obtained using the three analysis methods.
During testing the suitability of reference genes, SiSS, SiLEA and SiGH genes with specific temporal or spacial expression characters had been used in this study. SiSS was annotated by Arabidopsis homolog with the E value of E−157. Phylogenetic analysis results showed that SiSS was closest with IbGBSS (Fig. S2). GBSS contributes to the elongation of glucan chains during starch biosynthesis and has been well characterized in starch crops (Dry et al. 1992; Hylton et al. 1996; Nakamura et al. 1998; Vrinten and Nakamura 2000; Sattler et al. 2009). In cereals, GBSS consists of two isoforms (GBSSI or waxy protein and GBSSII) for their different tissue specificity. GBSSI or waxy gene expresses exclusively in storage tissues such as seed endosperm and embryo, while the GBSSII gene is transcripted mainly in non-storage tissues such as leaf, stem, root, and pericarp (Dry et al. 1992; Vrinten and Nakamura 2000; Dian et al. 2003). In addition, other different isoforms of GBSS have also been reported in eudicot species (pea, orange, apple and peach), and have various expression profiles differing in cereals (Denyer et al. 1997; Edwards et al. 2002; Szydlowski et al. 2011; Cheng et al. 2012). While validating the normalized qRT-PCR system, we explored and confirmed the tissue specificity of SiSS gene in sesame. The SiSS gene should belong to GBSS isoform as for its tissue specificity, BLASTX and phylogenetic analysis results.
SiLEA gene, which was annotated as the late embryogenesis abundant protein, showed the seed specificity in RNA-seq expression profiles (Table S1) (Zhang et al. 2012). Phylogenetic analysis indicated that SiLEA had the high homology with GmLEA (Fig. S3). The first LEA gene was characterized in cotton as a set of proteins and highly accumulated in embryos at the maturation phase of seed development (Galau and Dure 1981). To date, many LEA proteins or their genes have been isolated from cotton, barley, wheat, rice and maize (Baker et al. 1988; Curry et al. 1991; Curry and Walker-Simmons 1993; Takahashi et al. 1994; White and Rivin 1995). The gene transcripts are accumulated during late stage seed development and correlated with the seed desiccation stage in other crops (Galau et al. 1987; Hong et al. 1988; Raynal et al. 1989; Hundertmark and Hincha 2008). The seed specificity and expression tendency of SiLEA were observed in sesame qRT-PCR (Fig. 7). It also verified the reliability of the recommended reference genes and qRT-PCR system.
Furthermore, we also used SiGH gene to validate the qRT-PCR system. Belonging to the glycosyl hydrolases family (Fig. S4), GH genes play an important role in many important processes, e.g. fruit ripening, wound and defense responses, pollen maturation and pollen tube growth in plants (Hird et al. 1993; Kang et al. 1994; Duroux et al. 1998; Clément et al. 1999; Moctezuma et al. 2003). Jakobsen et al. (2005) carried out full genome microarray analysis of the wild-type and mia mutant anthers transcriptome using Affymetrix chips in Arabidopsis and found 17 genes in the glycosyl hydrolase family had strongly increased expression levels in mia insertion mutants (Jakobsen et al. 2005). Before this study, we had found that SiGH gene expression level probably correlated with sesame male nucleic sterility. In this study, the male sterility expression profile of SiGH gene was also revealed in male sterile flower buds in the normalized sesame qRT-PCR system, which was consistent with the expression patterns in cabbage and flax genic male sterile lines (Jungen et al. 2006; Bateer et al. 2009). As a result, the expression profile of SiSS, SiLEA and SiGH functional genes was consistent with results of both our previous RNA-seq and other plants.
In a word, the sesame reference genes obtained in this research were extremely reliable in given tissues and conditions. The gene expression analysis system would provide a guideline for sesame gene function research in the future.
Notes
Acknowledgments
This program was financially supported by the China National ‘973’ Project [Grant No. 2011CB109304], the earmarked fund for China Agriculture Research System [Grant No. CARS-15] and the grant of China National Key Technology R&D Program [Grant No. 2009BADA8B04-03].
