Abstract
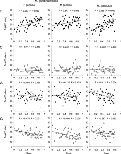
Several studies have shown that in vertebrate mtDNAs the nucleotide content at fourfold degenerate sites is well correlated with the site’s time of exposure to the single-strand state, as predicted from the asymmetrical model of mtDNA replication. Here we examine whether the same explanation may hold for the regional variation in nucleotide content in the maternal and paternal mtDNAs of the mussel Mytilus galloprovincialis. The origin of replication of the heavy strand (OH) of these genomes has been previously established. A systematic search of the two genomes for sequences that are likely to act as the origin of replication of the light strand (OL) suggested that the most probable site lies within the ND3 gene. By adopting this OL position we calculated times of exposure for 0FD (nondegenerate), 2FD (twofold degenerate), and 4FD (fourfold degenerate) sites of the protein-coding part of the genome and for the rRNA, tRNA and noncoding parts. The presence of thymine and absence of guanine at 4FD sites was highly correlated with the presumed time of exposure. Such an effect was not found for the 2FD sites, the rRNA, the tRNA, or the noncoding parts. There was a trend for a small increase in cytosine at 0FD sites with exposure time, which is explicable as the result of biased usage of 4FD codons. The same analysis was applied to a recently sequenced mitochondrial genome of Mytilus trossulus and produced similar results. These results are consistent with the asymmetrical model of replication and suggest that guanine oxidation due to single-strand exposure is the main cause of regional variation of nucleotide content in Mytilus mitochondrial genomes.
This is a preview of subscription content, access via your institution.



References
Asakawa S, Kumazawa Y, Araki T, Himeno H, Miura K, Watanabe K (1991) Strand-specific nucleotide composition bias in echinoderm and vertebrate mitochondrial genomes. J Mol Evol 32:511–520
Bielawski JP, Gold JR (2002) Mutation patterns of mitochondrial H- and L-strand DNA in closely related cyprinid fishes. Genetics 161:1589–1597
Bogenhagen DF, Clayton DA (2003a) The mitochondrial DNA replication bubble has not burst. Trends Biochem Sci 28:357–360
Bogenhagen DF, Clayton DA (2003b) Concluding remarks: the mitochondrial DNA replication bubble has not burst. Trends Biochem Sci 28:404–405
Boore JL (1999) Animal mitochondrial genomes. Nucleic Acids Res 27:1767–1780
Boore JL, Medina L, Rosenberg LA (2004) Complete sequences of the highly rearranged molluscan mitochondrial genomes of the scaphopod Graptacme eborea and the bivalve Mytilus edulis. Mol Biol Evol 21:1492–1503
Bowmaker M, Yang M-Y, Yasukawa T, Reyes A, Jacobs HT, Huberman JA, Holt IJ (2003) Mammalian mitochondrial DNA replicates bidirectionally from an initiation zone. J Biol Chem 278:50961–50969
Breton S, Burger G, Stewart DT, Blier PU (2006) Comparative analysis of gender-associated complete mitochondrial genomes in marine mussels (Mytilus spp.). Genetics 172:1107–1119
Brown TA, Cecconi C, Tkachuk AN, Bustamante C, Clayton DA (2005) Replication of mitochondrial DNA occurs by strand displacement with alternative light-strand origins, not via a strand-coupled mechanism. Genes Dev 19:2466–2476
Cao L, Kenchington E, Zouros E, Rodakis GC (2004) Evidence that the large noncoding sequence is the main control region of maternally and paternally transmitted mitochondrial genomes of the marine mussel (Mytilus spp.). Genetics 167:835–850
Chang DD, Wyong TW, Hixyon JE, Clayton DA (1985) Regulatory sequences for mammalian mitochondrial transcription and replication, In: Quagliariello E, Slator EC, Palmier F, Saccone C, Kroon AM (eds) Achievements and perspectives of mitochondrial research. Vol II. Biogenesis, Elsevier, Amsterdam, pp 135–144
