The optimal treatment of an infectious disease with two strains
- 1k Downloads
- 2 Citations
Abstract
This paper explores the optimal treatment of an infectious disease in a Susceptible-Infected-Susceptible model, where there are two strains of the disease and one strain is more infectious than the other. The strains are perfectly distinguishable, instantly diagnosed and equally costly in terms of social welfare. Treatment is equally costly and effective for both strains. Eradication is not possible, and there is no superinfection. In this model, we characterise two types of fixed points: coexistence equilibria, where both strains prevail, and boundary equilibria, where one strain is asymptotically eradicated and the other prevails at a positive level. We derive regimes of feasibility that determine which equilibria are feasible for which parameter combinations. Numerically, we show that optimal policy exhibits switch points over time, and that the paths to coexistence equilibria exhibit spirals, suggesting that coexistence equilibria are never the end points of optimal paths.
Keywords
Multiple strain infection Economic epidemiology Treatment Optimal controlMathematics Subject Classification
91B55 91B76 93C151 Introduction
Several infectious diseases that pose a pressing problem in developing countries exist in multiple strains, including tuberculosis, HIV, Lyme disease, Human Papillomavirus, Helicobacter pylori and influenza (Balmer and Tanner 2011). Where resources are limited, a uniform treatment policy at the national level may be the most efficient way to tackle these diseases. This paper addresses the following question: what is the optimal treatment policy for an infectious disease that has two strains, which differ in their infectiousness? We take a standard model in epidemiology, the Susceptible-Infected-Susceptible (SIS) model, and extend it to include two strains of infection with different transmission probabilities. In the standard SIS model, individuals move between two states, susceptible and infected, based on exogenous probabilities. The probability of an individual catching a disease when he encounters an infected person depends on an infectivity or transmission parameter. This parameter is usually assumed to be homogeneous, which does not allow for policy differentiation if the disease exists in several strains.
The SIS model is often used to describe sexually transmitted diseases such as chlamydia. Chlamydia trachomatis is an organism that has three human strains: one strain causes trachoma, which is an infection of the eyes; a second strain causes sexually transmitted urethritis, often referred to simply as chlamydia, while a third strain causes the sexually transmitted lymphogranuloma venereum (LGV) (Byrne 2010). Chlamydia, caused by serovars D-K, is also the most common sexually transmitted disease in the United States and the United Kingdom, with over 1.2 million infections detected in the former and over 200 thousand in the latter.1 It can result in serious complications, such as pelvic inflammatory disease, which can lead to infertility if left untreated (Shaw et al. 2011). There are currently no vaccines for chlamydia, and treatment with antibiotics, usually with azithromycin or doxycycline, is necessary (Shaw et al. 2011). LGV is also treated with doxycycline (McLean et al. 2007), while trachoma is treated with azithromycin (Tabbara et al. 1996). Therefore, the optimal treatment mix for the various strains of chlamydia trachomatis is an important public health concern. It has been established in the literature that LGV strains are more infectious than trachoma strains, and that there may even be variation in virulence among trachoma strains (Pearce and Prain 1986; Kari et al. 2008). Reinfection with chlamydia is possible and superinfection does not appear to occur in practise (Heijne et al. 2011; Heiligenberg et al. 2014). Therefore, chlamydia trachomatis satisfies the assumptions of the model analysed in this paper, and as such, the results can provide guidance on the optimal treatment of the diseases that it causes.
We analyse the optimal treatment policy of a two-strain SIS disease, both analytically and numerically. We assume that the two strains differ in their infectivities, and neither superinfection nor eradication of the disease is possible. The policymaker can perfectly observe and target both strains with two separate treatment instruments. First, we provide theoretical results on the possible equilibria of this model. There are two sets of equilibria: non-boundary equilibria, where the two strains co-exist, and boundary equilibria, where one of the strains is endemic while the other is eliminated asymptotically. The feasibility of these equilibria depends on parameter conditions. Broadly speaking, when the infectivities of the two strains are very different, only the boundary equilibria can be achieved, and in particular those where the more infective strain prevails and the less infective strain is asymptotically eradicated. When the strains are quite similar, all equilibria are feasible. We demonstrate that in the coexistence equilibria, the more infective strain must receive more treatment than the less infective strain. These results lie in contrast to the equilibrium with no intervention, when the less infectious strain dies out.
We provide numerical examples where we simulate the model and look for optimal treatment policy along the path to the fixed points. We find that policy exhibits switch points along the path, implying that policy flexibility is beneficial, and that a static model would be too restrictive. We are unable to find a path towards a coexistence equilibrium that is optimal, in the sense of not being a spiral. We tentatively conclude that the coexistence equilibria can never be the end points of optimal paths, and that the boundary equilibria are always the optimal ones.
The ideas in this paper relate closely to the theory of competitive exclusion in ecology, which postulates that the coexistence of two or more species limited by one resource (in our case, two strains limited by one host population) is not possible (Armstrong and McGehee 1980). For example, Iggidr et al. (2006) demonstrate in the context of multiple-strain malaria that an equilibrium is either disease-free or has at most one surviving strain.
However, this is not always the case, provided some assumptions are relaxed, such as allowing for cycles in the persistence of species (Armstrong and McGehee 1980). In a model of renewable natural resources, coexistence of species is possible, with the stocks of the two resources higher in a mutualistic than a competitive equilibrium (Ströbele and Wacker 1991). In the case of an SIS model, coexistence of two strains is possible if one allows for superinfection and age structure (Li et al. 2010). Elbasha and Galvani (2005), in a model of two-strain Human Papillomavirus vaccines, show that when individuals are vaccinated for only one of the two strains, the equilibrium depends on whether the strains are synergistic (in which case vaccination also reduces the prevalence of the non-targeted strain) or antagonistic (where vaccination increases the prevalence of the other strain). Castillo-Chavez et al. (1999) demonstrate in a two-strain two-sex SIS model of a sexually transmitted disease that a unique coexistence equilibrium can occur under certain conditions. We show that in our two-strain SIS model, it is sometimes feasible for both strains to coexist, especially if they are not too different in their infectiousness. If one strain is much more infectious than the other, then it is only feasible to strive for the eradication of the less infectious strain, while allowing the more infectious strain to be endemic.