Supplementary material
References
- Andersen CL, Jensen JL, Ørntoft TF (2004) Normalization of real-time quantitative reverse transcription-PCR data: a model-based variance estimation approach to identify genes suited for normalization, applied to bladder and colon cancer data sets. Cancer Res 64:5245–5250PubMedCrossRefGoogle Scholar
- Artico S, Nardeli SM, Brilhante O, Grossi-de-Sa MF, Alves-Ferreira M (2010) Identification and evaluation of new reference genes in Gossypium hirsutum for accurate normalization of real-time quantitative RT-PCR data. BMC Plant Biol 10:49PubMedCrossRefGoogle Scholar
- Baker J, dennSteele C, Dure L (1988) Sequence and characterization of 6 Lea proteins and their genes from cotton. Plant Mol Biol 11:277–291CrossRefGoogle Scholar
- Bateer S, Qiang L, Hui Z, Agula H, Xiaoyun J, Fengyun G (2009) Study on mRNA differential expression in male sterile and fertile flower buds of dominant genomic male sterile flax and sequence analysis of differential fragments. Biotechnol Bull 8:67–70Google Scholar
- Brunner AM, Yakovlev IA, Strauss SH (2004) Validating internal controls for quantitative plant gene expression studies. BMC Plant Biol 4:14PubMedCrossRefGoogle Scholar
- Bustin SA (2000) Absolute quantification of mRNA using real-time reverse transcription polymerase chain reaction assays. J Mol Endocrinol 25:169–193PubMedCrossRefGoogle Scholar
- Cheng J, Khan MA, Qiu WM, Li J, Zhou H, Zhang Q (2012) Diversification of genes encoding granule-bound starch synthase in monocots and dicots is marked by multiple genome-wide duplication events. PLoS ONE 7:e30088PubMedCrossRefGoogle Scholar
- Choi AM, Lee SB, Cho SH, Hwang I, Hur CG, Suh MC (2008) Isolation and characterization of multiple abundant lipid transfer protein isoforms in developing sesame (Sesamum indicum L.) seeds. Plant Physiol Biochem 46:127–139PubMedCrossRefGoogle Scholar
- Chun JA, Jin UH, Lee JW, Yi YB, Hyung NI, Kang MH (2003) Isolation and characterization of a myo-inositol 1-phosphate synthase cDNA from developing sesame (Sesamum indicum L.) seeds: functional and differential expression, and salt-induced transcription during germination. Planta 216:874–880PubMedGoogle Scholar
- Chung SM, Jung KM, Hur CG, Myung BJ, Park I, Chung CH (2003) Comparative analysis of expressed sequence tags from Sesamum indicum and Arabidopsis thaliana developing seeds. Plant Mol Biol 52:1107–1123PubMedCrossRefGoogle Scholar
- Clément C, Pacini E, Audran JC (1999) Anther and pollen: from biology to biotechnology. Springer, Berlin Heidelberg, pp 183–189CrossRefGoogle Scholar
- Coulman KD, Liu Z, Hum WQ, Michaelides J, Thompson LU (2005) Whole sesame seed is as rich a source of mammalian lignan precursors as whole flaxseed. Nutr Cancer 52:156–165PubMedCrossRefGoogle Scholar
- Curry J, Walker-Simmons M (1993) Unusual sequence of group 3 LEA (II) mRNA inducible by dehydration stress in wheat. Plant Mol Biol 21:907–912PubMedCrossRefGoogle Scholar
- Curry J, Morris CF, Walker-Simmons M (1991) Sequence analysis of a cDNA encoding a group 3 LEA mRNA inducible by ABA or dehydration stress in wheat. Plant Mol Biol 16:1073–1076PubMedCrossRefGoogle Scholar
- Denyer K, Barber L, Edwards E, Smith A, Wang T (1997) Two isoforms of the GBSSI class of granule-bound starch synthase are differentially expressed in the pea plant (Pisum sativum L.). Plant Cell Environ 20:1566–1572CrossRefGoogle Scholar
- Dian W, Jiang H, Chen Q, Liu F, Wu P (2003) Cloning and characterization of the granule-bound starch synthase II gene in rice: gene expression is regulated by the nitrogen level, sugar and circadian rhythm. Planta 218:261–268PubMedCrossRefGoogle Scholar