Clary DO, Wolstenholme DR (1987) Drosophila mitochondrial DNA: conserved sequences in the A+T-rich region and supporting evidence for a secondary structure model of the small ribosomal RNA. J Mol Evol 25:116–125
Clayton DA (1982) Replication of animal mitochondrial DNA. Cell 28:693–705
Faith JJ, Pollock DD (2003) Likelihood analysis of asymmetrical mutation bias gradients in vertebrate mitochondrial genomes. Genetics 165:735–745
Gaspari M, Larsson NG, Gustafsson CM (2004) The transcription machinery in mammalian mitochondria. Biochim Biophys Acta 1659:148–152
Goddard JM, Wolstenholme DR (1978) Origin and direction of replication in mitochondrial DNA molecules from Drosophila melanogaster. Proc Natl Acad Sci USA 75:3886–3890
Goddard JM, Wolstenholme DR (1980) Origin and direction of replication in mitochondrial DNA molecules from the genus Drosophila. Nucleic Acids Res 8:741–757
Graziewicz MA, Day BJ Copeland WC (2002) The mitochondrial DNA polymerase as a target of oxidative damage. Nucleic Acids Res 30:2817–2824
Gruss A, Ehrlich SD (1989) The family of highly interrelated single-stranded deoxyribonucleic acid plasmids. Microbiol Rev 53:231–241
Hatzoglou E, Rodakis GC, Lecanidou R (1995) Complete sequence and gene organization of the mitochondrial genome of the land snail Albinaria coerulea. Genetics 140:1353–1366
Hoffmann RJ, Boore JL, Brown WM (1992) A novel mitochondrial genome organization for the blue mussel Mytilus edulis. Genetics 131:397–412
Holt IJ, Jacobs HT (2003) Response: the mitochondrial DNA replication bubble has not burst. Trends Biochem Sci 28:355–356
Holt IJ, Lorimer HE, Jacobs HT (2000) Coupled leading and lagging-strand synthesis of mammalian mitochondrial DNA. Cell 100:515–524
Hosmer DW, Lemeshow S (1989) Applied logistic regression. John Wiley and Sons, New York
Jermiin LS, Foster PG, Graur D, Lowe RM, Crozier RH (1996) Unbiased estimation of symmetrical directional mutation pressure from protein-coding DNA. J Mol Evol 42:476–480
Khan AS (2000) Plasmid rolling-circle replication: recent developments. Mol Microbiol 37:477–484
Khan AS, Brown PA, Draghia-Akli R (2005) Plasmid-based growth hormone-releasing hormone supplementation and its applications. Curr Opin Mol Ther 7:306–316
King MP, Attardi G (1993) Post-transcriptional regulation of the steady-state levels of mitochondrial tRNAs in HeLa cells. J Biol Chem 268:10228–10237
Kramer MG, Khan SA, Espinosa M (1997) Plasmid rolling circle replication: identification of the RNA polymerase-directed primer RNA and requirement for DNA polymerase I for lagging strand synthesis. EMBO J 16:5784–5795
Martínez-Lage A, Rodríguez F, González-Tizón A, Prats E, Cornudella L, Méndez J (2002) Comparative analysis of different satellite DNAs in four Mytilus species. Genome 45:922–929
McDonald JH, Seed R, Koehn RK (1991) Allozyme and morphometric characters of three species of Mytilus in the Northern and Southern hemispheres. Mar Biol 111:323–335
Mignotte B, Barat M, Mounolou JC (1985) Characterization of a mitochondrial protein binding to single-stranded DNA. Nucleic Acids Res 13:1703–1716
Mizi A, Zouros E, Moschonas N, Rodakis GC (2005) The complete maternal and paternal mitochondrial genomes of the Mediterranean mussel Mytilus galloprovincialis: Implications for the doubly uniparental inheritance mode of mtDNA. Mol Biol Evol 22:952–967
Mizi A, Zouros E, Rodakis GC (2006) Multiple events are responsible for an insertion in a paternally inherited mitochondrial genome of the mussel Mytilus galloprovincialis. Genetics 172:2695–2698
Mueller DM, Getz GS (1986) Transcriptional regulation of the mitochondrial genome of yeast Saccharomyces cerevisiae. J Biol Chem 261:11756–11764
Novick RP (1989) Staphylococcal plasmids and their replication. Annu Rev Microbiol 43:537–565
Novick RP, Projan SJ, Rosenblum W, Edelman I (1984) Staphylococcal plasmid cointegrates are formed by host- and phage-mediated general rec systems that act on short regions of homology. Mol Gen Genet 195:374–377
