Reversed-phase liquid chromatography coupled on-line to estrogen receptor bioaffinity detection based on fluorescence polarization
- 658 Downloads
- 12 Citations
Abstract
We describe the development and validation of a high-resolution screening (HRS) platform which couples gradient reversed-phase high-performance liquid chromatography (RP-HPLC) on-line to estrogen receptor α (ERα) affinity detection using fluorescence polarization (FP). FP, which allows detection at high wavelengths, limits the occurrence of interference from the autofluorescence of test compounds in the bioassay. A fluorescein-labeled estradiol derivative (E2-F) was synthesized and a binding assay was optimized in platereader format. After subsequent optimization in flow-injection analysis (FIA) mode, the optimized parameters were translated to the on-line HRS bioassay. Proof of principle was demonstrated by separating a mixture of five compounds known to be estrogenic (17β-estradiol, 17α-ethinylestradiol and the phytoestrogens coumestrol, coumarol and zearalenone), followed by post-column bioaffinity screening of the individual affinities for ERα. Using the HRS-based FP setup, we were able to screen affinities of off-line-generated metabolites of zearalenone for ERα. It is concluded that the on-line FP-based bioassay can be used to screen for the affinity of compounds without the disturbing occurrence of autofluorescence.
Keywords
Fluorescence polarization High-resolution screening (HRS) Estrogen receptor α Phytoestrogens On-line bioaffinity assay Receptor affinity detection (RAD)Introduction
In recent years, the presence of endocrine-disrupting compounds (EDCs) in the environment has become a major issue of concern in view of their effects on both human health and ecosystem integrity. The classes of substances that possess estrogenic activities include diverse manmade and natural chemicals (e.g., pesticides, plasticizers, polychlorinated biphenyls, phytoestrogens, natural hormones) and pharmaceuticals (e.g., ethinylestradiol, tamoxifen) [1, 2]. EDCs can interfere with the endocrine system by binding to the estrogen receptors α (ERα) or β (ERβ) and mimicking the action of the naturally produced hormone estrogen or blocking the receptor for this hormone in target cells, thereby preventing its action [3]. Therefore, it is important to screen compounds and compound mixtures for their ability to bind to one of these receptors. Alternatively, the task of screening for compounds containing estrogenic and antiestrogenic properties is also very important from medical and pharmaceutical points of view [4].
Several biodetection methodologies have meanwhile been developed to determine the bioaffinities of ligands towards ERα. These assays include relatively cumbersome radioligand binding assays [5], fluorescence enhancement based assays [6] and fluorescence polarization (FP) based binding assays [7]. A major drawback of these assays is that, in the presence of cross-reactive compounds, the response provided by the bioassay reflects the sum of the concentrations of all individual compounds and their affinities for the ERα. Moreover, matrix components, which are sometimes present in far higher concentrations than the analyte(s), interfere with the binding assay signals, thereby leading to false-positive or false-negative results [8]. Therefore, none of these methods can be applied for the identification of individual ERα binding ligands in mixtures of compounds, as is the case with natural compound extracts, biological samples containing different EDCs, and drug metabolite mixtures.
However, the introduction of the on-line high-resolution screening (HRS) technology enabled the screening of individual compounds in mixtures by coupling a separation technology, usually gradient HPLC, to post-column biochemical detection assays on-line [9, 10, 11, 12, 13, 14]. Oosterkamp et al. [10] developed a HRS system to screen mixtures for compounds with an affinity for ERα. A similar setup has been used to screen natural plant product extracts for ERα and ERβ binding activity [15] and to identify and screen cytochrome P450-derived metabolites of tamoxifen with ERα affinity [2, 16]. The reported HRS ERα bioaffinity assays are based on the increase of the fluorescent signal of the tracer compound coumestrol upon binding to the ERα ligand binding domain (LBD). When the tracer is displaced by a compound with ERα affinity that elutes from the HPLC column, it is seen as a negative peak in the baseline of the ERα bioassay. Coumestrol, the fluorescent probe, has short excitation (340 nm) and emission (410 nm) wavelengths when bound to the ERα LBD [6]. Since there are many potentially interfering fluorescent compounds that can be excited at 300–350 nm and emit at 360–430 nm in biomatrices, coumestrol is not appropriate for the precise and selective detection of EDCs in biosamples containing phytoestrogens such as flavonoids, coumestans or lignans. One solution to this problem is to use another tracer compound, thus making it possible to monitor the bioassay signal at higher excitation and emission wavelengths. However, no tracer compounds are currently available which also display the necessary fluorescence enhancement upon binding to the ERα, thus making it impossible to use them in a HRS ERα setup. Another option is fluorescence polarization (FP) detection. FP is based upon the principle that interaction of a receptor with a fluorophore-containing ligand increases the effective size of the fluorophore through the formation of a receptor ligand complex. The increase in effective size reduces the rate of fluorophore rotation and increases the polarization over that of the unbound fluorophore [7]. FP instruments measure the rate of fluorophore rotation in solution rather than fluorescence intensity [17]. The polarization value is independent of the fluorophore concentration and intensity and has the advantage that it is minimally affected by autofluorescence, solution opacity or color, and is more tolerant to fluorescence quenching and light scattering [18].