- Dry I, Smith A, Edwards A, Bhattacharyya M, Dunn P, Martin C (1992) Characterization of cDNAs encoding two isoforms of granule-bound starch synthase which show differential expression in developing storage organs of pea and potato. Plant J 2:193–202PubMedGoogle Scholar
- Duroux L, Delmotte F, Lancelin J, Keravis G, Jay-Allemand C (1998) Insight into naphthoquinone metabolism: β-glucosidase-catalysed hydrolysis of hydrojuglone β-D-glucopyranoside. Biochemical Journal 333:275–283PubMedGoogle Scholar
- Edwards A, Vincken JP, Suurs LCJM, Visser RGF, Zeeman S, Smith A (2002) Discrete forms of amylose are synthesized by isoforms of GBSSI in pea. Plant Cell Online 14:1767–1785CrossRefGoogle Scholar
- Fleige S, Pfaffl MW (2006) RNA integrity and the effect on the real-time qRT-PCR performance. Mol Asp Med 27:126–139CrossRefGoogle Scholar
- Gachon C, Mingam A, Charrier B (2004) Real-time PCR: what relevance to plant studies? J Exp Bot 55:1445–1454PubMedCrossRefGoogle Scholar
- Galau GA, Dure L III (1981) Developmental biochemistry of cottonseed embryogenesis and germination: changing messenger ribonucleic acid populations as shown by reciprocal heterologous complementary deoxyribonucleic acid-messenger ribonucleic acid hybridization. Biochemistry 20:4169–4178PubMedCrossRefGoogle Scholar
- Galau GA, Bijaisoradat N, Hughes DW (1987) Accumulation kinetics of cotton late embryogenesis-abundant mRNAs and storage protein mRNAs: coordinate regulation during embryogenesis and the role of abscisic acid. Dev Biol 123:198–212PubMedCrossRefGoogle Scholar
- Guénin S, Mauriat M, Pelloux J, Van Wuytswinkel O, Bellini C, Gutierrez L (2009) Normalization of qRT-PCR data: the necessity of adopting a systematic, experimental conditions-specific, validation of references. J Exp Bot 60:487–493PubMedCrossRefGoogle Scholar
- Guillermo M, Mónica S, Vanesa M, Graciela T (2011) Reference gene selection for gene expression studies using RT-qPCR in virus-infected plant hoppers. Virol J 8:308CrossRefGoogle Scholar
- Hird DL, Worrall D, Hodge R, Smartt S, Paul W, Scott R (1993) The anther-specific protein encoded by the Brassica napus and Arabidopsis thaliana A6 gene displays similarity to β-1,3-glucanases. Plant J 4:1023–1033PubMedCrossRefGoogle Scholar
- Hong B, Uknes SJ, Ho TD (1988) Cloning and characterization of a cDNA encoding a mRNA rapidly-induced by ABA in barley aleurone layers. Plant Mol Biol 11:495–506CrossRefGoogle Scholar
- Hong SY, Seo PJ, Yang MS, Xiang F, Park CM (2008) Exploring valid reference genes for gene expression studies in Brachypodium distachyon by real-time PCR. BMC Plant Biol 8:112PubMedCrossRefGoogle Scholar
- Hu R, Fan C, Li H, Zhang Q, Fu YF (2009) Evaluation of putative reference genes for gene expression normalization in soybean by quantitative real-time RT-PCR. BMC Mol Biol 10:93PubMedCrossRefGoogle Scholar
- Hundertmark M, Hincha D (2008) LEA (Late Embryogenesis Abundant) proteins and their encoding genes in Arabidopsis thaliana. BMC genomics 9:118PubMedCrossRefGoogle Scholar
- Hylton CM, Denyer K, Keeling PL, Chang MT, Smith AM (1996) The effect of waxy mutations on the granule-bound starch synthases of barley and maize endosperms. Planta 198:230–237CrossRefGoogle Scholar
- Jain M, Nijhawan A, Tyagi AK, Khurana JP (2006) Validation of housekeeping genes as internal control for studying gene expression in rice by quantitative real-time PCR. Biochem Biophys Res Commun 345:646–651PubMedCrossRefGoogle Scholar
- Jakobsen MK, Poulsen LR, Schulz A, Fleurat-Lessard P, Møller A, Husted S (2005) Pollen development and fertilization in Arabidopsis is dependent on the MALE GAMETOGENESIS IMPAIRED ANTHERS gene encoding a type V P-type ATPase. Genes Dev 19:2757–2769PubMedCrossRefGoogle Scholar
- Jan KC, Hwang LS, Ho CT (2009) Biotransformation of sesaminol triglucoside to mammalian lignans by intestinal microbiota. J Agric Food Chem 57:6101–6106PubMedCrossRefGoogle Scholar
