Ring opening polymerization of styrene oxide initiated with potassium alkoxides and hydroxyalkoxides activated by 18-crown-6: determination of mechanism and preparation of new polyether-polyols
Abstract
It was stated that initiation in ring opening polymerization of styrene oxide depends on the kind of potassium alkoxide activated by 18-crown-6 used. In the presence of potassium methoxide the oxirane ring opening occurs exclusively in the β-position and not in the β or α position, i.e., contrary to the previous data. A similar result was obtained in the systems initiated with potassium t-butoxide, 2-methylpropoxide and 1-phenylethoxide. Unexpectedly, potassium i-propoxide and 1-methylpropoxide open the oxirane ring in the β or α position. In all polymerizations, deprotonation of methine group in the monomer takes place under the influence of the initiator and in chain transfer reaction to the monomer. It leads to the formation of macromolecules with unsaturated starting group. However, deprotonation of methylene group in the monomer does not occur. Applying of potassium hydroxyalkoxides, i.e., monopotassium salt of dipropylene glycol or tripotassium salt of 2,2,6,6-tetrakis(hydroxymethyl)cyclohexanol it was possible to synthesize PSO-diols and PSO-pentols without unsaturation. Molar masses of polymers (M n = 1700–4800 Da) are much higher than reported in literature for other anionic systems. Dispersity of polymers is rather low (M w/M n = 1.07–1.15) indicating relatively high rate of initiation and cation exchange reaction.
Keywords
ROP Oxiranes anionic polymerization Styrene oxide Potassium alkoxides Polyether-polyolsIntroduction
The literature data dedicated to anionic ring opening polymerization of styrene oxide (SO) are rather scarce [1, 2, 3, 4, 5, 6]. The papers present the course of the process mediated with sodium [4] or potassium methoxide [2, 3]. It was reported that these compounds open the oxirane ring in the SO molecule in two positions, i.e., α or β, the latter even prevails (~67%) during initiation of the polymerization. However, during propagation the oxirane ring opens exclusively in the β-position. The side reactions, i.e., chain transfer to the monomer involving deprotonation of methylene and methine groups in SO molecule lead to the formation of two kinds of potassium enolates [2]. Potassium hydride was then used for SO polymerization [5]; however, the course of the process was not proposed. Molar masses of PSOs obtained with mentioned initiators were relatively low, i.e., M n = 980–2900 Da. Finally, cyclic oligo(potassium glycidoxide)s with three or six alkoxide groups activated by coronand 18-crown-6 (18C6) were also applied as macroinitiators for the ROP of SO [6]. Star-shaped polyether-polyols with M n = 8000 Da were prepared in this way.
Synthesis of potassium alkoxide in the presence of 18-crown-6 complexing agent
Styrene oxide was polymerized recently with the use of different tin catalysts [10], rare earth coordination catalysts [11] or with acid-exchanged montmorillonite clay [12]. Poly(styrene oxide) can be used as drug carriers [13]. Polystyrene oxide–polyethylene oxide (PSO–PEO) block copolymers were used in the design of efficient nanocarriers for cancer chemotherapy [14, 15]. Based on PSO–PEO triblock copolymers were synthesized. It produced the drug-loaded micelles and their drug release profiles were analyzed for the anticancer drug, doxorubicin (DOXO) [15] PSO was also used for production of polystyrene carbonate [16].
The aim of this work was reinvestigation of SO ROP course in the presence of potassium alkoxides as well as preparation and characterization of new PSO-polyols. Several initiators activated by 18C6 were chosen for the study, i.e., potassium methoxide, potassium i-propoxide, potassium t-butoxide, potassium 1-methylpropoxide, potassium 2-methylpropoxide, potassium 1-phenylethoxide, monopotassium salt of dipropylene glycol as well as tripotassium salt of 2,2,6,6-tetrakis(hydroxymethyl)cyclohexanol. The polymers obtained by use of hydroxyalkoxides are especially interesting, because they possess several OH terminal groups after hydrolysis and can be used as potential macromonomers for synthesis of new polyurethanes, used in the production of mattresses and also in the furniture industry, automotive industry, building industry and for special applications, for example, medicine. Preparation of the initiators as well as polymerizations were carried out in mild conditions, i.e., in tetrahydrofuran solution at room temperature.