Okimoto R, Macfarlane JL, Clary DO, Wolstenholme DR (1992) The mitochondrial genomes of two nematodes, Caenorhabditis elegans and Ascaris suum. Genetics 130:471–498
Perna NT, Kocher TD (1995) Patterns of nucleotide composition at fourfold degenerate sites of animal mitochondrial genomes. J Mol Evol 41:353–358
Raina SZ, Faith JJ, Disotell TR, Seligmann H, Stewart CB, Pollock DD (2005) Evolution of base-substitution gradients in primate mitochondrial genomes. Genome Res 15:665–673
Reyes A, Gissi C, Pesole G, Saccone C (1998) Asymmetric directional mutation pressure in the mitochondrial genome of mammals. Mol Biol Evol 15:957–966
Richter C, Park J-W, Ames BN (1988) Normal oxidative damage to mitochondrial and nuclear DNA is extensive. Proc Natl Acad Sci USA 85:6465–6467
Roe BA, Ma DP, Wilson RK, Wong JF (1985) The complete nucleotide sequence of the Xenopus laevis mitochondrial genome. J Biol Chem 260:9759–9774
Saito S, Tamura K, Aotsuka T (2005) Replication origin of mitochondrial DNA in insects. Genetics 171:1695–1705
Shigenaga MK, Hagen TM, Ames BN (1994) Oxidative damage and mitochondrial decay in aging. Proc Natl Acad Sci USA 91:10771–10778
Skibinski DOF, Gallagher C, Beynon CM (1994a) Mitochondrial DNA inheritance. Nature 368:817–818
Skibinski DOF, Gallagher C, Beynon CM (1994b) Sex limited mitochondrial DNA transmission in the marine mussel Mytilus edulis. Genetics 138:801–809
Song S, Pursell ZF, Copeland WC, Longley MJ, Kunkel TA, Mathews CK (2005) DNA precursor asymmetries in mammalian tissue mitochondria and possible contribution to mutagenesis through reduced replication fidelity. Proc Natl Acad Sci USA 102:4990–4995
Tanaka M, Ozawa T (1994) Strand asymmetry in human mitochondrial mutations. Genomics 22:327–335
Tracy RL, Stern DB (1995) Mitochondrial transcription initiation: promoter structures and RNA polymerases. Curr Genet 28:205–216
Yang MY, Bowmaker M, Reyes A, Vergani L, Paolo A, Gringeri E, Jacobs HT, Holt IJ (2002) Biased incorporation of ribonucleotides on the mitochondrial L-strand accounts for apparent strand-asymmetric DNA replication. Cell 111:495–505
Yasukawa T, Yang M-Y, Jacobs HT, Holt IJ (2005) A bidirectional origin of replication maps to the major noncoding region of human mitochondrial DNA. Mol Cell 18:651–662
Zouros E, Ball AO, Saavedra C, Freeman KR (1994a) Mitochondrial DNA inheritance. Nature 368:818
Zouros E, Ball AO, Saavedra C, Freeman KR (1994b) An unusual type of mitochondrial DNA inheritance in the blue mussel Mytilus. Proc Natl Acad Sci USA 91:7463–7467
Zuker M (2003) Mfold web server for nucleic acid folding and hybridization prediction. Nucleic Acids Res 31:3406–3415
Acknowledgments
This work was supported by the Greek General Secretariat for Research and Technology (Grant PENED-01ED42 to G.C.R., A.M., and E.Z.), by the Marine Genomics Europe Network of Excellence (to E.Z.), by the Natural Sciences and Engineering Research Council of Canada (to E.K.), by Dalhousie University and Patrick Lett Scholarships and Fisheries and Oceans, Canada (to L.C.), and by the University of Athens, Greece (to G.C.R.). We thank S. J. Smith, Bedford Institute of Oceanography, Dartmouth, NS, Canada, for statistical advice. We also thank two anonymous referees for constructive comments.
Author information
Affiliations
Corresponding author
Additional information
[Reviewing Editor: Dr. David Pollock]
Electronic Supplementary Material
Rights and permissions
About this article
Cite this article
Rodakis, G.C., Cao, L., Mizi, A. et al. Nucleotide Content Gradients in Maternally and Paternally Inherited Mitochondrial Genomes of the Mussel Mytilus . J Mol Evol 65, 124–136 (2007). https://doi.org/10.1007/s00239-005-0298-6
Received:
Accepted:
Published:
Issue Date:
Keywords
- Mytilus
- Mitochondrial genome
- Maternally/paternally inherited mtDNA
- Mutational strand asymmetry