This paper builds on the economic epidemiology literature, which examines optimal intervention in tackling infectious diseases. Rowthorn et al. (2009) examine the optimal way to treat a disease with spatial dynamics, while Rowthorn (2006) considers the optimal treatment of a disease when policymakers have limited funds. There are important tradeoffs between treatment and vaccination as two instruments available to a policymaker (Rowthorn and Toxvaerd 2015). In general, a lack of intervention yields to inefficiently low uptake of vaccination (Chen and Toxvaerd 2014). While there is a rich literature that describes disease dynamics in the absence of intervention, the study of optimal intervention is still in its early stages, and this paper contributes to that literature.
The biology literature has shown the pervasiveness of diseases that exist in multiple strains, for which treatment and vaccination may have to vary. Lyme disease has at least 14 known strains.2 Seinost et al. (1999) present strong evidence that strains of Lyme disease have different infectivities. Other multiple-strain infections include Human Papillomavirus, which includes high-risk strains that are a leading cause of cervical cancer and low-risk strains that do not cause cancer, as well as tuberculosis, where some strains are particularly drug resistant (Castillo-Chavez and Feng 1997).3 Influenza is a multiple-strain disease: Truscott et al. (2012) argue that accurate modelling of influenza should not neglect the presence of several strains. HIV also exists in two forms: HIV-1 and HIV-2. Studies show that the less common HIV-2 strain is also less infectious than its counterpart for most of its infectious period.4 Accurate measurement of the transmission rate is the key to realistic simulations of HIV/AIDS prevalence rates for the USA and Africa (Oster 2005), which highlights both the importance of the transmission rate in describing an infection and the particular relevance of this paper to developing countries.
The paper proceeds as follows. Section 2 provides an overview of some theoretical concepts while Sect. 3 outlines the SIS model with two strains. Section 4 discusses the equilibria of the model and Sect. 5 provides examples of simulations. Section 6 concludes.
2 Relevant concepts
It is useful to review some relevant concepts before the central analysis of the paper. The SIS model belongs to the category of transmission system models, which are built on differential equations that describe the evolution of disease prevalence over time as a function of parameters. It has become standard to assume random mixing in models of this type: agents are equally likely to encounter any other agent in the population.5 There are two possible states: individuals are either susceptible or infected. They can move between the two states an unlimited number of times. Agents are homogeneous and the population is closed. If a susceptible agent encounters an infected agent, the susceptible agent becomes infected with a certain probability, termed the transmission probability. Typically, these models assume a homogeneous transmission parameter for all agents. The standard SIS model is in continuous time. At every time increment, a proportion of infected individuals is treated with a certain success rate of treatment (which can be interpreted as a rate of recovery). There is also the possibility of spontaneous or natural recovery.
Our model differs from the standard SIS model in two key ways: the disease has two strains with distinct transmission rates and the policymaker has two policy instruments. We make three further assumptions about the nature of the disease: transmission is through human-to-human contact rather than vector-borne, superinfection is not possible and agents can recover fully from the disease. SIS models are often used to describe sexually transmitted diseases (Keeling and Eames 2005), and chlamydia is an appropriate example of an SIS disease with multiple strains (Byrne 2010).
Optimal policy determines what proportion of individuals to treat at each point in time subject to the cost of treatment, the value of susceptible and infected individuals to social welfare, as well as the transmission dynamics. Studies focus on deriving equilibria and looking for policy switches over time. Policy generally takes the form of a Most Rapid Approach Path (MRAP)—the policy that takes the system the fastest way to the desired equilibrium. Another point of interest is Skiba points or curves, which delineate points where the policymaker is indifferent between policies.6
An analysis of optimal treatment in the one-strain SIS model can be found in Rowthorn (2006) and Goldman and Lightwood (2002). We summarise their results here as a brief indication of what one might expect from a two-strain model. Two types of equilibria of the model exist: the policy instrument is either at a boundary, where no one or everyone is treated, or policy is interior, with partial treatment of the population. It is never optimal to treat partially; it can be shown that optimal policy will always take on one of the two boundary values. Whether it is optimal to treat everyone or no one depends on the parameters at hand.
3 The SIS model with two strains
The model has the following characteristics. The two variants of the infection are High (H, high infectivity) and Low (L, low infectivity). The more infectious variant H has transmission rate \(\beta _{H}\) while the less infectious variant L is characterised by transmission rate \(\beta _{L} \).7 The two policy instruments are \(f_{H},f_{L}\in [0,1]\), which measure the proportion of the infectees in each strain that are treated. The success rate of treatment is \(\alpha \in (0,1]\). We assume that the policymaker has perfect information about the prevalence of each strain in the population and can therefore target treatment of each strain perfectly.8
Individuals can catch either strain at the outset. When infected, they transmit the strain that they themselves are infected with. There is a possibility of exogenous recovery at rate \(\tau \in (0,1]\). If individuals recover, they are again susceptible to either infection strain. The proportion of the total population infected with the High strain is \(I_{H}\). The proportion infected with the Low strain is \(I_{L}\). To ease calculations, the total population is normalised to size 1: \(I_{H}+I_{L}+S=1\), where S denotes the population of healthy individuals (susceptibles). All parameters are strictly positive. The policymaker places value p on healthy individuals, value 0 on infected individuals and discounts the future at rate \(\delta \). She also faces a constant marginal cost c of treatment.
4 Fixed points
In the analysis of dynamic models, of primary interest are the equilibria or fixed points of the model. In this section, we discuss the fixed points of the system and under which conditions they are attainable.
4.1 Analysis of non-boundary fixed points
We propose that there are two types of equilibria: non-boundary fixed points and asymptotic fixed points. They are defined as follows.
Definition 1
A non-boundary fixed point (FP) is a solution \((f_{H}^{*},f_{L}^{*},I_{H}^{*},I_{L}^{*},\lambda _{H}^{*},\lambda _{L}^{*})\) satisfying Eqs. (2), (3), (5), (6), (7) and (8), as well as \(\dot{I}_{H}=\dot{I} _{L}=\dot{\lambda }_{H}=\dot{\lambda }_{L}=\dot{f}_{H}=\dot{f}_{L}=0\).