Experiment
Materials
Styrene oxide (Aldrich) was dried over CaH2 and then distilled at 467 K (194 °C). Anhydrous tetrahydrofuran (THF) (Acros Organics) was kept over CaH2 and distilled at 339 K (66 °C). Potassium hydride (KH) (Aldrich) was purified according to the procedure described by Brown [17]. A 35 wt% dispersion of KH in mineral oil (Aldrich) was mixed with n-pentane in a dry argon atmosphere and then decanted. It was repeated three times followed by a threefold washing with dry THF. Finally, THF was evaporated in vacuum. The KH present was determined by a standard gas law calculation of the hydrogen liberated after treatment with 2-butanol (1.0 H2 = 1.0 KH). The resulting solution was titrated to a phenolphthalein end point. Very little excess (<1%) of total base over hydride base (from gas evolution) indicated small hydrolysis of the original KH sample. Coronand 18C6 (1,4,7,10,13,16-hexaoxacyclooctadecane) (Merck), methanol, i-propanol, 1-phenylethanol, 1-methylpropanol, 2-methylpropanol, dipropylene glycol, 2,2,6,6-tetrakis(hydroxymethyl)cyclohexanol and potassium t-butoxide in THF solution (1.0 mol/dm3) (all from Aldrich) were used as received for synthesis without further purification.
Preparation of initiators and styrene oxide polymerization
All syntheses were performed at 20 °C in a 50 cm3 reactor equipped with a magnetic stirrer and a Teflon valve enabling substrate delivery and sampling under argon atmosphere. Monopotassium salts were obtained in the reaction of potassium hydride with an appropriate amount of alcohol or dipropylene glycol (DPG) dissolved in THF containing 18C6 at 20 °C. The initial concentrations of the monomer were 2.0 or 5.0 mol/dm3 and the initial concentration of the initiator was 0.1 mol/dm3. For example, potassium hydride (0.08 g, 2.0 mmol) and THF (15.0 cm3) were introduced into the reactor and then 18C6 (0.53 g, 2.0 mmol) and methanol (0.064 g, 2.0 mmol) were added by use of syringe. The mixture was stirred for 1.5 h until all hydrogen (44.7 cm3) was evolved. It resulted in a suspension of pure anhydrous potassium methoxide activated ligand in the ether solution. That system was used as the initiator, when styrene oxide (4.6 cm3, 3.7 g, 40 mmol) was introduced into the reactor. The reaction mixture was then stirred for several days. After almost complete conversion of the monomer the reaction mixture was neutralized with HCl/H2O system (0.1 mol/dm3, 70 cm3) and transferred to the separator containing chloroform (70 cm3). After shaking, two layers were formed, i.e., an inferior polyether layer and a superior layer containing water and the potassium salt. These layers were separated and the superior layer was removed. After three washes with fresh water, polyether was obtained by chloroform and water distillation in vacuum at 100 °C.
In another experiment, tripotassium salt of 2,2,6,6-tetrakis(hydroxymethyl)cyclohexanol (TKHMCH) activated by 18C6 was prepared in a similar way. The initial concentration of the monomer was 2.0 or 4.0 mol/dm3 and the initial concentration of the initiator was 0.02 mol/dm3. Potassium hydride (0.048 g, 1.2 mmol), THF (5.0 cm3) and 18C6 (0.32 g, 1.2 mmol) were introduced into the reactor. Then TKHMCH (0.088 g, 0.4 mmol) was dissolved in boiling THF (10.0 cm3) and the solution obtained was dropped into the system at 20 °C. After mixing for 1.5 h, hydrogen (26.8 cm3) was evolved. Finally, styrene oxide (4.6 cm3, 3.7 g, 40 mmol) was added and the reaction mixture was stirred for several days until complete monomer conversion. The separation of polymer obtained was performed as described previously. At the stage of shaking with the HCl/H2O system, some additional interlayer was formed that may contain polyether with fully converted OH groups or in equilibrium with the polyether with some rest OK groups. The presence of monomer during polymerization was monitored by chromatographic method. After ending of the polymerization, all reaction mixtures were homogeneous.
