Abstract
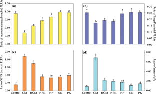
Repeated compost or inorganic fertilization may increase soil organic C (SOC) but how SOC accumulation relates to changes in soil aggregation, microenvironment and microbial community structure is unclear. Arable soils (Aquic Inceptisol) following a 20-year (1989–2009) application of inorganic fertilizer nitrogen (N), phosphorus (P) and potassium (K) (NPK), fertilizer NP (NP), fertilizer NK (NK), fertilizer PK (PK), compost (CM), half compost N plus half fertilizer N (HCM), and non-fertilization (Control) were collected to evaluate the relationship between SOC accumulation rate, soil aggregation, microenvironment and microbial community composition using phospholipid fatty acid (PLFA) analysis. Compared to the starting year, SOC content after 20 years under CM, HCM and NPK was significantly (P < 0.05) increased by 172 %, 107 % and 56 %, respectively, and by less than 50 % under NP, NK and PK. The mass proportion of macroaggregates was increased by 101–250 % under CM, but was not significantly affected by inorganic fertilizations, except PK. Compost and NPK significantly (P < 0.05) reduced the effective diffusion coefficient of oxygen primarily by increasing the proportion of pores <4 μm, and in contrast, increased the abundance of branched PLFAs and Gram-positive (G+) bacteria, resulting in the reduction of the ratio of monounsaturated/branched PLFAs (M/B) compared with Control. The mass proportion of macroaggregates was significantly (P < 0.01) and negatively correlated with the effective diffusion coefficient of oxygen; the latter was positively associated with M/B ratio. The SOC accumulation rate (z) had a significant interaction with the mass proportion of macroaggregates (x) and M/B ratio (y) (z = 0.514 + 4.345ex-15–0.149ey). Our results suggested that SOC accumulation promoted the macroaggregation and reduced the effective diffusion coefficient of oxygen, causing changes in microhabitats and a shift in microbial community composition to more facultative and/or obligate anaerobes; such microbial community shifts favored accumulation of SOC in turn.
This is a preview of subscription content, log in to check access.








References
Aachib M, Mbonimpa M, Aubertin M (2004) Measurement and prediction of the oxygen diffusion coefficient in unsaturated media, with applications to soil covers. Water Air Soil Poll 156:163–193
Ai C, Liang GQ, Sun JW, Wang XB, Zhou W (2012) Responses of extracellular enzyme activities and microbial community in both the rhizosphere and bulk soil to long-term fertilization practices in a fluvo-aquic soil. Geoderma 173(174):330–338
Billings SA, Ziegler SE (2008) Altered patterns of soil carbon substrate usage and heterotrophic respiration in a pine forest with elevated CO2 and N fertilization. Global Change Biol 14:1025–1036
Bittman S, Forgr TA, Kowalenko CG (2005) Responses of the bacterial and fungal biomass in a grassland soil to multi-year applications of dairy manure slurry and fertilizer. Soil Biol Biochem 37:613–623
Blagodatsky S, Smith P (2012) Soil physics meets soil biology: towards better mechanistic prediction of greenhouse gas emissions from soil. Soil Biol Biochem 47:78–92
Böhme L, Langer U, Böhme F (2005) Microbial biomass, enzyme activities and microbial community structure in two European long-term field experiments. Agri Ecosyst Environ 109:141–152
Bossio DA, Scow KM (1998) Impacts of carbon and flooding on soil microbial communities: phospholipid fatty acid profiles and substrate utilization patterns. Microb Ecol 35:265–278
Bossio DA, Scow KM, Gunapala N, Graham KJ (1998) Determinants of soil microbial communities: effects of agricultural management, season and soil type on phospholipid fatty acid profiles. Microb Ecol 36:1–12
Bossio DA, Fleck JA, Scow KM, Fujii R (2006) Alteration of soil microbial communities and water quality in restored wetlands. Soil Biol Biochem 38:1223–1233
Brant JB, Sulzman EW, Myrold DD (2006) Microbial community utilization of added carbon substrates in response to long-term carbon input manipulation. Soil Biol Biochem 38:2219–2232