Definition 2
An asymptotic fixed point (AFP) is a fixed point of the degenerate system in which one of \((I_{H},I_{L})\) equals zero and towards which there are paths with \(I_{H}>0,I_{L}>0\) that converge asymptotically to this fixed point. We look for the treatment values \((f_{H}^{*},f_{L}^{*})\) in the vicinity of this fixed point that ensure this asymptotic convergence. On the boundary where one of the strains reaches zero prevalence (e.g. \(I_{H}\)), the co-state variable for that strain (e.g. \(\lambda _{H}\)) will be infinite, while the co-state variable of the other strain (e.g. \(\lambda _{L} \)) will be finite. In this sense, it is not a fixed point of the four variable system \((I_{H} ,I_{L},\lambda _{H},\lambda _{L})\).
The key difference between AFPs and FPs is that some variables at an AFP are not constant: they move towards a constant but only reach it in the limit. The following Lemma reduces the set of feasible non-boundary fixed points to three:
Lemma 1
At any fixed point, the proportion of \(I_{H}\) treated must be greater than the proportion of \(I_{L}\) treated: \(f_{H}^{*}>f_{L}^{*}\).10 Therefore, only the following combinations of treatment at the fixed point are feasible:\(\ (f_{H}^{*}=1,f_{L}^{*}=0);\) \((f_{H}^{*}=1,f_{L}^{*}\in (0,1));\) \((f_{H}^{*}\in (0,1),f_{L}^{*}=0)\). This implies that there are three potential non-boundary fixed points.
Proof
4.1.1 Case 1: \(f_{H}^{*}\in (0,1)\)
4.1.2 Case 2: \(f_{H}^{*}=1\)
4.2 Summary of non-boundary fixed points
- (a)
If \(K<1\) and \(K\ge \frac{\delta }{\alpha }\) there is a unique non-boundary feasible fixed point \((I_{H}^{*},I_{L}^{*}).\) The control variables are \(f_{H}^{*}=1\) and \(f_{L}^{*}=\frac{\beta _{L}}{\beta _{H} }\left[ 1-K\right] .\)
- (b)
If \(K<1\) and \(K<\frac{\delta }{\alpha }\) there are two feasible non-boundary fixed points: \((I_{H}^{*},I_{L}^{*})\) with the control variables \(f_{H}^{*}=1\) and \(f_{L}^{*}=\frac{\beta _{L}}{\beta _{H} }\left[ 1-K\right] \); and \((I_{H}^{**},I_{L}^{**})\) with control variables \(f_{H}^{**}=K\) and \(f_{L}^{**}=0.\)
- (c)
If \(K=1\ \)the control variables satisfy \(f_{H}^{***}=1,f_{L}^{***}=0.\) In this case, there is a continuum of feasible fixed points \((I_{H}^{***},I_{L}^{***})\) which lie on the line \(I_{H}^{***}+I_{L}^{***}=1-\frac{\tau +\alpha }{\beta _{H}}=1-\frac{\tau }{\beta _{L}}.\)
4.3 Analysis of asymptotic fixed points
The asymptotic fixed points are defined such that one strain approaches eradication asymptotically, while the other prevails at a positive level. As a result, the behaviour of the system in the neighbourhood of the fixed point can be approximated by the behaviour of a one-infection system. This is because the behaviour of the system with small \(I_{L}\) is very similar to the behaviour when \(I_{L}=0\). Naturally, this holds for \(I_{H}\) close to zero as well.
The behaviour of a one-infection system has been studied by Rowthorn (2006) and discussed in Sect. 2. Only boundary values for policy are optimal. This is because the co-state variable is a function of prevalence only in this type of problem. This implies that there must be a one-to-one mapping between prevalence and the co-state variable. However, the co-state variable changes with time. Therefore, a path cannot go back on itself in order to achieve two different values of the co-state variable for one level of prevalence. Interior values of policy require a path that goes back on itself (Rowthorn 2006). Therefore, interior values of policy cannot be optimal because they violate the assumption of the co-state variable being a function of prevalence.
To analyse asymptotic fixed points, we analyse a one-infection system and perturb it around this equilibrium point slightly. There are two possible categories of fixed points: those were \(I_{H}\) tends asymptotically towards zero, and those where \(I_{L}\) tends asymptotically towards zero.
4.3.1 \(I_{H}=0\) boundary
4.3.2 \(I_{L}=0\) boundary
Suppose next that \(I_{L}=0\). By symmetry, there are two potential categories of fixed points, with \(f_{H}^{*}=0\) or \(=1\). Let \(I_{H}^{high},I_{H}^{low}\) be the corresponding levels of infection. When are these feasible?
4.4 Summary of asymptotic fixed points
- (a)
\(A_{L}^{high}\), with \(f_{H}^{*}=1\), \(f_{L}^{*}=0\) and \(I_{H}\rightarrow 0,\)
- (b)
\(A_{H}^{high}\) with \(f_{L}^{*}\in \{0,1\}\), \(f_{H}^{*}=0\) and \(I_{L}\rightarrow 0,\)
- (c)
\(A_{H}^{low}\) with \(f_{L}^{*}=1\), \(f_{H}^{*}=1\) and \(I_{L}\rightarrow 0.\)
- (a)
\(A_{H}^{high}\) with \(f_{L}^{*}\in \{0,1\}\), \(f_{H}^{*}=0\) and \(I_{L}\rightarrow 0,\)
- (b)
\(A_{H}^{low}\) with \(f_{L}^{*}=1\), \(f_{H}^{*}=1\) and \(I_{L}\rightarrow 0,\)
- (c)
Skiba case. The optimum path goes to either \(A_{H}^{low}\) or \(A_{H}^{high}\) depending on the starting point.
However, the following Proposition shows that asymptotic eradication of both strains of the disease is never possible:
Proposition 1
Proof
In Appendix B. \(\square \)
This proposition shows that even if both AFPs are feasible, asymptotic eradication of the disease is not possible and at least one strain always prevails.