Measurements
100 MHz 13C nuclear magnetic resonance (NMR) spectra were recorded in CDCl3 at 25 °C on a BrukerAvance 400 pulsed spectrometer equipped with 5 mm broad-band probe and applying Waltz16 decoupling sequence. Chemical shifts were referenced to tetramethylsilane serving as an internal standard. To obtain a good spectrum of the polymer main chain exhibiting its microstructural details, about 3000 scans were satisfactory, but in order to observe the signals of the polymer chain ends more than 10,000 scans were necessary. Molar masses and dispersities of polymers were obtained by means of size exclusion chromatography (SEC) on a Shimadzu Prominence UFLC instrument at 40 °C on a Shodex 300 mm × 8 mm OHpac column using tetrahydrofuran as a solvent. Polystyrenes were used as calibration standards. Matrix-assisted laser desorption/ionization-time of flight (MALDI-TOF) spectra were recorded on a Shimadzu AXIMA Performance instrument. Dithranol was used as a matrix. Spectrophotometer measurements were performed on the FTIR ATR device (Shimadzu IR Prestige) equipped with diamond ATR crystal purified prior to measurement with isopropanol. Data were analyzed using LabSolutions program.
Results and discussion
In the present work polymerization of styrene oxide was carried out in the presence of ether 18-crown-6. This macrocyclic ligand is frequently used for activation of alkoxide anions due to strong complexation of metal cation. It results in the formation of crown-separated ion pairs and allows maintaining a high rate of polymerization of propylene oxide at low temperature [5].
13C NMR was used as the main technique for analysis of the polymers obtained in order to determine the course of ROP. In some cases MALDI-TOF was also applied as a supporting method. Due to the relatively short polymer chains of the samples, 13C NMR could be eventually applied to estimate the molar masses; however, in some cases the signals of the end groups were very small and close to the noise level or overlapped with the strong signals of the backbone carbons, and due to possible side reactions, simple integration of these signals may introduce significant error; therefore, the molar masses and dispersities of the polymers were estimated by SEC chromatography.
Determination of the mechanism of SO polymerization in the presence of simple potassium alkoxides activated by 18C6
Characterization of PSOs synthesized with the use of potassium alkoxides activated by 18C6; [initiator]o = 0.1 mol/dm3
| Polymer | Initiator | [Monomer]o mol/dm3 | Macromolecules with unsaturated starting groups mol-%a | Yield % | M n SEC (Da) | M w/M n SEC | M n (calcd.) | Time of reaction at 20 °C (h) |
|---|---|---|---|---|---|---|---|---|
| P1 | CH3O− Open image in new window | 2.0 | 5.1 | 98.0 | 2200 | 1.09 | 2400 | 230 |
| P2 | CH3O− Open image in new window | 5.0 | 9.4 | 85.2 | 4300 | 1.10 | 6000 | 410 |
| P3 | (CH3)2CHO− Open image in new window | 2.0 | 6.1 | 95.3 | 2000 | 1.12 | 2400 | 220 |
| P4 | (CH3)2CHO− Open image in new window | 5.0 | 9.7 | 86.1 | 4600 | 1.14 | 6000 | 425 |
| P5 | (CH3)3CO− Open image in new window | 2.0 | 7.5 | 98.3 | 2700 | 1.13 | 2400 | 215 |
| P6 | (CH3)3CO− Open image in new window | 5.0 | 9.8 | 87.5 | 4800 | 1.15 | 6000 | 420 |
| P7 | (CH3)2CHCH2O− Open image in new window | 2.0 | 8.0 | 95.4 | 2400 | 1.07 | 2400 | 240 |
| P8 | CH3CH2CH(CH3)O− Open image in new window | 2.0 | 11.2 | 96.3 | 2000 | 1.09 | 2400 | 235 |
| 9P9 | PhCH(CH3) O− Open image in new window | 2.0 | 19.1 | 92.2 | 1700 | 1.11 | 2400 | 245 |
Signals of methyl carbons present in starting groups of PSOs synthesized with (a) CH3O− Open image in new window
(I1), (b) (CH3)2CHO− Open image in new window
(I2), (c) (CH3)3CO− Open image in new window
(I3)
Analysis of 13C NMR spectrum indicated that initiation of SO polymerization with potassium methoxide (I1) (Fig. 1a) occurs by a different way than it was reported in the literature [2, 3, 4]. Methyl signal of the starting group CH3OCH2CH(Ph)O– (59.21 ppm) is observed in the spectrum after quenching with HCl/H2O resulting from SO ring opening in the β-position under influence of the initiator. A hypothetical second signal of starting group CH3OCH(Ph)CH2O– (at about 57.0 ppm) is absent in the spectrum which eliminates the possibility of monomer ring opening also in α-position. However, such a signal was detected in the spectrum of PSO quenched with CH3I as the signal of the end group. The results obtained clearly indicated that in the initiation as well as propagation step the oxirane ring opened exclusively in the β-position.
