Applied Microbiology and Biotechnology

, Volume 93, Issue 4, pp 1637–1650 | Cite as

Primary metabolism in the new human cell line AGE1.HN at various substrate levels: increased metabolic efficiency and α1-antitrypsin production at reduced pyruvate load

  • Jens Niklas
  • Christian Priesnitz
  • Thomas Rose
  • Volker Sandig
  • Elmar Heinzle
Applied microbial and cell physiology

Abstract

Metabolic responses of the new neuronal human cell line AGE1.HN to various substrate levels were analyzed in this study showing that reduced substrate and especially pyruvate load improves metabolic efficiency, leading to improved growth and α1-antitrypsin (A1AT) production. The adaptation of the metabolism to different pyruvate and glutamine concentrations was analyzed in detail using a full factorial design. The most important finding was an increasingly inefficient use of substrates as well as the reduction of cell proliferation with increasing pyruvate concentrations in the medium. Cultivations with different feeding profiles showed that the highest viable cell density and A1AT concentration (167% of batch) was reached in the culture with the lowest glucose level and without pyruvate feeding. Analysis of metabolic fluxes in the differently fed cultures revealed a more efficient metabolic phenotype in the cultures without pyruvate feeding. The measured in vitro enzyme activities of the selected enzymes involved in pyruvate metabolism were lower in AGE1.HN compared with CHO cells, which might explain the higher sensitivity and different adaptation of AGE1.HN to increased pyruvate concentrations. The results indicate on the one hand that increasing the connectivity between glycolysis and the TCA cycle might improve substrate use and, finally, the production of A1AT. On the other hand, a better balanced substrate uptake promises a reduction of energy spilling which is increased with increasing substrate levels in this cell line. Overall, the results of this study provide important insights into the regulation of primary metabolism and into the adaptation of AGE1.HN to different substrate levels, providing guidance for further optimization of production cell lines and applied process conditions.

Keywords

Mammalian cell Human cell Metabolic flux Recombinant protein CHO Physiology 

Notes

Acknowledgments

This work has been financially supported by the BMBF project SysLogics–Systems biology of cell culture for biologics (FKZ 0315275A-F). We thank Armin Melnyk for performing enzyme assays, Michel Fritz for valuable support for the HPLC analysis, as well as Judith Wahrheit for fruitful discussions.

Supplementary material

253_2011_3526_MOESM1_ESM.pdf (11 kb)
Table S1 Stoichiometric matrix of the metabolic network model applied for metabolic flux analysis (PDF 10 kb)
253_2011_3526_MOESM2_ESM.pdf (61 kb)
Table S2 Profile of total growth and total uptake (negative values)/production (positive values) of metabolites during the cultivation of AGE1.HN in media with different glutamine (Gln) and pyruvate (Pyr) concentrations. aQuotient of totally produced lactate and total glucose that was taken up (moles per mole). bC-mol of produced extracellular lactate per C-mol of consumed glucose and pyruvate (C-mol/C-mol). VCD viable cell density (106 cells/ml), TCD total cell density (106 cells/ml); concentration changes for all metabolites are given in millimolar. Glc glucose, Lac lactate, Pyr pyruvate (standard abbreviations for amino acids). NH 4 + , ammonia in milligrams per liter (PDF 60 kb)
253_2011_3526_MOESM3_ESM.pdf (11 kb)
Table S3 Metabolic fluxes in AGE1.HN cells upon different substrate feeding (feed 1–feed 4). Same experiment as in Figs. 4, 5, and 6 (PDF 11 kb)
253_2011_3526_Fig7_ESM.jpg (123 kb)
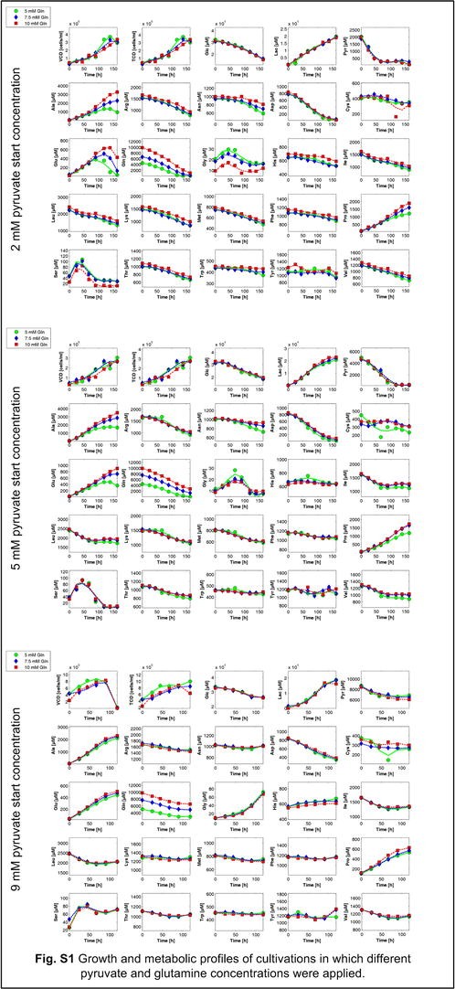
Fig. S1