4.5 Extensions to the model
In reality, strains do vary in factors such as drug resistance and the cost of treatment. In the present model, this could be modelled by varying the parameters \(\alpha ,\tau \) and c by strain.
Varying cost by strain would not affect prevalence or the fixed points that can be attained by the policymaker, but would affect the choice of equilibrium to converge to. This is ultimately a numerical question. It seems intuitive to assume that \(c_{H}>c_{L}\): it is more expensive to treat those infected with the High strain. The effect on the optimal equilibrium would depend how these values compare to the homogeneous cost parameter c. It could be that the overall cost goes down for a given level of treatment (such as if \(c_{H}\) is slightly higher than c, but \(c_{L}\) is much lower than c), in which case the policymaker would be more likely to pick an equilibrium where more people are treated, such as \(F^{low}\).
4.6 Feasibility
4.6.1 Summary of regimes of feasible equilibria
In this section we plot the feasible equilibria for each regime of K. Recall that if \(K<1\), the set of feasible equilibria is \(Z_{K<1}=\{F^{low} ,F^{high},A_{L}^{high},A_{H}^{high},A_{H}^{low}\}\). If \(K=1\), the set of feasible equilibria is \(Z_{K=1}=\{F^{int},A_{H}^{high},A_{H}^{low}\}\). If \(K>1\), the set of feasible equilibria is \(Z_{K>1}=\{A_{H}^{high},A_{H} ^{low}\}\). As K increases, the set of feasible equilibria falls: there are fewer ways in which the disease can be contained. This is because a higher K occurs when treatment is ineffective or when the strains differ substantially in their infectivities, making it difficult to control both of them.
As K increases, the minimum attainable equilibrium prevalence of \(I_{H}\) rises. This makes intuitive sense, as K is increasing in \(\beta _{H}\) and in the difference between \(\beta _{H}\) and \(\beta _{L}\). Where this difference is very large, \(K>1\) and the only feasible equilibrium is the AFP where \(I_{L}\) tends asymptotically towards zero and \(I_{H}\) prevails at a positive level. In contrast, when \(\beta _{H}\) is low, \(K<1\) and one can attain equilibria such as \(F^{low}\), where the equilibrium prevalence of \(I_{H}\) can be close to zero.
The set of feasible equilibria when \(K>1\). The full circles denote the two equilibria \(A_{H}^{high}\) and \(A_{H}^{low}\)
The set of feasible equilibria when \(K=1\). The full circles show the equilibria \(A_{H}^{high}\) and \(A_{H}^{low}\). The dashed line denotes the continuum of equilibria of type \(F^{int}\)
The set of feasible equilibria when \(K<1\). The full circles denote the equilibria \(A_{L}^{high}\) (on the x-axis) \(,A_{H}^{high}\) and \(A_{H} ^{low}\) (on the y-axis). The empty circles denote the feasible equilibria \(F^{low}\) and \(F^{high}\) for this set of parameters, with the latter having higher total prevalence
4.6.2 An intuitive explanation and some examples
It is useful to introduce some parameter values in order to better understand the policy implications of these results. There are, in total, five individual fixed points: three non-boundary fixed points (one of which is in fact a continuum of feasible fixed points with the same total prevalence across the two strains) and two asymptotic fixed points. Feasibility depends on the value of \(K=\left( \frac{\beta _{H}-\beta _{L}}{\beta _{L}}\right) \frac{\tau }{\alpha }\). In order for the interior fixed points to exist, we require \(K\le 1\). If \(K<1\) and \(K<\frac{\delta }{\alpha }\), then two non-boundary fixed points exist, which suggest the existence of a Skiba line. A further consideration is whether the assumption \(\beta _{H}>\beta _{L}>\tau +\alpha \) is satisfied, which ensures that the disease cannot be eradicated, even asymptotically.
- (a)
The relative difference between the infectivities, \(\frac{\beta _{H}-\beta _{L}}{\beta _{L}}\), is not too high.
- (b)
The natural recovery rate is not too high relative to the success rate of treatment: \(\frac{\tau }{\alpha }\) is not too high.
- (c)
The future is not discounted too highly: \(\delta \) is high enough.
- (d)
The infectivity probabilities, \(\beta _{H}\) and \(\beta _{L}\), are high relative to the recovery probabilities, \(\tau \) and \(\alpha \)
Let us consider two examples that illustrate these points. First, suppose that \(\beta _{H}=0.9\), \(\beta _{L}=0.1\): the High strain is very infectious, relative to the Low strain. In order for \(K<1\), we require \(\tau <\frac{\alpha }{8} \): the treatment needs to be very effective, relative to the natural rate of recovery. In addition, we require \(\tau +\alpha <0.1\), in order for the disease to not be eradicated. One possible set of values for \((\tau ,\alpha )\) is (0.004, 0.04). Thus, in the example of a disease where the High strain is very infectious, the only way that both strains can co-exist in a non-boundary fixed point is when both the natural rate of recovery and the success rate of treatment are extremely low. Note that this example also requires a value of \(\delta >0.8\), which is reasonable, given that the economics literature usually assumes a discount rate of 0.95 or 0.99 (the latter is implied by an annual interest rate of 4%). If natural recovery is somewhat higher, e.g. if \(\tau =\alpha =0.04\), then we will end up in the situation where the Low strain is asymptotically eradicated, and the High strain prevails in equilibrium. If either the natural recovery rate or the treatment success are high, e.g. if \(\alpha =0.2\), even if \(\tau =0.004\), then both strains will be (asymptotically) eradicated.
Second, suppose that we have a very effective form of treatment with \(\alpha =0.9\), but individuals naturally recover from the disease only rarely, so that \(\tau =0.1\). In this case, the disease will be eradicated, because the condition \(\beta _{H}>\beta _{L}>\tau +\alpha \) can never be satisfied. Suppose that instead we have a disease where \(\alpha =0.8\) and \(\tau =0.1\). Here, we require \(\beta _{H}>\beta _{L}>0.9\), so that infection is almost guaranteed when a susceptible individual meets an infected individual of either strain. One combination of values of \(\left( \beta _{H},\beta _{L}\right) \) that ensures coexistence of both strains in equilibrium is (0.99, 0.95). This set of parameters requires \(\delta >0.004\), which is easily satisfied.