Signals of methyl and methylene carbons present in starting groups of PSO (P8) synthesized with CH3CH2CH(CH3)O− Open image in new window
(I5)
groups in potassium 2-methylpropoxide (I4) results in the ring opening during the initiation exclusively in the β-position (Fig. 3). Opening in the α-position should lead to creation of a second signal for methyl group, shifted of about 0.4 ppm but no such signal is observed (Fig. 3a).Signals of methyl carbons present in starting groups of PSOs synthesized with PhCH(CH3)O− Open image in new window
(I6)–spectrum (a–for P9) and (CH3)2CHCH2O− Open image in new window
(I4)–spectrum (b–for P7)
ROP of SO initiated with potassium alkoxides activated by 18C6
Chain transfer to the monomer in SO polymerization initiated with potassium alkoxides activated by 18C6
Signals of unsaturated starting group present in PSOs (I3) prepared with potassium alkoxides activated by 18C6
Potassium hydroxyalkoxides used for preparation of PSO-polyols–K-DPG (I7) and 3K-TKHMCH (I8)
This reaction proceeded by deprotonation of monomer methine group with growing chain end resulting from the presence of acidic H-atom in PhCH group. However, the lack of the signals in 13C NMR spectrum at about 108 and 146 ppm of vinyl carbons in hypothetical starting group,
Ph–CH=CH–O– indicated, that reported in the literature deprotonation of methylene group in SO molecule did not occur. Signal of carbonyl group was also absent in the spectrum. Unsaturation of polymers increases with initial concentration of the monomer (Table 1). Chain transfer to the monomer is responsible for this phenomenon (Scheme 2). However, unsaturation of polymers depends also on the kind of initiator used. The lowest unsaturation has PSO obtained with CH3O− Open image in new window
(~5%), the highest one (~19%) exhibits polymer prepared with PhCH(CH3)O− Open image in new window
. It means, that the second source of unsaturation is deprotonation of the monomer by initiator.
.MALDI-TOF spectrum of PSO-diol (P3) synthesized with the use of (CH3)2CHO− Open image in new window
(I2) and quenched with HCl/H2O
Dispersity of polymers is relatively low, i.e., M w/M n = 1.07–1.15, indicating high rate of cation exchange reaction. MALDI-TOF analysis of polymer 3 further confirmed its chemical structure (Fig. 5).
Three main series of signals were observed in the spectrum. The first series at m/z 1056.3–2133.9 represents macromolecules possessing isopropyloxy starting group and OH end group. For example, signals at m/z 1178.1, 1538.7 and 1897.6 represent macromolecules containing 9, 12 and 15 mers of styrene oxide (M n (calcd.) = 1180.6, 1541.0 and 1901.5 respectively). They form adducts with K+ ions. The second series at 1040.3–2117.9 represents macromolecules with the same structure, but forming adducts with Na+ ions. However, the third series of peaks at m/z 1117.7–1839.0 represents macromolecules possessing unsaturated starting group and OH end group. They form adducts with K+ ions. For example, signals at m/z 1239.4, 1479.8 and 1839.0 represent macromolecules containing 9, 11 and 14 mers of styrene oxide (M n (calcd.) = 1240.6, 1480.9 and 1841.3 respectively).