The objective of the present study was to develop and evaluate the use of FP detection in combination with the on-line HRS technology to provide information about the ERα affinities of individual compounds in complex mixtures. The assay is based on competition for the ERα LBD between eluting compounds and a fluorescein-labeled estradiol derivative (E2-F), which was synthesized based on tracer structures described by Parker et al. [7] and Ohno et al. [19] for off-line FP-based ER assays. After synthesis of the tracer E2-F, the ERα binding assay was first optimized in FP platereader format and subsequently transferred to flow-injection analysis (FIA) mode with FP detection by using an on-line FP detector cell, which was recently constructed by Kool et al. [20] to measure GPCR-mediated modulation of cAMP production. Finally, after optimization of the assay in FIA mode, the on-line FP detection system was coupled to a gradient HPLC system. In this so-called HRS setup we separated mixtures of known estrogenic compounds—e.g., 17β-estradiol, 17α-ethinylestradiol and the phytoestrogens coumestrol, coumarol and zearalenone—and screened the individual compounds for ERα affinities. We also showed that this HRS ERα-FP system was suitable for screening off-line-generated cytochrome P450 (Cyt P450) metabolites of zearalenone for ERα affinity. We conclude that we were able to incorporate an on-line FP detector cell into a HRS system to screen for the ERα affinities of individual compounds in complex mixtures without incurring interference from the autofluorescence of the compounds.
Materials and methods
Materials
Tween 20, 17β-estradiol (E2), estrone (E1), 17α-ethinyl estradiol (EE2), diethylstilbestrol (DES), estriol, zearalenone, fluorescein-5-isothiocyanate (5-FITC) and coumestrol were obtained from Sigma-Aldrich (Zwijndrecht, The Netherlands). ELISA blocking reagent was purchased from Roche (Mannheim, Germany). Dry THF was freshly distilled from LiAlH4. All other chemicals were of analytical grade and obtained from standard suppliers.
Synthesis
Fluorescein-labeled estradiol derivative (E2-F)
Synthesis of a fluorescein-labeled estradiol (E2-F) derivative (for abbreviations, see “Experimental” section)
7-Hydroxy-3-p-hydroxyphenylcoumarine (coumarol)
The synthesis of coumarol was analogous to the synthesis of benzene-hydroxylated-3-aryl-coumarins described by Buu-Hoi et al. [21]. Briefly, 2,4-dimethoxybenzaldehyde was reacted with p-methoxyphenyl-acetonitrile to form α-p-methoxyphenyl-β-(2,4-dimethoxyphenyl)-acrylonitrile. The formed product formed was demethylated using pyridine hydrochloride to form the final product coumarol. 1H NMR (400.13 MHz, DMSO-d6): δ 10.57 (1 H, s), 9.68 (1 H, s), 8.00 (1 H, s), 7.56 (1 H, d, J = 8.6 Hz), 7.53 (2 H, d, J = 8.7 Hz), 6.81 (2 H, d, J = 8.7 Hz), 6.80 (1 H, dd, J = 10.8, 2.7 Hz), 6.73 (1 H, d, J = 2.2 Hz). ESI-MS: m/z 255 (M + H)+.
Biomaterials
Microsomes
Rat liver microsomes were prepared from phenobarbital (PB)-induced rat liver, as described previously by Roosenboom et al. [22].