Cai ZC, Qin SW (2006) Dynamics of crop yields and soil organic carbon in a long-term fertilization experiment in the Huang-Huai-Hai Plain of China. Geoderma 136:708–715
Carter MR (1993) Soil samples and methods of analysis. Lewis, Boca Raton, pp 190–191
Clegg CD, Lovell RDL, Hobbs PJ (2003) The impact of grassland management regime on the community structure of selected bacterial groups in soils. FEMS Microbiol Ecol 43:263–270
Cookson WR, Abaye DA, Marschner P, Murphy DV, Stockdale EA, Goulding KWT (2005) The contribution of soil organic matter fractions to carbon and nitrogen mineralization and microbial community size and structure. Soil Biol Biochem 37:1726–1737
Denef K, Roobroeck D, Manimel Wadu MCW, Lootens P, Boeckx P (2009) Microbial community composition and rhizodeposit-carbon assimilation in differently managed temperate grassland soils. Soil Biol Biochem 41:144–153
de Vries FT, Bloem J, van Eekeren N, Brusaard L, Hoffland E (2007) Fungal biomass in pastures increases with age and reduced N input. Soil Biol Biochem 39:1620–1630
Ding HB, Sun MY (2005) Biochemical degradation of algal fatty acids in oxic and anoxic sediment-seawater interface systems: effects of structural association and relative roles of aerobic and anaerobic bacteria. Marine Chem 93:1–19
Dolfing J, Vos A, Bloem J, Ehlert PAI, Naumova NB, Kuikman PJ (2004) Microbial diversity in archived soils. Science 306:813–813
Douds DDJ, Janke RR, Peters SE (1993) VAM fungus spore populations and colonization of roots of maize and soybean under conventional and low-input sustainable agriculture. Agri Ecosyst Environ 43:325–335
Elfstrand S, Hedlund K, Martensson A (2007) Soil enzyme activities, microbial community composition and function after 47 years of continuous green manuring. Appl Soil Ecol 35:610–621
Elliott ET (1986) Aggregate structure and carbon, nitrogen, and phosphorus in native and cultivated soils. Soil Sci Soc Am J 50:627–633
Feng Y, Motta AC, Reeves DW, Burmester CH, van Santen E, Osborne JA (2003) Soil microbial communities under conventional-till and no-till continuous cotton systems. Soil Biol Biochem 35:1693–1703
Frostegard A, Bååth E (1996) The use of phospholipid fatty acid analysis to estimate bacterial and fungal biomass in soil. Biol Fertil Soils 22:59–65
Hansel CM, Fendorf S, Jardine PM, Francis CA (2008) Changes in bacterial and archaeal community structure and functional diversity along a geochemically variable soil profile. Appl Environ Microbiol 74:1620–1633
Hatch DJ, Lovell RD, Antil RS, Jarvis SC, Owen PM (2000) Nitrogen mineralization and microbial activity in permanent pastures amended with nitrogen fertilizer or dung. Biol Fertil Soils 30:288–293
He XH, Nara K (2007) Element biofortification: can mycorrhizas potentially offer a more effective & sustainable way to curb human malnutrition? Trends Plant Sci 12:331–333
Hill PW, Farrar JF, Jones DL (2008) Decoupling of microbial glucose uptake and mineralization in soil. Soil Biol Biochem 40:616–624
Huang M, Jiang LG, Zou YB, Xu SH, Deng GF (2013) Changes in soil microbial properties with no-tillage in Chinese cropping systems. Biol Fertil Soils 49:373–377
Huang Y, Zou JW, Zheng XH, Wang YS, Xu XK (2004) Nitrous oxide emissions as influenced by amendment of plant residues with different C:N ratios. Soil Biol Biochem 36:973–981
Jagadamma S, Steinweg JM, Mayes MA, Wang GS, Post WM (2014) Decomposition of added and native organic carbon from physically separated fractions of diverse soils. Biol Fertil Soils 50:613–621
Kandeler E, Stemmer M, Klimanek EM (1999) Response of soil microbial biomass, urease and xylanase within particle-size fractions to long-term soil management. Soil Biol Biochem 31:261–273
Killham K, Amato M, Ladd J (1993) Effect of substrate location in soil and soil porewater regime on carbon turnover. Soil Biol Biochem 25:57–62
Kong AYY, Six J, Bryant DC, Denison RF, van Kessel C (2005) The relationship between carbon input, aggregation, and soil organic carbon stabilization in sustainable cropping systems. Soil Sci Soc Am J 69:1078–1085