Synthesis of PSO-polyols by polymerization of SO initiated with potassium hydroxyalkoxides activated by 18C6
Characterization of macrodiols and macropentols synthesized by anionic polymerization of SO initiated with potassium hydroxyalkoxides; [K-DPG]o = 0.1 mol/dm3; [3K-TKHMCH]o = 0.02 mol/dm3
13C NMR spectrum of PSO-diol (P10) derived in ROP in the presence of K-DPG (I7) and quenched with HCl/H2O
Signals at 17.1 ppm derived from CH3– groups of initiator. Signals of terminal groups CH2 CH(Ph)OH which should arrive at about 73.8 ppm cannot be precisely identified since they fall in the region of the strong main chain signal, nevertheless, a sharp signal at 73.65 ppm could be observed in this broad band. However, signals of starting groups derived from initiator, i.e., –CH2CH(CH3)OH which should arrive at about 66.6 ppm as well as signals of unsaturated starting groups were not observed in the spectrum.
SEC chromatogram for polymer 12 (p12) obtained with initiator I8 and polymer 13 (p13) obtained with initiator I8
For polymer 12 (p12) two main fractions are present as the product of the synthesis, while for polymer 13 (p13) three fraction can be separated.
FTIR ATR spectra for P10-P13: prepared with the use of K-DPG (I10 and I11) and 3K-TKHMCH (I12 and I13)
MALDI-TOF spectrum of PSO-diol (P10) prepared with the use of K-DPG (I7) and quenched with HCl/H2O
Two series of signals were observed in the spectrum. The first series at m/z 1119.5–4055.3 represents macromolecules possessing central part –OC3H6OC3H6O– derived from initiator and two OH terminal groups. For example, signals at m/z 1360.4, 1840.6 and 2432.2 represent macromolecules containing 10, 14 and 19 mers of styrene oxide (M n (calcd.) = 1358.7, 1839.3 and 2440.1), respectively. They form as adducts with Na+ ions. The second series at m/z 1135.5–4071.3 represents macromolecules with the same structure, but forming adducts with K+ ions. For example, signals at m/z 1618.1, 1974.1 and 2447.9 belong to macromolecules with 12, 15 and 19 mers of styrene oxide (M n (calcd.) = 1614.5, 1975.1 and 2456.1).
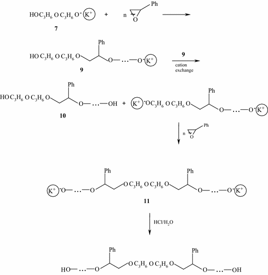
ROP of styrene oxide initiated with K-DPG
Rapid cation exchange reaction between macromolecules 10 and 11 is responsible for activation of the former resulting consequently in the lack of starting HOCH(CH3)CH2– group. Deprotonation of hydroxyl groups present in polymer chains with alkoxide groups is very important reaction. It makes possible growth of chains in two directions and does not influence the concentration of active centers and polymer chains, i.e., does not influence M n of polymers. Moreover, this reaction strongly limits chain transfer reaction to the monomer and thus avoids decreasing of M n .
13C NMR spectrum of PSO-pentol (P13) derived in ROP by use of 3K-THMCH (I8) and quenched with HCl/H2O
MALDI-TOF spectrum of PSO-pentol (P13) synthesized with the use of 3K-THMCH (I8) and quenched with water
Two series of signals were shown in the spectrum. It was proposed that the first series of peaks at m/z, for example 897.8, 1137.5 and 1975.8 represents macromolecules having central part derived from initiator as well as four PSO arms with OH end groups and one arm with OK group. These macromolecules contain 5, 7 and 14 mers of SO, respectively, and form adducts with K+ ion (M n (calcd.) = 898.2, 1138.5 and 1979.6, respectively). The second series of the signals at m/z 1002.1, 1122.2 and 1960.4 represent macromolecules with the same structure which contain 6, 7 and 14 mers (M n (calcd.) = 1001.3, 1122.4 and 1963.4, respectively) and form adducts with Na+ ion.