Estrogen receptor α
The ERα ligand binding domain (LBD) was expressed in Escherichia coli according to the method of Eiler et al. [23], but without estradiol in the medium. The concentration of ERα LBD (250 nM) was measured by determining the B max value (by titration with radiolabeled estradiol) [24]. The B max value was measured as the maximum amount of ligand binding extrapolated to a very high concentration of ligand.
Microsomal incubations
Microsomal PB-induced rat liver incubations were carried out in a total volume of 500 μL. The reaction mixture consisted of 2.5 mM MgCl2 in 100 mM potassium phosphate buffer (pH 7.4), 100 μM zearalenone and 2.6 mg/mL rat liver microsomes. The reactions were initiated by the addition of a NADPH regenerating system, resulting in final concentrations of 0.1 mM NADPH, 0.3 mM glucose-6-phosphate, and 0.4 U/mL glucose-6-phosphate dehydrogenase. Incubation was carried out at 37 °C for 120 min and the reaction was terminated by the addition of 50 μL 10% HClO4. Following centrifugation at 14,000 rpm for 10 min, 450 μL of supernatant was applied to a strata_X 33 μm Polymeric Sorbent 200 mg / 3 mL (Phenomenex, Amstelveen, The Netherlands) column for SPE sample preparation. Before sample application the column was conditioned with 2 mL MeOH and subsequently equilibrated with 2 mL H2O. The sample was washed with 2 mL 5% (v/v) of aqueous methanol and elution was performed using 2 mL 50% (v/v) of MeOH in ACN. After evaporation, the residues were dissolved in 1 mL 40% (v/v) of aqueous methanol.
Instrumentation
A NOVOstar+ microplate fluorometer from BMG LABTECH GmbH (Offenburg, Germany) was used for the FP-based microplate reader assay. The excitation wavelength was set at 485 nm, the emission wavelength at 520 nm. Black-bottomed PP-96-well microtiter plates from Greiner Bio-one (Alphen a/d Rijn, The Netherlands) were used for all microplate reader experiments.
The setup we used was adapted from the homogeneous coumestrol-based ERα affinity detection system described by Kool et al. [2]. For the on-line FP assay, two Knauer K-500 HPLC pumps (Berlin, Germany) were used to control the 120-mL superloops, made in-house, containing receptor (ERα) and tracer ligand (E2-F), respectively, and one Knauer K-500 HPLC pump was used to deliver the injected samples. The ERα and E2-F solutions were prepared in sodium phosphate buffer (10 mM; pH 7.4) containing 150 mM NaCl and 0.4 mg/mL ELISA blocking reagent. Both superloops were kept on ice. Flow restrictors were inserted between the pumps and the superloops to ensure proper operation of the pumps at low flow rates. The flow restrictors consisted of natural PEEK tubing and resulted in back pressures of approximately 50 bar. The pressure limits of the pumps were set 20 bar higher than the working pressure, and VICI Jour backpressure regulators (Schenkon, Switzerland) were inserted after the superloops to prevent damage from possible clogging of the system. A Gilson 234 autoinjector (Villiers-le-Bel, France) equipped with a Rheodyne (Bensheim, Germany) six-port injection valve (different injection loops) was used to inject samples. To maintain the reaction coils at a constant temperature, a Shimadzu CTO-10AC column oven (Duisburg, Germany) was integrated into the system. An Agilent 1100 (Waldbronn, Germany) series fluorescence detector (λ ex 498 nm; λ em 522 nm) was used to monitor fluorescence polarization, as described by Kool et al. [20]. Briefly, the standard 8 μL FLD cell was modified with parallel-placed (both mounted in the detector cell) fluorescence polarization filters from Melles Griot (Didam, The Netherlands). One filter (12.5 mm visible pol. 350–650 nm 03FPG019) was placed in the pathway of the excitation beam and one (Mount. Sheet Pol. 20.D- 16.9CA 03FPG001) in the pathway of the emission beam. All hardware was integrated into one HRS system by Kiadis B.V. (Groningen, the Netherlands), and was controlled by software developed by Kiadis B.V.
Coumestrol-based microplate reader assay of ERα affinity
The microplate reader assay for determining ERα binding based on the competition between fluorescent coumestrol and estrogenic compounds previously described by Gurer-Orhan et al. [6] was used to plot a competitive binding curve for E2-F.