Kong AYY, Scow KM, Córdova-Kreylos AL, Holmes WE, Six J (2011) Microbial community composition and carbon cycling within soil microenvironments of conventional, low-input, and organic cropping systems. Soil Biol Biochem 43:20–30
Kutílek M, Nielsen DR (1994) Soil hydrology. Catena, Cremlingen Destedt
Lazcano C, Brandón-Gómez M, Revilla P, Domínguez J (2013) Short-term effects of organic and inorganic fertilizers on soil microbial community structure and function. Biol Fertil Soils 49:723–733
Mackenziem MD, Quideau SA (2010) Microbial community structure and nutrient availability in oil sands reclaimed boreal soils. Appl Soil Ecol 44:32–41
Majumder B, Ruehlmann J, Kuzyakov Y (2010) Effects of aggregation processes on distribution of aggregate size fractions and organic C content of a long-term fertilized soil. Eur J Soil Biol 46:365–370
Marschner P, Kandeler E, Marschner B (2003) Structure and function of the soil microbial community in a long-term fertilizer experiment. Soil Biol Biochem 35:453–461
McCarthy AJ, Williams ST (1992) Actinomycetes as agents of biodegradation in the environment—a review. Gene 115:189–192
Meng L, Ding WX, Cai ZC (2005) Long-term application of organic manure and nitrogen fertilizer on N2O emissions, soil quality and crop production in a sandy loam soil. Soil Biol Biochem 37:2037–2045
Moore-Kucera J, Dick RP (2008) Application of 13C-labeled litter and root materials for in situ decomposition studies using phospholipid fatty acids. Soil Biol Biochem 40:2485–2493
Murugan R, Kumar S (2013) Influence of long-term fertilisation and crop rotation on changes in fungal and bacterial residues in a tropical rice-field soil. Biol Fertil Soils 49:847–856
Oehl F, Laczko E, Bogenrieder A, Stahr K, Bösch R, van der Heijden M, Sieverding E (2010) Soil type and land use intensity determine the composition of arbuscular mycorrhizal fungal communities. Soil Biol Biochem 42:724–738
Olsson PA (1999) Signature fatty acids provide tools for determination of the distribution and interactions of mycorrhizal fungi in soil. FEMS Microbiol Ecol 29:303–310
Peacock AD, Mullen MD, Ringelberg DB, Tyler DD, Hedrick DB, Gale PM, White DC (2001) Soil microbial community responses to dairy manure or ammonium nitrate applications. Soil Biol Biochem 33:1011–1019
Plaza C, Hernandez D, Garcia-Gil JC, Polo A (2004) Microbial activity in pig slurry-amended soils under semiarid conditions. Soil Biol Biochem 36:1577–1585
Ponder F, Tadros M (2002) Phospholipid fatty acids in forest soil four years after organic matter removal and soil compaction. Appl Soil Ecol 19:173–182
Puget P, Angers DA, Chenu C (1999) Nature of carbohydrates associated with water-stable aggregates of two cultivated soils. Soil Biol Biochem 31:55–63
Rajendran N, Matsuda O, Imamura N, Urushigawa Y (1992) Variation in microbial biomass and community structure in sediments of Eutrophic Bays as determined by phospholipid ester-linked fatty acids. Appl Environ Microbiol 58:562–571
Rinnan R, Michelsen A, Bååth E, Jonasson S (2007) Fifteen years of climate change manipulations alter soil microbial communities in a subarctic health system. Global Change Biol 13:28–39
Rudrappa L, Purakayastha TJ, Singh D, Bhadraray S (2006) Long-term manuring and fertilization effects on soil organic carbon pools in a Typic Haplustept of semi-arid sub-tropical India. Soil Till Res 88:180–192
Ruamps LM, Nunan N, Chenu C (2011) Microbial biogeography at the soil pore scale. Soil Biol Biochem 43:280–286
Sarathchandra SU, Ghani A, Yeates GW, Burch G, Cox NR (2001) Effect of nitrogen and phosphate fertilizers on microbial and nematode diversity in pasture soils. Soil Biol Biochem 33:953–964
Schjønning P, Thomsen IK, Moldrup P, Christensen BT (2003) Linking soil microbial activity to water- and air-phase contents and diffusivities. Soil Sci Soc Am J 67:156–165
Sessitsch A, Weilharter A, Gerzabek MH, Kirchmann H, Kandeler E (2001) Microbial population structures in soil particle size fractions of a long-term fertilizer field experiment. Appl Environ Microbiol 67:4215–4224
Simpson AJ, Song G, Smith E, Lam B, Novotny EH, Hayes MB (2007) Unraveling the structural components of soil humin by use of solution-state nuclear magnetic resonance spectroscopy. Environ Sci Technol 41:876–883