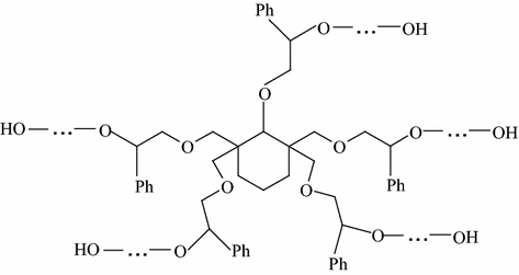
Star-shaped macromolecules with five PSO-arms formed in SO ROP initiated with 3K-TKHMCH (I8) and quenched with HCl/H2O
It is worth noting, that polymers obtained with salt (I8) consist of two or three fractions detected by the SEC method. This phenomenon can be explained by a strong tendency during polymerization to the formation of various macromolecular aggregates containing OK and OH groups with different reactivities [19].
Conclusions
-
Initiation of SO polymerization with potassium methoxide occurs exclusively by oxirane ring opening in the \(\beta\)-position and not in the β and α positions.
-
Similar course of initiation was observed in the presence of potassium t-butoxide, 2-methylpropoxide and 1-phenylethoxide.
-
Unexpectedly, potassium i-propoxide or 1-methylpropoxide opens the oxirane ring in the β or α position.
-
The polymers obtained indicate unsaturation resulting exclusively from deprotonation of monomer methine groups with active center of growing chain and initiator.
-
Molar masses of polymers (M n = 1700–4800 Da) are much higher than reported in literature.
-
Using monopotassium salt of dipropylene glycol and tripotassium salt of 2,2,6,6-tetrakis(hydroxymethyl)cyclohexanol it was possible to synthesize PSO-polyols without unsaturation, which could be useful for preparation of new polyurethanes.
Notes
Compliance with ethical standards
Conflict of interest
The authors declare that they have no conflict of interest.
References
- 1.Reeve W, Christoffell J (1950) The reaction of styrene oxide with methanol. J Am Chem Soc 72:1480–1483. doi: 10.1021/ja01160a014 CrossRefGoogle Scholar
- 2.Spirin YuL, Doroshenko NP (1972) Study of the anionic polymerization of styrene oxide. Vysokomol Soedin Ser A 14:646–652Google Scholar
- 3.Kazanskii C, Reix M, Spassky N (1979) Effect of the chiral polymer chain in the anionic polymerization of styrene oxide. Polym Bull 1:793–799. doi: 10.1007/BF00256281 Google Scholar
- 4.Jedliński Z, Kasperczyk J, Dworak A, Matuszewska B (1982) The anionic polymerization of styrene oxide. Polymer structure and direction of ring opening. Macromol Chem 183:587–591. doi: 10.1002/macp.1982.021830308 CrossRefGoogle Scholar
- 5.Stolarzewicz A, Neugebauer D (1999) Influence of substituent on the polymerization of oxiranes by potassium hydride. Macromol Chem Phys 200:2467–2470. doi: 10.1002/(SICI)1521-3935(19991101)200:11<2467:AID-MACP2467>3.0.CO;2-3 CrossRefGoogle Scholar
- 6.Morejko B, Stolarzewicz A, Grobelny Z, Piekarnik B, Niedziela T, Trzebicka B (2007) New kind of star-shaped polyethers prepared with cyclic oligo(potassium glycidoxide) as macroinitiator. React Funct Polym 67:669–674. doi: 10.1016/j.reactfunctpolym.2007.04.006 CrossRefGoogle Scholar
- 7.Izatt RM, Bradshaw JS, Nielsen SA, Lamb JD, Christensen JI (1985) Thermodynamic and kinetic data for cation-macrocycle interaction. Chem Rev 85:271–339. doi: 10.1021/cr00068a003 CrossRefGoogle Scholar
- 8.Grobelny Z, Swinarew A, Jurek-Suliga J, Skrzeczyna K, Gabor J, Łężniak M (2016) The influence of crown ether and alcohol on unsaturation and molar mass of poly(propylene oxide)s prepared by use of potassium t-butoxide: reinvestigation of chain transfer reactions. J Anal Chem. doi: 10.1155/2016/3727062 Google Scholar