The general lesson from these examples is that where treatment is very successful, the disease needs to be highly infectious in order to prevail. An interesting finding is that the rate of natural recovery relative to the success of treatment is also important: coexistence of both strains is more likely when natural recovery is low, but the treatment is very successful. Finally, coexistence of both strains is more likely when they are similar in their infectivities. This makes sense intuitively, as the bigger the difference, the more likely that the infectivity of the High strain will cause the Low strain to die out.
4.6.3 Feasible policies along the path to the fixed points
Feasible policies along the path
| \(\dot{I}_{H},\dot{I}_{L}>0\) | \(\dot{I}_{H},\dot{I}_{L}<0\) | |
|---|---|---|
| \(P^{00}\) | \(1-\frac{\tau }{\beta _{L}}>I_{H}+I_{L}\) | \(1-\frac{\tau }{\beta _{H}}<I_{H}+I_{L}\) |
| \(P^{10}\) | \(1-\frac{\tau }{\beta _{L}}>I_{H}+I_{L}\) | \(1-\frac{\tau +\alpha }{\beta _{H}}<I_{H}+I_{L}\) |
| \(P^{11}\) | \(1-\frac{\tau +\alpha }{\beta _{L}}>I_{H}+I_{L}\) | \(1-\frac{\tau +\alpha }{\beta _{H}}<I_{H}+I_{L}\) |
| \(P^{01}\) | \(1-\frac{\tau +\alpha }{\beta _{L}}>I_{H}+I_{L}\) | \(1-\frac{\tau }{\beta _{H}}<I_{H}+I_{L}\) |
Feasible policies depicted for the case when \(K<1\), where the arrows denote the range where the policy \((f_{H},f_{L})\) is feasible. At \(*\), the policies are (0, 1) and (1, 1). The empty circles denote the feasible equilibria \(F^{high}\) and \(F^{low}\) for this set of parameters
The message of this figure is that when one starts below an equilibrium, feasible policies to reach the equilibrium usually involve treating no one or just one strain. This allows total prevalence to increase. On the other hand, when one starts above an equilibrium, feasible policies that ensure the equilibrium is reached treat at least one group, in order to ensure that prevalence falls. Thus, \(F^{high}\) and \(F^{low}\) can be reached from above with the policies \((f_{H},f_{L})=(1,0)\) and (1, 1), while they can be reached from below with the policies (1, 0) and (0, 0).
4.7 Summary of analytical results
Summary of analytical results
| Equilibrium | \(f_{H}^{*}\) | \(f_{L}^{*}\) | Feasible |
|---|---|---|---|
| \(F^{high}\) | \(\frac{(\beta _{H}-\beta _{L})}{\beta _{L}}\frac{\tau }{\alpha } \) | 0 | \(K<1,K<\frac{\delta }{\alpha }\) |
| \(F^{low}\) | 1 | \(1-\frac{(\beta _{H}-\beta _{L})}{\beta _{H}}\frac{\tau +\alpha }{\alpha }\) | \(K<1\) |
| \(F^{int}\) | 1 | 0 | \(K=1\) |
| \(A_{L}^{high}\) | 1 | 0 | \(K<1\) |
| \(A_{H}^{high}\) | 0 | \(\in \{0,1\}\) | All K |
| \(A_{H}^{low}\) | 1 | 1 | All K |
5 Simulations
In this section, we provide examples of optimal policy under various parameter combinations. When \(K>1\), the candidate equilibria are \(A_{H}^{high}\) and \(A_{H}^{low}\). Simulations can tell us, under particular parameter values, which equilibrium it is optimal to go to, and what is the best way to get there. We explore the case when \(K>1\) in the first part of this section. Next, we consider the situation when \(K<1\). In this case, there is a wide set of feasible equilibria, and it is not possible to simulate an optimal choice of equilibrium because the derivations of optimal policy are only correct in the neighbourhood of each equilibrium. Instead, we suppose that it is optimal to go to the non-boundary fixed point \(F^{low}\), and simulate optimal policy towards this point. We find that, in all the simulations that we estimate, optimal policy involves a spiral. We argue that this suggests that the interior fixed points are unlikely to ever be an optimal target for the policymaker.12
5.1 Optimal policy when \(K>1\)
Parameter values for K > 1
| Parameter | Value |
|---|---|
| \(\beta _{H}\) | 0.95 |
| \(\beta _{L}\) | 0.4 |
| \(\tau \) | 0.15 |
| \(\alpha \) | 0.2 |
| p | 1 |
| \(\delta \) | 0.111 |
Some relevant concepts ought to be explained at this stage. First, we examine both optimal fixed and optimal variable policy. Optimal fixed policy compares the social welfare from choosing various policies at the beginning and not changing them until equilibrium. Optimal variable policy uses the Hamiltonian optimality conditions (5) and (6) to evaluate optimal policy at each time increment, using a fourth-order Runge-Kutta procedure. Paths with optimal variable policy are described as Hamiltonian paths because they satisfy these Hamiltonian optimality conditions. In the case of variable policy, we examine both forward and backward paths. This means that, starting from an initial prevalence, we simulate the system both towards and away from the fixed point. This is carried out by setting time increments equal to \(+1\) and \(-1\) respectively. As a result, it is possible to describe a longer optimal path than if we were to only simulate the system towards equilibrium.
5.1.1 Fixed policy
In this first set of simulations, we assume that policy is fixed along the entire path to equilibrium. This is a special case that can guide intuition, as policy may not always have the benefit of full flexibility. We assume that the policymaker chooses \(f_{L}^{*}=1\), and compare social welfare V when \(f_{H}^{*}=1\) or \(f_{H}^{*}=0\). When the system begins, the policymaker chooses whether to treat everyone or no one infected with the High strain. The optimal policy is the choice of \(f_{H}^{*}\) that gives the highest value of social welfare.13 The simulations set \(t=90\). Each time increment can be interpreted as one day, which implies that the results simulate an infection evolving over 90 days. The initial prevalence of the Low strain is set to 0.1.