FP-based microplate reader assay of ERα affinity
The microplate reader assay was used to optimize the FP ERα receptor affinity detection (RAD) system in FIA and HPLC modes. This assay is based on the competition between estrogenic compounds and the newly synthesized fluorescein-labeled estradiol derivative (E2-F) for binding to the ERα LBD. Displacement of E2-F was measured as the decrease in fluorescence polarization intensity. Different concentrations of E2-F tracer were tested first. Since Tween 20, a detergent also used by Kool et al. in their coumestrol-based HRS ERα assay [2], can improve the resolution of the assay in HRS mode, and since organic modifiers are necessary for the optimal performance of the gradient HPLC system, the next step in the optimization process was to vary these parameters. The experiments were carried out at 24 °C with well volumes of 250 μL binding buffer [potassium phosphate buffer (10 mM; pH 7.4) containing 0.4 mg/ml ELISA blocking reagent]. The ERα LBD was introduced into the binding assay buffer at a final concentration of 1.64 nM. The E2-F stock solution was prepared in DMSO and dilutions were made in binding buffer. Concentrations ranging from 0.42 nM to 3.31 μM were investigated for E2-F optimization. For the experiments to investigate the detergent and organic modifier effects, the final concentration of E2-F in the assay was 83.3 nM. Aliquots of 25 μL of organic modifier or detergent at various concentrations were pipetted into a 96-well plate that already contained either 75 μL binding buffer (equal to 0% displacement) or 75 μL 33.3 μM E2 in binding buffer (equal to 100% displacement). The 96-well plate was gently but thoroughly mixed after pipetting 75 μL E2-F into each well. Finally, 75 μL of the ERα LBD was pipetted into the wells. After an incubation time of 60 min at room temperature, the fluorescence polarization (FP) was recorded at 485 nm excitation and 520 nm emission. All experiments were performed in quadruplicate. The difference in FP (ΔFP) was calculated by subtracting the FP value found at 100% displacement from the FP value found when no E2 was present under different conditions.
FP-based ERα receptor affinity detection (RAD) in flow-injection analysis (FIA) mode
Schematic overview of the ERα fluorescence polarization receptor affinity detection (RAD) system in high-resolution screening (HRS) mode. Samples are injected with an autoinjector (A.I.) and are separated using a gradient reversed-phase high-performance liquid chromatography (HPLC) system controlled by P1 and P2, HPLC gradient pumps. After the column the flow is split by a flow spitter, S (split ratio 1:9). HPLC elution is monitored by UV or fluorescence detection. A makeup gradient, controlled by makeup gradient pumps P3 and P4, is introduced and eluting compounds are mixed in the first reaction coil with ERα delivered by superloop-1 (SL-1). In the second reaction coil, the probe ligand E2-F is added to the mix by superloop-2 (SL-2). ERα affinity detection is performed using a fluorescence detector (FLD). In FIA mode the samples are delivered directly by a carrier solution into the bioassay
FP-based ERα receptor affinity detection coupled on-line to gradient HPLC
Coupling of the homogeneous ERα FP RAD assay to HPLC was performed in a similar way to that described recently by Kool et al. [14] for a Cyt P450 affinity assay. When operating the ERα FP RAD system in HPLC mode (Fig. 2), two pumps were used to control the HPLC gradient and, directly after the HPLC column, the HPLC eluent was split into a 1:9 ratio where nine-tenths of the flow was directed to either an UV (Agilent 1100 series) or fluorescence detector (Agilent 1100 series). The choice of detector depended on the compounds to be analyzed. To compensate for increasing the organic modifier concentrations before the delivery of the HPLC eluent to the ERα FP RAD system, two pumps were used to supply a makeup flow consisting of an opposite H2O/MeOH gradient compared with the HPLC gradient in order to keep the MeOH concentration in the assay constant at 10%. One-tenth of the total makeup flow was combined with one-tenth of the HPLC eluent and this flow was directed to the ERα FP RAD at 160 μl/min. The remaining part of the flow in the ERα FP RAD was the same as described above, with the exception that the HPLC flow combined with the makeup flow replaced the carrier solution flow.