- 9.Koinuma H, Naito K, Hirai H (1982) Anionic polymerization of oxiranes. Macromol Chem 183:1383–1390CrossRefGoogle Scholar
- 10.Kayan A (2015) Synthesis of poly(styrene oxide) with different molecular weights using tin catalysts. Des Monomers Polym 18(6):545–549. doi: 10.1080/15685551.2015.1041086 CrossRefGoogle Scholar
- 11.Ge L, Huang Q, Zhang Y, Shen Z (2000) Ring-opening polymerization of styrene oxide with rare earth coordination catalysts. Eur Polym J 36(12):2699–2705. doi: 10.1016/S0014-3057(00)00056-2 CrossRefGoogle Scholar
- 12.Hachemaoui A, Yahiaoui A, Belbachir M (2008) Structural and photooxidation studies of poly(styrene oxide) prepared with Maghnite-H+ as cationic catalyst. Appl Polym Sci 110(5):3195–3202. doi: 10.1002/app.28912 CrossRefGoogle Scholar
- 13.Oliveira SA, Moura CL, Cavalcante IM, Lopes AA, Leal L, Gramosa NV, Ribeiro M, Franςa F, Yeates S, Ricardo N (2015) Binary Micellar Solutions of Poly(Ethylene Oxide)-Poly(Styrene Oxide) Copolymers with Pluronic® P123: Drug Solubilisation and Cytotoxicity Studies. J Braz Chem Soc. doi: 10.5935/0103-5053.20150205 Google Scholar
- 14.Cabón A, Rey-Rico A, Barbosa A (2013) Poly(styrene oxide)-poly(ethylene oxide) block copolymers: from “classical” chemotherapeutic nanocarriers to active cell-response inducers. J Controlled Release 167:68–75. doi: 10.1016/j.jconrel.2013.01.010 CrossRefGoogle Scholar
- 15.Cambón A, Rey-Rico A, Barbosa S, Brea J, Loza MI, Yeates SG, Alvarez-Lorenzo C, Concheiro A, Taboada P, Mosquera V (2012) Polyethylene Oxide-Polystyrene Oxide Triblock Copolymers as Biological-Responsive Nanocarriers. MRS Proc 1468:12. doi: 10.1557/opl.2012.1447 CrossRefGoogle Scholar
- 16.Harrold ND, Li Y, Chrisholm MH (2013) Studies of ring-opening reactions of styrene oxide by chromium tetraphenylporphyrin initiators. Mechanistic and stereochemical considerations. Macromolecules 46:692–698. doi: 10.1021/ma302492p CrossRefGoogle Scholar
- 17.Brown CA (1974) Potassium hydride, highly active new hydride reagent. Reactivity, applications, and techniques in organic and organometallic reactions. J Org Chem 39:3913–3918. doi: 10.1021/jo00940a025 CrossRefGoogle Scholar
- 18.Grobelny Z, Matlengiewicz M, Jurek J, Michalak M, Kwapulińska D, Swinarew A, Schab-Balcerzak E (2013) The influence of macrocyclic ligands and water on propylene oxide polymerization initiated with anhydrous potassium hydroxide in tetrahydrofuran. Eur Polym J 49:3277–3288. doi: 10.1016/j.eurpolymj.2013.06.035 CrossRefGoogle Scholar
- 19.Penczek S, Cypryk M, Duda A, Kubisa P, Słomkowski S (2007) Living ring-opening polymerizations of heterocyclic monomers. Prog Polym Sci 32:247–282. doi: 10.1016/j.progpolymsci.2007.01.002 CrossRefGoogle Scholar
Copyright information
Open AccessThis article is distributed under the terms of the Creative Commons Attribution 4.0 International License (http://creativecommons.org/licenses/by/4.0/), which permits unrestricted use, distribution, and reproduction in any medium, provided you give appropriate credit to the original author(s) and the source, provide a link to the Creative Commons license, and indicate if changes were made.

