Optimal fixed policy as cost varies
| Region | c | \(f_{H}^{*}\) | \(f_{L}^{*}\) |
|---|---|---|---|
| I (low costs) | \(c<0.2875\) | 1 | 1 |
| II (intermediate costs) | \(0.2875\le c\le 0.3006\) | 0 or 1, depending on \(I_{H}^{0}\) | 1 |
| III (high costs) | \(c>0.3006\) | 0 | 1 |
5.1.2 Variable policy
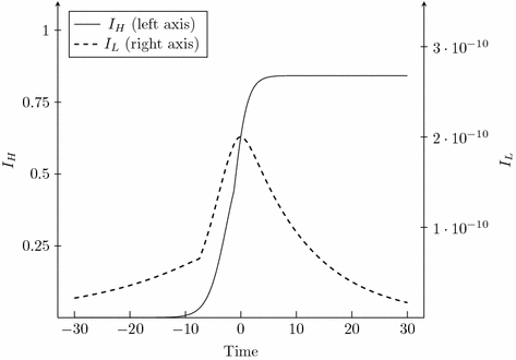
Evolution of prevalence along the path towards equilibrium \(A_{L}^{high}\), with \(I_{H}^{0}=0.6316,\) \(I_{L}^{0}=2*10^{-10}\) and \(c=0.4 \). Time >0 is the forward path, while time <0 is the backward path
Optimal policy along the path towards \(A_{L}^{high}\), with \(I_{H} ^{0}=0.6316,\) \(I_{L}^{0}=2*10^{-10}\) and \(c=0.4\). Time \(>0\) is the forward path, while time \(<0\) is the backward path
5.2 Optimal policy when \(K<1\)
Parameter values for K>1
| Parameter | Value |
|---|---|
| \(\beta _{H}\) | 0.8 |
| \(\beta _{L}\) | 0.4 |
| \(\tau \) | 0.15 |
| \(\alpha \) | 0.2 |
| p | 1 |
| \(\delta \) | 0.222 |
Evolution of prevalence along the path towards equilibrium \(F^{low}\), with \(I_{H}^{0}=0.0755,\) \(I_{L}^{0}=\) 0.4870 and \(c=0.4\). This path is simulated only backwards
Evolution of optimal policy along the path towards equilibrium \(F^{low}\), with \(I_{H}^{0}=0.0755,\) \(I_{L}^{0}=\) 0.4870 and \(c=0.4\). This path is simulated only backwards
5.3 Chlamydia trachomatis
There are challenges to estimating the right parameter values for diseases such as chlamydia and LGV. Due to a lack of studies on LGV, we use the recovery rate and treatment success rate of chlamydia. The transmission parameter depends on the number of contacts between the infected partner and the non-infected partner, and we use the per-partnership parameter estimated by Althaus et al. (2012). We were unable to find an estimate of the transmission parameter for LGV, but we know that it is higher than that for chlamydia, so we set it marginally higher at 0.6. Next, the spontaneous recovery parameter is challenging to measure because of the ethical considerations of not treating individuals diagnosed with chlamydia (Geisler 2010). Geisler et al. (2008) screened individuals for chlamydia and then screened them again when they came for a treatment visit, for which the median was 13 days later, where they found spontaneous resolution in 18% of patients. Finally, the treatment success probability faces the challenge of non-compliance (Bachmann et al. 1999). We use the measured success rate of treatment with azithromycin in a meta-analysis of randomised control trials, which is found to be 97% (Lau and Qureshi 2002).
These parameters imply two observations about chlamydia trachomatis in our model: first, the value of K is less than one, so that the full range of fixed points should be attainable—those that involve coexistence of chlamydia and LGV, and those that involve asymptotic eradication of chlamydia and positive prevalence of LGV, although our simulations suggest that coexistence is not the end of an optimal path. Second, and more importantly, both diseases should be possible to eradicate, if everyone who is infected is treated. The question then is why the prevalence of chlamydia, for example, is around 6% among people younger than 25 in the UK (Macleod et al. 2005). The likely reason is that chlamydia is often an asymptomatic disease: 75-85% women are asymptomatic, while over 50% of men are asymptomatic (Risser et al. 2005). Thus, the treatment parameter is far from equal to one. In fact, a rough back-of-the envelope calculation, assuming values of \(I_{H}^{*}=0.001,I_{L}^{*}=0.06\) and the fact that total prevalence in equilibrium is given by Eq. (3) implies a treatment parameter of \(f_{L}=0.35\).16 This suggests that only 35% of individuals infected with chlamydia at any given time are treated.
6 Conclusion
We have derived analytically the fixed points in an SIS model with two strains, where neither superinfection nor eradication of the strains are possible, and the policymaker has access to two separate treatment instruments. We have characterised two types of fixed points: non-boundary fixed points, where the two strains co-exist, and boundary fixed points, which involve the asymptotic eradication of one strain. The feasibility of these fixed points depends on parameter values: we have defined the parameter K, which delineates three regimes of feasibility. For \(K>1\), the only attainable equilibria are those where the Low strain is asymptotically eradicated and the High strain prevails. For \(K\le 1\), the coexistence of the two strains is a feasible equilibrium.
The simulations present two interesting results. First, when \(K>1\), optimal policy along the path to equilibrium exhibits switch points. This implies that a fixed policy is suboptimal. Further, in the neighbourhood of the equilibrium in our example, it is optimal to treat no one. This still allows the eradication of the Low strain. Second, when \(K<1\), we simulate optimal policy in the neighbourhood of one of the non-boundary fixed points. We find that optimal policy exhibits a spiral. This suggests that this equilibrium can never be the end point of an optimal path, and hence that coexistence, although feasible, is unlikely to be optimal. This suggests that for all values of K, the welfare-maximising policy is one that leads to one of the asymptotic equilibria.
Further research should consider extending this model to include protection via vaccination as another instrument available to the policymaker.
Footnotes
- 1.
Centers for Disease Control and Prevention Morbidity and Mortality Weekly Report (April 1 2011) and Public Health England, Infection Report, Volume 9 Number 22.
- 2.
Lyme Disease Association of Australia (http://lymedisease.org.au).
- 3.
Centers for Disease Control and Prevention, http://www.cdc.gov.