For HPLC analysis, test compounds were dissolved in 50% MeOH in water. For coumestrol, a linear gradient from 75% MeOH to 99% MeOH in 7.5 min, constant for 47.5 min, and back to 75% MeOH in 1 min was applied. The total flow of the HPLC pumps was 162 μL/min and detection took place by measuring UV at 254 nm. For the mixture containing estriol, coumestrol, coumarol, E2 and zearalenone, constant elution at 55% MeOH for 40 min, followed by a linear gradient from 55% MeOH to 70% MeOH in 50 min, constant for 50 min, and back to 55% MeOH in 1 min was applied. The total flow rate of the HPLC pumps was 229 μL/min and detection took place using UV at 254 nm. For zearalenone and its cytochrome P450-generated metabolites, a linear gradient from 40% MeOH to 99% MeOH in 40 min, constant for 30 min, and back to 40% MeOH in 1 min was applied. The total flow rate of the HPLC pumps was 162 μL/min and detection took place using a fluorescence detector (λ ex 279 nm; λ em 440 nm). All HPLC separations were carried out on a 150 × 4.6 mm i.d. Luna C18(2) column protected with a 2.0 × 5.0 mm i.d. C18 guard column (Phenomenex, Amstelveen, The Netherlands). The HPLC column was thermostated at 25 °C.
Results and discussion
The aim of this research was to combine a recently developed on-line FP detector cell (Kool et al. [20]) with high-resolution screening (HRS) technology to develop a sensitive screening platform for measuring the ERα affinities of individual components in mixtures of compounds without incurring interference from autofluorescence at wavelengths below 450 nm. We first synthesized a suitable tracer compound and used this tracer to set up a FP-based ERα binding assay in FP microplate reader format. The optimized assay conditions for the FP microplate reader format were transferred to an on-line bioassay format in FIA mode. In this mode we subsequently optimized the on-line assay conditions and validated them by measuring IC50 values of known estrogenic compounds in both microplate reader format and in FIA mode. We used the optimized conditions in FIA mode to couple the ERα bioassay on-line to a gradient HPLC system. In HPLC mode we measured the ERα bioaffinities of different estrogenic compounds and screened mixtures with five known estrogenic compounds. Finally, we measured the individual ERα bioaffinities of zearalenone and its metabolites generated off-line by Cyt P450 in HPLC mode.
Synthesis of E2-F
Synthesis of the fluorescein-labeled derivative E2-F (Fig. 1) was relatively straightforward. The synthetic route described in this paper makes use of readily available chemicals. The yields of intermediate products are relatively high except for the product of the second reaction step, in which compound 2 is converted into 3. However, the required reactants for this step are not expensive, which makes it possible to perform this step on a large scale. The last and most expensive step involving the coupling of 5-FITC to 7 still gives a yield of 75% after extraction and purification. Overall, we conclude that this synthetic protocol offers a good alternative to the synthetic scheme described in the literature [7, 19] that is used to produce a fluorescein-labeled E2 derivative. We describe a seven-step synthesis with an overall yield of 12% compared with an eight-step synthesis in the literature with a total yield of 7% [19].
To test whether the newly synthesized E2-F had affinity for the ERα, a competitive binding curve for E2-F and ERα LBD was constructed (data not shown) using the coumestrol-based microplate reader assay described by Gurer-Orhan et al. [6]. E2-F was able to displace coumestrol from the ERα binding site, resulting in an IC50 value of 28.2 nM. This value is consistent with K D values found for similar tracers, which were also in the nanomolar range [7, 19]. Therefore, we concluded that the synthesized E2-F had affinity for the ERα and could be used to further develop a FP-based microplate reader assay.