Stark C, Condron LM, Stewart A, Di HJ, O’Callaghan M (2007) Influence of organic and mineral amendments on microbial soil properties and processes. Appl Soil Ecol 35:79–93
Strong DT, Wever HD, Merckx R, Recous S (2004) Spatial location of carbon decomposition in the soil pore system. Eur J Soil Sci 55:739–750
Sun HY, Deng SP, Raun WR (2004) Bacterial community structure and diversity in a century-old manure-treated agroecosystem. Appl Environ Microbiol 70:5868–5874
Sundh I, Nilsson M, Borga P (1997) Variation in microbial community structure in two boreal peatlands as determined by analysis of phospholipid fatty acid profiles. Appl Environ Microbiol 63:1476–1482
ter Braak CJF, Šmilauer P (1998) CANOCO references manual and user’s guide to Canoco for Windows. Microcomputer Power, Ithaca, p 351
USDA (United States Department of Agriculture) (1994) Keys to soil taxonomy. (Soil Conservation Service), 6th Edition. USDA, Washington, DC
van Genuchten MT (1980) A closed-form equation for predicting the hydraulic conductivity of unsaturated soils. Soil Sci Soc Am J 44:892–898
Wixon DL, Balser TC (2013) Toward conceptual clarity: PLFA in warmed soils. Soil Biol Biochem 57:769–774
Yoo G, Spomer LA, Wander MM (2006) Regulation of carbon mineralization rates by soil structure and water in an agricultural field and a prairie-like soil. Geoderma 135:16–25
Yu HY, Ding WX, Luo JF, Geng RL, Ghanni A, Cai ZC (2012a) Effects of long-term compost and fertilizer application on stability of aggregates-associated organic carbon in intensively cultivated sandy loam soil. Biol Fertil Soils 48:325–336
Yu HY, Ding WX, Luo JF, Geng RL, Cai ZC (2012b) Long-term application of compost and mineral fertilizers on aggregation and aggregate-associated carbon in a sandy loam soil. Soil Till Res 124:170–177
Yu HY, Ding WX, Luo JF, Donnison A, Zhang JB (2012c) Long-term effect of compost and inorganic fertilizer on activities of carbon-cycle enzymes in soil aggregates of an intensively cultivated sandy loam. Soil Use Manag 28:347–360
Zaitlin B, Turkington K, Parkinson D, Clayton G (2004) Effects of tillage and inorganic fertilizers on culturable soil actinomycete communities and inhibition of fungi by specific actinomycetes. Appl Soil Ecol 26:53–62
Zhang QC, Shamsi IH, Xu DT, Wang GH, Lin XY, Jilani G, Hussain N, Chaudhry AN (2012) Chemical fertilizer and organic manure inputs in soil exhibit a vice versa pattern of microbial community structure. Appl Soil Ecol 57:1–8
Zhang HJ, Ding WX, Yu HY, He XH (2013) Carbon uptake by a microbial community during 30-day treatment with 13C-glucose of a sandy loam soil fertilized for 20 years with NPK or compost as determined by a GC-C-IRMS analysis of phospholipid fatty acids. Soil Biol Biochem 58:228–236
Zhong WH, Gu T, Wang W, Zhang B, Lin XG, Huang QR, Shen WS (2010) The effects of mineral fertilizer and organic manure on soil microbial community and diversity. Plant Soil 326:511–522
Zhuang J, McCarthy JF, Perfect E, Mayer LM, Jastrow JD (2008) Soil water hysteresis in water-stable microaggregates as affected by organic matter. Soil Sci Soc Am J 72:212–220
Zibilske LM, Bradford JM (2007) Oxygen effects on carbon, polyphenols, and nitrogen mineralization potential in soil. Soil Sci Soc Am J 71:133–139
Acknowledgments
This study was funded by the Chinese Academy of Sciences (XDB15020100), the National Basic Research Program of China (2011CB100503), and National Natural Science Foundation of China (41401282, 41171190).
Author information
Rights and permissions
About this article
Cite this article
Zhang, H., Ding, W., Yu, H. et al. Linking organic carbon accumulation to microbial community dynamics in a sandy loam soil: result of 20 years compost and inorganic fertilizers repeated application experiment. Biol Fertil Soils 51, 137–150 (2015). https://doi.org/10.1007/s00374-014-0957-0
Received:
Revised:
Accepted:
Published:
Issue Date:
Keywords
- Aquic Inceptisol
- Long-term fertilization
- Soil aggregation
- Soil microenvironment
- Microbial community
- Organic C accumulation rate