- 4.
More information on this can be found at the Centers for Disease Control and Prevention (http://www.cdc.gov/hiv/topics/basic) as well as the charity AVERT (http://www.avert.org/hiv-types.htm).
- 5.
- 6.
- 7.
An index of notation and acronyms used in the paper can be found in Appendix A.
- 8.
Other assumptions are possible; for example, a policymaker may know an individual is ill but not which strain of the disease he has. In this case, the policymaker would effectively have only one policy instrument at hand. Manski (2013) discusses treatment under uncertainty.
- 9.
Note that \(\lambda _{H}\) and \(\lambda _{L}\) are always negative, as an additional infected person in the population lowers social welfare. I write the condition here in absolute values to ease interpretation.
- 10.
This result depends on the assumption that the success rate of treatment \(\alpha \) and the natural rate of recovery \(\tau \) are the same between the two strains. If \(\alpha \) or \(\tau \) were substantially higher for the High strain than the Low strain, this result could be reversed, with more treatment mandated for the Low strain. See Sect. 4.5.
- 11.
These figures are illustrated for the following parameter values: \(\beta _{L}=0.4,\) \(\tau =0.15\) and \(\alpha =0.2\), with \(\beta _{H}=0.95\) for \(K>1\), \(\beta _{H}=0.9\dot{3}\) for \(K=1\), and \(\beta _{H}=0.8\,\ \)for \(K<1\).
- 12.
In our simulations, we also explored the properties of “singular solutions”. A singular solution is a path along which one of the control variables takes an interior value (i.e. strictly less than one and greater than zero). Such paths were not optimal in the cases we examined.
- 13.
Note that when \(f_{H}^{*}=1\), \(I_{H}^{*}=1-\frac{\tau +\alpha }{\beta _{H}}=0.6316\). When \(f_{H}^{*}=0\), \(I_{H} ^{*}=1-\frac{\tau }{\beta _{H}}=0.8421\).
- 14.
All of these simulations show the same qualitative results when the initial prevalence of the Low strain is set to a smaller value: \(I_{L}^{0}=0.01,I_{L}^{0}=0.001\) and \(I_{L}^{0}=0.0001\).
- 15.
The backward paths are necessarily Hamiltonian paths as long as the Hamiltonian conditions for the forward paths are satisfied. This is because the backward paths are merely a continuation, albeit in the opposite direction, of the Hamiltonian paths.
- 16.
This is implied by an equilibrium prevalence of \(I_{H}+I_{L}=1-\frac{\tau +\alpha f_{L}}{\beta _{L}}\). The prevalence of LGV is very low: Ward et al. (2007) estimate that there were only 327 cases in the UK between 2004 and 2006. We assume a prevalence of 0.001 but setting this number closer to zero would not have a substantive impact on our estimate of \(f_{L}\).
References
- Althaus CL, Heijne JC, Low N (2012) Towards more robust estimates of the transmissibility of Chlamydia trachomatis. Sex Transm Dis 39(5):402–404CrossRefGoogle Scholar
- Anderson RM, May RM (1991) Infectious diseases of humans: dynamics and control. Oxford University Press, OxfordGoogle Scholar
- Armstrong RA, McGehee R (1980) Competitive exclusion. Am Nat 115(2):151–170MathSciNetCrossRefGoogle Scholar
- Bachmann LH, Stephens J, Richey CM, Hook EW 3rd (1999) Measured versus self-reported compliance with doxycycline therapy for Chlamydia-associated syndromes: high therapeutic success rates despite poor compliance. Sex Transm Dis 26(5):272–278CrossRefGoogle Scholar
- Balmer O, Tanner M (2011) Prevalence and implications of multiple-strain infections. Lancet Infect Dis 11(11):868–878CrossRefGoogle Scholar
- Bansal S, Grenfell BT, Meyers LA (2007) When individual behaviour matters: homogeneous and network models in epidemiology. J R Soc Interface 4:16CrossRefGoogle Scholar
- Byrne GI (2010) Chlamydia trachomatis strains and virulence: rethinking links to infection prevalence and disease severity. J Infect Dis 201(Suppl 2):S126–S133CrossRefGoogle Scholar
- Castillo-Chavez C, Huang W, Li J (1999) Competitive exclusion and coexistence of multiple strains in an SIS STD model. SIAM J Appl Math 59(5):1790–1811MathSciNetCrossRefMATHGoogle Scholar
- Castillo-Chavez C, Feng Z (1997) To treat or not to treat: the case of tuberculosis. J Math Biol 35:629–656MathSciNetCrossRefMATHGoogle Scholar
- Chen FH, Toxvaerd F (2014) The economics of vaccination. J Theor Biol 363:105–117CrossRefMATHGoogle Scholar
- De Vries R, Van Bergen JEAM, Jong-van De, den Berg LTW, Postma MJ (2006) Systematic screening for Chlamydia trachomatis: estimating cost-effectiveness using dynamic modeling and Dutch data. Value Health 9(1):1–11CrossRefGoogle Scholar
- Elbasha EH, Galvani AP (2005) Vaccination against multiple HPV types. Math Biosci 197(1):88–117MathSciNetCrossRefMATHGoogle Scholar
- Geisler WM (2010) Duration of untreated, uncomplicated Chlamydia trachomatis genital infection and factors associated with chlamydia resolution: a review of human studies. J Infect Dis 201(Suppl 2):S104–S13CrossRefGoogle Scholar
- Geisler WM, Wang C, Morrison SG, Black CM, Bandea CI, Hook EW 3rd (2008) The natural history of untreated Chlamydia trachomatis infection in the interval between screening and returning for treatment. Sex Transm Dis 35:119–123CrossRefGoogle Scholar
- Goldman SM, Lightwood J (2002) Cost optimisation in the SIS model of infectious disease with treatment. B. E. J Econ Anal Policy (Topics) 2(1):1–22Google Scholar