FP-based microplate reader assay of ERα affinity
FP-based microplate reader tracer concentration optimization. Incubations in the presence of ERα ligand E2 (33.3 μM; equal to 100% tracer displacement) were compared with incubations without E2 (equal to 0% tracer displacement) at decreasing E2-F tracer concentrations
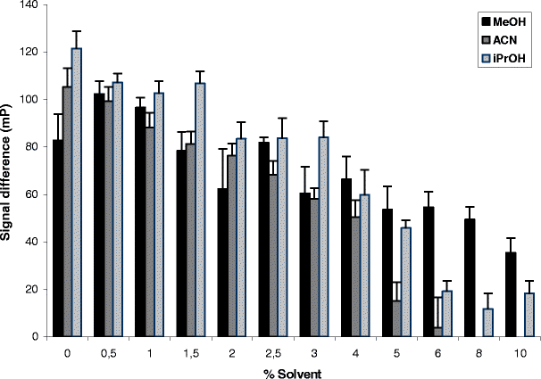
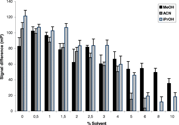
FP-based microplate reader solvent optimization. Incubations in the presence of ERα ligand E2 (33.3 μM; equal to 100 % tracer displacement) were compared with incubations without E2 (equal to 0% displacement) at increasing MeOH, ACN and iPrOH concentrations at an E2-F concentration of 83.3 nM
FP-based ERα receptor affinity detection (RAD) in flow-injection analysis (FIA) mode
The optimized microplate reader assay conditions were transferred to the on-line ERα RAD system in FIA mode (Fig. 2). In this system, compounds introduced by a carrier solution are allowed to bind to the ERα LBD in a first reaction coil, and the E2-F tracer is introduced after this coil. The tracer compound can interact with the unbound receptor in a second reaction coil and detection takes place after the second reaction coil using FP detection. In a FIA setup, carrier solution replaces the gradient HPLC system, thereby allowing the direct injection of compounds and the optimization of on-line assay conditions before final on-line coupling to HPLC. The influence of the ERα LBD and E2-F tracer concentrations and the corresponding excitation and emission wavelengths were investigated in FIA mode in order to optimize the performance of the FP ERα RAD system. The influences of ACN and MeOH, later used in HPLC mode too, on the FP ERα RAD system performance were also tested in the FIA mode. All measurements were performed in duplicate.
ERα LBD and E2-F tracer optimization
Determination of K D and maximum response (R max) for E2-F in FIA mode. Different concentrations of E2-F were incubated with three different ERα concentrations
KD and maximum response (Rmax) determination for E2-F in FIA mode
| [ERα] (nM) | KD (nM) | Rmax (AUC)a |
|---|---|---|
| 0.7 | 43.6 ± 12.4 | 2.17 × 106 |
| 1.5 | 26.4 ± 5.0 | 4.04 × 106 |
| 3.0 | 34.5 ± 5.3 | 9.38 × 106 |
Organic modifier concentration
Effect of MeOH and ACN reaction coil concentrations upon the assay performance in FIA mode. The S/N ratios of the E2 injections equalling 100% tracer displacement are displayed
Excitation and emission wavelengths
When the excitation and emission wavelengths were varied, the optimal FP signal responses in FIA mode were obtained at an excitation wavelength of 498 nm and an emission wavelength of 522 nm (data not shown). These wavelengths were therefore used to further optimize the on-line FP system in FIA mode.
Competitive receptor binding curves
IC50 values determined in FIA mode and in microplate reader assay format
| Compound | FIA mode IC50 (M ± SEM; n = 3) | Microplate setup IC50 (M ± SEM; n = 3) | Literature data IC50 (M) |
|---|---|---|---|
| DES | 6.9 ± 0.3 × 10−9 | 6.1 ± 0.6 × 10−9 | 3.5 × 10−9 a |
| Tamoxifen | 1.2 ± 0.1 × 10−7 | 1.3 ± 0.4 × 10−7 | 1.9 × 10−7 a |
| Coumestrol | 1.8 ± 0.2 × 10−7 | 2.5 ± 0.3 × 10−7 | 3.6 × 10−7 b |
| E2 | 6.7 ± 0.8 × 10−9 | 3.3 ± 0.3 × 10−9 | 5.6 × 10−9 a |
| EE2 | 1.6 ± 0.2 × 10−9 | 3.5 ± 0.8 × 10−9 | 2.3 × 10−9 b |
FP-based ERα receptor affinity detection coupled on-line to HPLC
Following assay optimization in the microplate reader and FIA modes, the ERα FP RAD assay was coupled on-line to gradient HPLC. In this HRS setup the flow eluting from an HPLC column was coupled directly to the FP RAD system, which enables compound separation prior to the screening of individually eluting compounds for their ERα affinities. This allowed us to screen for compounds with ERα affinities in mixtures. To test the performance of the on-line HRS FP ERα system, different concentrations of the phytoestrogen coumestrol were injected first. A negative peak in the ERα bioaffinity trace was observed at a retention time of 40 min, which is the exact time when coumestrol eluted from the HPLC column (data not shown). As expected, the negative bioaffinity peaks became larger upon injections of higher concentrations of coumestrol. The highest negative peaks were observed when all of the E2-F was displaced by coumestrol. Higher concentrations of coumestrol only caused more tailing of the bioaffinity peaks. These measurements illustrate that the ERα bioaffinity of the phytoestrogen coumestrol could be measured sensitively and efficiently with the new E2-F based HRS ERα FP system, which is not possible due to the occurrence of autofluorescence using the coumestrol-based ERα HRS system developed by Oosterkamp et al. [10].