- Jan KC, Ku KL, Chu YH, Hwang LS, Ho CT (2010) Tissue distribution and elimination of estrogenic and anti-Inflammatory catechol metabolites from sesaminol triglucoside in rats. J Agric Food Chem 58:7693–7700PubMedCrossRefGoogle Scholar
- Jan KC, Ku KL, Chu YH, Hwang LS, Ho CT (2011) Intestinal distribution and excretion of sesaminol and its tetrahydrofuranoid metabolites in rats. J Agric Food Chem 59:3078–3086PubMedCrossRefGoogle Scholar
- Jian B, Liu B, Bi Y, Hou W, Wu C, Han T (2008) Validation of internal control for gene expression study in soybean by quantitative real-time PCR. BMC Mol Biol 9:59PubMedCrossRefGoogle Scholar
- Jin UH, Lee JW, Chung YS, Lee JH, Yi YB, Kim YK (2001) Characterization and temporal expression of a ω-6 fatty acid desaturase cDNA from sesame (Sesamum indicum L.) seeds. Plant Sci 161:935–941CrossRefGoogle Scholar
- Jungen K, Xiaowu W, Guoyu Z, Yanguo Z, Ping L, Zhiyuan F (2006) Sequential expression of fertility-related genes detected by cDNA-AFLP in different types of cabbage male sterile lines. Acta Horticulturae Sinica 33:544–548Google Scholar
- Kang IK, Suh SG, Gross KC, Byun JK (1994) N-terminal amino acid sequence of persimmon fruit β-galactosidase. Plant Physiol 105:975–979PubMedCrossRefGoogle Scholar
- Kim MJ, Kim JK, Shin JS, Suh MC (2007) The SebHLH transcription factor mediates trans-activation of the SeFAD2 gene promoter through binding to E-and G-box elements. Plant Mol Biol 64:453–466PubMedCrossRefGoogle Scholar
- Kim MJ, Go YS, Lee SB, Kim YS, Shin JS, Min MK (2010) Seed-expressed casein kinase I acts as a positive regulator of the SeFAD2 promoter via phosphorylation of the SebHLH transcription factor. Plant Mol Biol 73:425–437PubMedCrossRefGoogle Scholar
- Lee JM, Roche JR, Donaghy DJ, Thrush A, Sathish P (2010) Validation of reference genes for quantitative RT-PCR studies of gene expression in perennial ryegrass (Lolium perenne L.). BMC Mol Biol 11:8PubMedCrossRefGoogle Scholar
- Liao CD, Hung WL, Lu WC, Jan KC, Shih DYC, Yeh AI (2009) Differential tissue distribution of sesaminol triglucoside and its metabolites in rats fed with lignan glycosides from sesame meal with or without Nano/Submicrosizing. Journal of agricultural and food chemistry 58:563–569CrossRefGoogle Scholar
- Liu LM, Liu HY, Tian BM (2012) Selection of reference genes from sesame infected by Macrophomina phaseolina. Acta Agron Sin 38:471–478Google Scholar
- Maroufi A, Van Bockstaele E, De Loose M (2010) Validation of reference genes for gene expression analysis in chicory (Cichorium intybus) using quantitative real-time PCR. BMC Mol Biol 11:15PubMedCrossRefGoogle Scholar
- Mochizuki M, Tsuchie Y, Yamada N, Miyake Y, Osawa T (2010) Effect of sesame lignans on TNF-α-induced expression of adhesion molecules in endothelial cells. Biosci Biotechnol Biochem 74:1539–1544PubMedCrossRefGoogle Scholar
- Moctezuma E, Smith DL, Gross KC (2003) Antisense suppression of a β-galactosidase gene (TB G6) in tomato increases fruit cracking. J Exp Bot 54:2025–2033PubMedCrossRefGoogle Scholar
- Nakamura T, Vrinten P, Hayakawa K, Ikeda J (1998) Characterization of a granule-bound starch synthase isoform found in the pericarp of wheat. Plant Physiol 118:451–459PubMedCrossRefGoogle Scholar
- Nicot N, Hausman JF, Hoffmann L, Evers D (2005) Housekeeping gene selection for real-time RT-PCR normalization in potato during biotic and abiotic stress. J Exp Bot 56:2907–2914PubMedCrossRefGoogle Scholar
- Park MR, Cho E, Rehman S, Yun SJ (2010) Expression of a sesame geranylgeranyl reductase cDNA is induced by light but repressed by abscisic acid and ethylene. Pak J Bot 42:1815–1825Google Scholar