Growth and metabolic profiles of cultivations in which different pyruvate and glutamine concentrations were applied (JPEG 123 kb)

253_2011_3526_MOESM4_ESM.tif (1 mb)
High Resolution (TIFF 1036 kb)
253_2011_3526_Fig8_ESM.jpg (64 kb)
Fig. S2

Amino acid profiles of the feeding experiments (experiment described and analyzed in Figs 4, 5, and 6) (JPEG 64 kb)

253_2011_3526_MOESM5_ESM.tif (454 kb)
High Resolution (TIFF 453 kb)

References

  1. A1AT-Group (1998) Survival and FEV1 decline in individuals with severe deficiency of alpha1-antitrypsin. The Alpha-1-Antitrypsin Deficiency Registry Study Group. Am J Respir Crit Care Med 158(1):49–59Google Scholar
  2. al-Rubeai M, Singh RP (1998) Apoptosis in cell culture. Curr Opin Biotechnol 9(2):152–156CrossRefGoogle Scholar
  3. Altamirano C, Paredes C, Cairo JJ, Godia F (2000) Improvement of CHO cell culture medium formulation: simultaneous substitution of glucose and glutamine. Biotechnol Prog 16(1):69–75CrossRefGoogle Scholar
  4. Arden N, Betenbaugh MJ (2006) Regulating apoptosis in mammalian cell cultures. Cytotechnology 50(1–3):77–92CrossRefGoogle Scholar
  5. Bell SL, Bebbington C, Scott MF, Wardell JN, Spier RE, Bushell ME, Sanders PG (1995) Genetic engineering of hybridoma glutamine metabolism. Enzyme Microb Technol 17(2):98–106CrossRefGoogle Scholar
  6. Blanchard V, Liu X, Eigel S, Kaup M, Rieck S, Janciauskiene S, Sandig V, Marx U, Walden P, Tauber R, Berger M (2011) N-glycosylation and biological activity of recombinant human alpha1-antitrypsin expressed in a novel human neuronal cell line. Biotechnol Bioeng 108:2118–2128CrossRefGoogle Scholar
  7. Bonarius HP, Ozemre A, Timmerarends B, Skrabal P, Tramper J, Schmid G, Heinzle E (2001) Metabolic-flux analysis of continuously cultured hybridoma cells using 13CO2 mass spectrometry in combination with 13C-lactate nuclear magnetic resonance spectroscopy and metabolite balancing. Biotechnol Bioeng 74(6):528–538CrossRefGoogle Scholar
  8. Carrell RW, Jeppsson JO, Vaughan L, Brennan SO, Owen MC, Boswell DR (1981) Human alpha 1-antitrypsin: carbohydrate attachment and sequence homology. FEBS Lett 135(2):301–303CrossRefGoogle Scholar
  9. Cruz HJ, Moreira JL, Carrondo MJ (1999) Metabolic shifts by nutrient manipulation in continuous cultures of BHK cells. Biotechnol Bioeng 66(2):104–113CrossRefGoogle Scholar
  10. Elias CB, Carpentier E, Durocher Y, Bisson L, Wagner R, Kamen A (2003) Improving glucose and glutamine metabolism of human HEK 293 and Trichoplusia ni insect cells engineered to express a cytosolic pyruvate carboxylase enzyme. Biotechnol Prog 19(1):90–97CrossRefGoogle Scholar
  11. Elsas LJ, Longo N (1992) Glucose transporters. Annu Rev Med 43:377–393CrossRefGoogle Scholar
  12. Gambhir A, Korke R, Lee J, Fu PC, Europa A, Hu WS (2003) Analysis of cellular metabolism of hybridoma cells at distinct physiological states. J Biosci Bioeng 95(4):317–327Google Scholar
  13. Gebhardt R (1992) Metabolic zonation of the liver: regulation and implications for liver function. Pharmacol Ther 53(3):275–354CrossRefGoogle Scholar
  14. Genzel Y, Ritter JB, Konig S, Alt R, Reichl U (2005) Substitution of glutamine by pyruvate to reduce ammonia formation and growth inhibition of mammalian cells. Biotechnol Prog 21(1):58–69CrossRefGoogle Scholar
  15. Gildea TR, Shermock KM, Singer ME, Stoller JK (2003) Cost-effectiveness analysis of augmentation therapy for severe alpha1-antitrypsin deficiency. Am J Respir Crit Care Med 167(10):1387–1392CrossRefGoogle Scholar
  16. Graham JW, Williams TC, Morgan M, Fernie AR, Ratcliffe RG, Sweetlove LJ (2007) Glycolytic enzymes associate dynamically with mitochondria in response to respiratory demand and support substrate channeling. Plant Cell 19(11):3723–3738CrossRefGoogle Scholar