- Heiligenberg M, Verweij SP, Speksnijder AGCL, Morre SA, De Vries HJC, Schim van der Loeff MF (2014) No evidence for LGV transmission among heterosexuals in Amsterdam, the Netherlands. BMC Res Notes 7Google Scholar
- Heijne JCM, Althaus CL, Herzog SA, Kretzschmar M, Low N (2011) The role of reinfection and partner notification in the efficacy of Chlamydia screening programs. J Infect Dis 203(3):372–377CrossRefGoogle Scholar
- Iggidr A, Kamgang J-C, Sallet G, Tewa J-J (2006) Global analysis of new malaria intrahost models with a competitive exclusion principle. SIAM J Appl Math 67(1):260–278MathSciNetCrossRefMATHGoogle Scholar
- Kari L, Whitmire WM, Carlson JH, Crane DD, Reveneau N, Nelson DE, Mabey DCW, Bailey RL, Holland MJ, McClarty G, Caldwell HD (2008) Pathogenic diversity among Chlamydia trachomatis ocular strains in nonhuman primates is affected by subtle genomic variations. J Infect Dis 197(3):449–456CrossRefGoogle Scholar
- Keeling MJ, Eames KTD (2005) Networks and epidemic models. J R Soc Interface 2:295–307CrossRefGoogle Scholar
- Lau C-Y, Qureshi AK (2002) Azithromycin versus doxycycline for genital chlamydial infections: a meta-analysis of randomized clinical trials. Sex Transm Dis 29(9):497–502CrossRefGoogle Scholar
- Li X-Z, Liu J-X, Martcheva M (2010) An age-structured two-strain epidemic model with super-infection. Math Biosci Eng 7:123–147MathSciNetCrossRefMATHGoogle Scholar
- Macleod J, Salisbury C, Low N et al (2005) Coverage and uptake of systematic postal screening for genital Chlamydia trachomatis and prevalence of infection in the United Kingdom general population: cross sectional study. Brit Med J 330:940–942CrossRefGoogle Scholar
- Manski CF (2013) Diagnostic testing and treatment under ambiguity: using decision analysis to inform clinical practice. Proc Natl Acad Sci 110(6):2064–2069CrossRefGoogle Scholar
- McLean CA, Stoner BP, Workowski KA (2007) Treatment of lymphogranuloma venereum. Clin Infect Dis 44(Suppl 3):S147–S152CrossRefGoogle Scholar
- Oster E (2005) Sexually transmitted infections, sexual behaviour and the HIV/AIDS epidemic. Q J Econ 120(2):467–515Google Scholar
- Pearce JH, Prain CJ (1986) Intracellular association of Chlamydia psittaci with lysosomes during infection of McCoy cells. In: Oriel D, Ridgeway D, Schachter J, Taylor-Robinson D, Ward M (eds) Chlamydial infections. Cambridge University Press, LondonGoogle Scholar
- Risser W, Bortot A, Benjamins L et al (2005) The epidemiology of sexually transmitted infections in adolescents. Semin Pediatr Infect Dis 16:160–167CrossRefGoogle Scholar
- Rowthorn RE, Laxminarayan R, Gilligan CA (2009) Optimal control of epidemics in metapopulations. J R Soc Interface 6:1135–1144CrossRefGoogle Scholar
- Rowthorn RE (2006) Optimal treatment of disease under a budget constraint. In: Halvorsen R, Layton DF (eds) Explorations in environmental and natural resource economics: essays in honor of Gardner M. Brown, Jr. Edward Elgar Publishing, Cheltenham, pp 20–35Google Scholar
- Rowthorn RE, Toxvaerd F (2015) The optimal control of infectious diseases via prevention and treatment. MimeoGoogle Scholar
- Seinost G, Dykhuizen DE, Dattwyler RJ, Golde WT, Dunn JJ, Wang I, Wormser GP, Schriefer ME, Luft BJ (1999) Four clones of Borrelia burgdorferi sensu stricto cause invasive infection in humans. Infect Immun 67(7):3518–3524Google Scholar
- Sharomi O, Gumel AB (2009) Re-infection-induced backward bifurcation in the transmission dynamics of Chlamydia trachomatis. J Math Anal Appl 356(1):96–118MathSciNetCrossRefMATHGoogle Scholar
- Shaw K, Coleman D, O’Sullivan M, Stephens N (2011) Public health policies and management strategies for genital Chlamydia trachomatis infection. Risk Manag Healthc Policy 4:57–65CrossRefGoogle Scholar
- Skiba AK (1978) Optimal growth with a convex-concave production function. Econometrica 46(3):527–539MathSciNetCrossRefMATHGoogle Scholar
- Spence M, Starrett D (1975) Most rapid approach paths in accumulation problems. Int Econ Rev 16(2):88–403MathSciNetCrossRefMATHGoogle Scholar
- Ströbele WJ, Wacker H (1991) The concept of sustainable yield in multi-species fisheries. Ecol Model 53:61–74CrossRefGoogle Scholar
- Tabbara KF, Abu-el-Asrar A, Al-Omar O, Choudhury AH, Al-Faisal Z (1996) Single-dose azithromycin in the treatment of trachoma: a randomized, controlled study. Ophthalmology 103(5):842–846CrossRefGoogle Scholar
- Truscott J, Fraser C, Cauchemez S, Meeyai A, Hinsley W, Donnelly CA, Ghani A, Ferguson N (2012) Essential epidemiological mechanisms underpinning the transmission dynamics of seasonal influenza. J R Soc Interface 67:304–312CrossRefGoogle Scholar
- Wagener FOO (2003) Skiba points and heteroclinic bifurcations, with applications to the shallow lake system. J Econ Dyn Control 27(9):1533–1561MathSciNetCrossRefMATHGoogle Scholar
- Ward H, Martin I, Macdonalds N, Alexander S, Simms I, Fenton K, French P, Dean G, Ison C (2007) Lymphogranuloma venereum in the United Kingdom. Clin Infect Dis 44(1):26–32CrossRefGoogle Scholar
Copyright information
Open AccessThis article is distributed under the terms of the Creative Commons Attribution 4.0 International License (http://creativecommons.org/licenses/by/4.0/), which permits unrestricted use, distribution, and reproduction in any medium, provided you give appropriate credit to the original author(s) and the source, provide a link to the Creative Commons license, and indicate if changes were made.