- Pfaffl MW, Tichopad A, Prgomet C, Neuvians TP (2004) Determination of stable housekeeping genes, differentially regulated target genes and sample integrity: BestKeeper–Excel-based tool using pair-wise correlations. Biotechnol Lett 26:509–515PubMedCrossRefGoogle Scholar
- Qi J, Yu S, Zhang F, Shen X, Zhao X, Yu Y, Zhang D (2010) Reference gene selection for real-time quantitative polymerase chain reaction of mRNA transcript levels in Chinese cabbage (Brassica rapa L. ssp. pekinensis). Plant Molecular Biology Reporter 28:597–604CrossRefGoogle Scholar
- Ramakers C, Ruijter JM, Deprez RHL, Moorman AFM (2003) Assumption-free analysis of quantitative real-time polymerase chain reaction (PCR) data. Neurosci Lett 339:62–66PubMedCrossRefGoogle Scholar
- Raynal M, Depigny D, Cooke R, Delseny M (1989) Characterization of a radish nuclear gene expressed during late seed maturation. Plant Physiol 91:829–836PubMedCrossRefGoogle Scholar
- Sattler SE, Singh J, Haas EJ, Guo L, Sarath G, Pedersen JF (2009) Two distinct waxy alleles impact the granule-bound starch synthase in sorghum. Mol Breeding 24:349–359CrossRefGoogle Scholar
- Szydlowski N, Ragel P, Hennen-Bierwagen TA, Planchot V, Myers AM, Mérida A (2011) Integrated functions among multiple starch synthases determine both amylopectin chain length and branch linkage location in Arabidopsis leaf starch. J Exp Bot 62:4547–4559PubMedCrossRefGoogle Scholar
- Tai SSK, Chen MCM, Peng CC, Tzen JTC (2002) Gene family of oleosin isoforms and their structural stabilization in sesame seed oil bodies. Biosci Biotechnol Biochem 66:2146–2153PubMedCrossRefGoogle Scholar
- Takahashi R, Joshee N, Kitagawa Y (1994) Induction of chilling resistance by water stress, and cDNA sequence analysis and expression of water stress-regulated genes in rice. Plant Mol Biol 26:339–352PubMedCrossRefGoogle Scholar
- Thellin O, Zorzi W, Lakaye B, De Borman B, Coumans B, Hennen G, Grisar T, Igout A, Heinen E (1999) Housekeeping genes as internal standards: use and limits. J Biotechnol 75:291–295PubMedCrossRefGoogle Scholar
- Thellin O, ElMoualij B, Heinen E, Zorzi W (2009) A decade of improvements in quantification of gene expression and internal standard selection. Biotechnol Adv 27:323–333PubMedCrossRefGoogle Scholar
- Vandesompele J, De Preter K, Pattyn F, Poppe B, Van Roy N, De Paepe A, Speleman F (2002) Accurate normalization of real-time quantitative RT-PCR data by geometric averaging of multiple internal control genes. Genome Biol 3: research0034Google Scholar
- Vrinten PL, Nakamura T (2000) Wheat granule-bound starch synthase I and II are encoded by separate genes that are expressed in different tissues. Plant Physiol 122:255–264PubMedCrossRefGoogle Scholar
- Wan H, Zhao Z, Qian C, Sui Y, Malik AA, Chen J (2010) Selection of appropriate reference genes for gene expression studies by quantitative real-time polymerase chain reaction in cucumber. Anal Biochem 399:257–261PubMedCrossRefGoogle Scholar
- White CN, Rivin CJ (1995) Sequence and regulation of a late embryogenesis abundant group 3 protein of maize. Plant Physiol 108:1337–1338PubMedCrossRefGoogle Scholar
- Yukawa Y, Takaiwa F, Shoji K, Masuda K, Yamada K (1996) Structure and expression of two seed-specific cDNA clones encoding stearoyl-acyl carrier protein desaturase from sesame, Sesamum indicum L. Plant Cell Physiol 37:201–205PubMedCrossRefGoogle Scholar
- Zhang HY, Wei LB, Miao HM, Zhang TD, Wang CY (2012) Development and validation of genic-SSR markers in sesame by RNA-seq. BMC Genomics 13:316PubMedCrossRefGoogle Scholar
Copyright information
Open AccessThis article is distributed under the terms of the Creative Commons Attribution License which permits any use, distribution, and reproduction in any medium, provided the original author(s) and the source are credited.