  17. Hansen HA, Emborg C (1994) Influence of ammonium on growth, metabolism, and productivity of a continuous suspension Chinese hamster ovary cell culture. Biotechnol Prog 10(1):121–124CrossRefGoogle Scholar
  18. Heinzle E, Matsuda F, Miyagawa H, Wakasa K, Nishioka T (2007) Estimation of metabolic fluxes, expression levels and metabolite dynamics of a secondary metabolic pathway in potato using label pulse-feeding experiments combined with kinetic network modelling and simulation. Plant J 50(1):176–187CrossRefGoogle Scholar
  19. Irani N, Wirth M, van Den Heuvel J, Wagner R (1999) Improvement of the primary metabolism of cell cultures by introducing a new cytoplasmic pyruvate carboxylase reaction. Biotechnol Bioeng 66(4):238–246CrossRefGoogle Scholar
  20. Karnaukhova E, Ophir Y, Golding B (2006) Recombinant human alpha-1 proteinase inhibitor: towards therapeutic use. Amino Acids 30(4):317–332CrossRefGoogle Scholar
  21. Kelly E, Greene CM, Carroll TP, McElvaney NG, O'Neill SJ (2010) Alpha-1 antitrypsin deficiency. Respir Med 104(6):763–772CrossRefGoogle Scholar
  22. Kolarich D, Weber A, Turecek PL, Schwarz HP, Altmann F (2006) Comprehensive glyco-proteomic analysis of human alpha1-antitrypsin and its charge isoforms. Proteomics 6(11):3369–3380CrossRefGoogle Scholar
  23. Korke R, Gatti Mde L, Lau AL, Lim JW, Seow TK, Chung MC, Hu WS (2004) Large scale gene expression profiling of metabolic shift of mammalian cells in culture. J Biotechnol 107(1):1–17CrossRefGoogle Scholar
  24. Kromer JO, Fritz M, Heinzle E, Wittmann C (2005) In vivo quantification of intracellular amino acids and intermediates of the methionine pathway in Corynebacterium glutamicum. Anal Biochem 340(1):171–173CrossRefGoogle Scholar
  25. Kumar N, Gammell P, Clynes M (2007) Proliferation control strategies to improve productivity and survival during CHO based production culture: a summary of recent methods employed and the effects of proliferation control in product secreting CHO cell lines. Cytotechnology 53(1–3):33–46CrossRefGoogle Scholar
  26. Lawrence GM, Jepson MA, Trayer IP, Walker DG (1986) The compartmentation of glycolytic and gluconeogenic enzymes in rat kidney and liver and its significance to renal and hepatic metabolism. Histochem J 18(1):45–53CrossRefGoogle Scholar
  27. Mather A, Pollock C (2011) Glucose handling by the kidney. Kidney Int Suppl 120:S1–S6CrossRefGoogle Scholar
  28. Miller WM, Wilke CR, Blanch HW (1988) Transient responses of hybridoma cells to lactate and ammonia pulse and step changes in continuous culture. Bioprocess Eng 3(3):113–122, 113–122CrossRefGoogle Scholar
  29. Niklas J, Heinzle E (2011) Metabolic flux analysis in systems biology of mammalian cells. Adv Biochem Eng Biotechnol. doi: 10.1007/10_2011_99
  30. Niklas J, Noor F, Heinzle E (2009) Effects of drugs in subtoxic concentrations on the metabolic fluxes in human hepatoma cell line Hep G2. Toxicol Appl Pharmacol 240(3):327–336CrossRefGoogle Scholar
  31. Niklas J, Schneider K, Heinzle E (2010) Metabolic flux analysis in eukaryotes. Curr Opin Biotechnol 21(1):63–69CrossRefGoogle Scholar
  32. Niklas J, Melnyk A, Yuan Y, Heinzle E (2011a) Selective permeabilization for the high-throughput measurement of compartmented enzyme activities in mammalian cells. Anal Biochem 416(2):218–227CrossRefGoogle Scholar
  33. Niklas J, Schrader E, Sandig V, Noll T, Heinzle E (2011b) Quantitative characterization of metabolism and metabolic shifts during growth of the new human cell line AGE1.HN using time resolved metabolic flux analysis. Bioprocess Biosyst Eng 34(5):533–545CrossRefGoogle Scholar
  34. Nivitchanyong T, Martinez A, Ishaque A, Murphy JE, Konstantinov K, Betenbaugh MJ, Thrift J (2007) Anti-apoptotic genes Aven and E1B-19K enhance performance of BHK cells engineered to express recombinant factor VIII in batch and low perfusion cell culture. Biotechnol Bioeng 98(4):825–841CrossRefGoogle Scholar
