Erratum to: Thermophoretic deposition of particles in fully developed mixed convection flow in a parallel-plate vertical channel
- 326 Downloads
1 Erratum to: Heat Mass Transfer (2009) 45:503–509 DOI 10.1007/s00231-008-0443-z
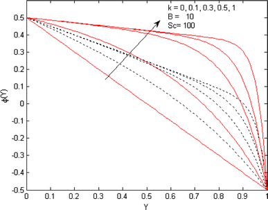
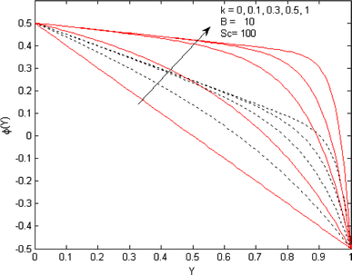
Effect of the thermophoretic parameter k on particle concentration profile (full lines corrected results, dot lines incorrect results)
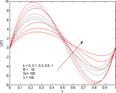
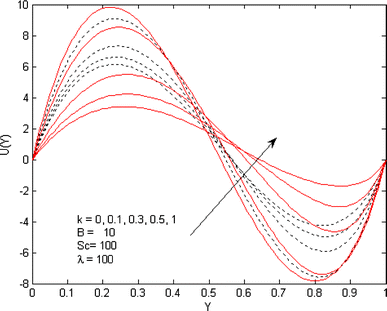
Effect of the thermophoretic parameter k on the velocity profiles (full lines corrected results, dot lines incorrect results)
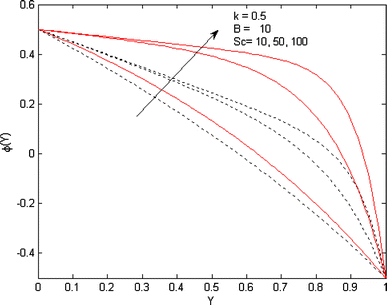
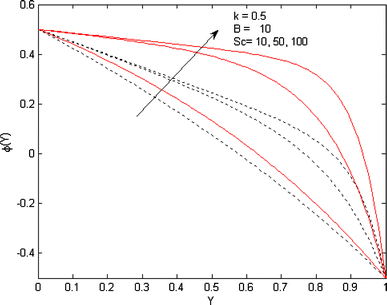
Effect of the Schmidt number Sc on particle concentration profiles (full lines corrected results, dot lines incorrect results)
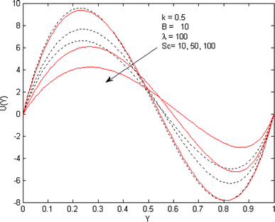
Effect of the Schmidt number Sc on velocity profiles (full lines corrected results, dot lines incorrect results)
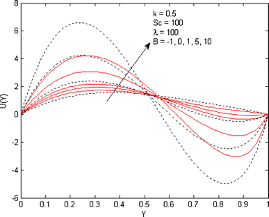
Effect of the buoyancy ratio parameter B on velocity profiles (full lines corrected results, dot lines incorrect results)
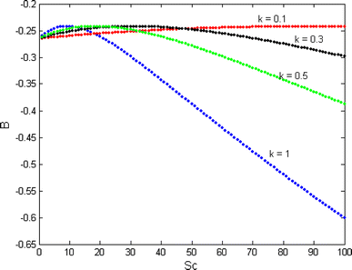
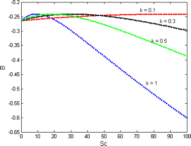
Variation of B with Sc for k = 0.1, 0.3, 0.5 and 1 for which the reversed flow starts (corrected results)
Values of the Sherwood number Sh for several values of Sc and k
| Sc | \( \left. {Sh} \right|_{Y = 0} \) | \( \left. {Sh} \right|_{Y = 1} \) | ||||
|---|---|---|---|---|---|---|
| k = 0.1 | k = 0.5 | k = 1 | k = 0.1 | k = 0.5 | k = 1 | |
| 0.1 | 0.999553 | 0.997768 | 0.996971 | 1.000485 | 1.002427 | 1.003167 |
| 1 | 0.995541 | 0.977898 | 0.956272 | 1.004858 | 1.024481 | 1.049434 |
| 10 | 0.956272 | 0.800225 | 0.643673 | 1.049434 | 1.265772 | 1.584567 |
| 100 | 0.643673 | 0.302246 | 0.294148 | 1.584567 | 5.004119 | 9.690096 |