  35. O'Callaghan PM, James DC (2008) Systems biotechnology of mammalian cell factories. Brief Funct Genomic Proteomic 7(2):95–110CrossRefGoogle Scholar
  36. Omasa T, Takami T, Ohya T, Kiyama E, Hayashi T, Nishii H, Miki H, Kobayashi K, Honda K, Ohtake H (2008) Overexpression of GADD34 enhances production of recombinant human antithrombin III in Chinese hamster ovary cells. J Biosci Bioeng 106(6):568–573CrossRefGoogle Scholar
  37. Omasa T, Furuichi K, Iemura T, Katakura Y, Kishimoto M, Suga K (2009) Enhanced antibody production following intermediate addition based on flux analysis in mammalian cell continuous culture. Bioprocess Biosyst Eng 33(1):117–125CrossRefGoogle Scholar
  38. Ovadi J, Saks V (2004) On the origin of intracellular compartmentation and organized metabolic systems. Mol Cell Biochem 256–257(1–2):5–12CrossRefGoogle Scholar
  39. Ozturk SS, Riley MR, Palsson BO (1992) Effects of ammonia and lactate on hybridoma growth, metabolism, and antibody production. Biotechnol Bioeng 39(4):418–431CrossRefGoogle Scholar
  40. Petrache I, Hajjar J, Campos M (2009) Safety and efficacy of alpha-1-antitrypsin augmentation therapy in the treatment of patients with alpha-1-antitrypsin deficiency. Biologics 3:193–204Google Scholar
  41. Selvarasu S, Ow DS, Lee SY, Lee MM, Oh SK, Karimi IA, Lee DY (2009) Characterizing Escherichia coli DH5alpha growth and metabolism in a complex medium using genome-scale flux analysis. Biotechnol Bioeng 102(3):923–934CrossRefGoogle Scholar
  42. Sidorenko Y, Wahl A, Dauner M, Genzel Y, Reichl U (2008) Comparison of metabolic flux distributions for MDCK cell growth in glutamine- and pyruvate-containing media. Biotechnol Prog 24(2):311–320CrossRefGoogle Scholar
  43. Street JC, Delort AM, Braddock PS, Brindle KM (1993) A 1H/15N n.m.r. study of nitrogen metabolism in cultured mammalian cells. Biochem J 291(Pt 2):485–492Google Scholar
  44. Teixeira AP, Santos SS, Carinhas N, Oliveira R, Alves PM (2008) Combining metabolic flux analysis tools and 13C NMR to estimate intracellular fluxes of cultured astrocytes. Neurochem Int 52(3):478–486CrossRefGoogle Scholar
  45. Thorens B, Mueckler M (2010) Glucose transporters in the 21st century. Am J Physiol Endocrinol Metab 298(2):E141–E145CrossRefGoogle Scholar
  46. Wang Z, Ying Z, Bosy-Westphal A, Zhang J, Schautz B, Later W, Heymsfield SB, Muller MJ (2010) Specific metabolic rates of major organs and tissues across adulthood: evaluation by mechanistic model of resting energy expenditure. Am J Clin Nutr 92(6):1369–1377CrossRefGoogle Scholar
  47. Wittmann C, Heinzle E (2002) Genealogy profiling through strain improvement by using metabolic network analysis: metabolic flux genealogy of several generations of lysine-producing corynebacteria. Appl Environ Microbiol 68(12):5843–5859CrossRefGoogle Scholar
  48. Wlaschin KF, Hu WS (2007) Engineering cell metabolism for high-density cell culture via manipulation of sugar transport. J Biotechnol 131(2):168–176CrossRefGoogle Scholar
  49. Wurm FM (2004) Production of recombinant protein therapeutics in cultivated mammalian cells. Nat Biotechnol 22(11):1393–1398CrossRefGoogle Scholar
  50. Zwingmann C, Richter-Landsberg C, Leibfritz D (2001) 13C isotopomer analysis of glucose and alanine metabolism reveals cytosolic pyruvate compartmentation as part of energy metabolism in astrocytes. Glia 34(3):200–212CrossRefGoogle Scholar

Copyright information

© Springer-Verlag 2011

Authors and Affiliations

  • Jens Niklas
    • 1
  • Christian Priesnitz
    • 1
  • Thomas Rose
    • 2
  • Volker Sandig
    • 2
  • Elmar Heinzle
    • 1
  1. 1.Biochemical Engineering InstituteSaarland UniversitySaarbrückenGermany
  2. 2.ProBioGen AGBerlinGermany

Personalised recommendations