ERα FP RAD trace of a mixture of five estrogenic compounds injected into the ERα FP RAD HPLC system (injected compounds are as follows: estriol (1) [3.75 nmol; 49.5 min], coumestrol (2) [3.75 nmol; 53.7 min], coumarol (3) [37.5 nmol; 80.4 min], 17β-estradiol (4) [3.75 nmol; 102.8 min] and zearalenone (5) [12.5 nmol; 112.5 min]
a HPLC FLD chromatograms of zearalenone (Z) incubated for 0 and 120 min with PB-induced rat liver microsomes. M1, M2 and M3 are metabolites formed during the 120-min incubation period. b The corresponding ERα FP affinity traces. The structure of zearalenone is depicted in the figure
We conclude that we succeeded in developing, for the first time, an on-line FP-based HRS platform to screen for ERα affinity using the novel on-line FP detector cell recently described in a FIA mode by Kool et al. [20]. The sensitivity of the FP-based HRS platform is comparable to that of the coumestrol-based HRS platform, and no interference from fluorescence was observed at wavelengths below 450 nm. The novel on-line FP detector cell can in principle be applied to other HPLC-based bioaffinity assays which require FP detection. The present HRS ERα FP system offers a novel technology for investigating the metabolic profiles of drugs and other compounds such as phytoestrogens which cannot be measured by the coumestrol-based HRS system due to the occurrence of autofluorescence from the test compounds.
Notes
Acknowledgements
The ERα LBD-expressing Escherichia coli cells were a kind gift from Dr. Marc Ruff and Dr. Dino Moras. We thank Dr. Maikel Wijtmans and Ing. Elwin Janssen for their assistance with the synthesis of E2-F and Dr. Marola van Lipzig for synthesizing coumarol. We would especially like to thank D.J. van Iperen and K. van Altena for the construction of the on-line FP detector cell.
Open Access
This article is distributed under the terms of the Creative Commons Attribution Noncommercial License which permits any noncommercial use, distribution, and reproduction in any medium, provided the original author(s) and source are credited.
References
- 1.Schulte-Oehlmann U, Albanis T, Allera A, Bachmann J, Berntsson P, Beresford N, Carnevali DC, Ciceri F, Dagnac T, Falandysz J, Galassi S, Hala D, Janer G, Jeannot R, Jobling S, King I, Klingmuller D, Kloas W, Kusk KO, Levada R, Lo S, Lutz I, Oehlmann J, Oredsson S, Porte C, Rand-Weaver M, Sakkas V, Sugni M, Tyler C, van Aerle R, van Ballegoy C, Wollenberger L (2006) Environ Health Perspect 114(Suppl 1):98–100CrossRefGoogle Scholar
- 2.Kool J, Ramautar R, van Liempd SM, Beckman J, de Kanter FJ, Meerman JH, Schenk T, Irth H, Commandeur JN, Vermeulen NP (2006) J Med Chem 49:3287–3292CrossRefGoogle Scholar
- 3.Ropero AB, Alonso-Magdalena P, Ripoll C, Fuentes E, Nadal A (2006) J Steroid Biochem Mol Biol 102:163–169CrossRefGoogle Scholar
- 4.McDonnell DP (2005) Clin Cancer Res 11:871s–877sGoogle Scholar
- 5.Usami M, Mitsunaga K, Ohno Y (2002) J Steroid Biochem Mol Biol 81:47–55CrossRefGoogle Scholar
- 6.Gurer-Orhan H, Kool J, Vermeulen NPE, Meerman JHN (2005) Int J Environ Anal Chem 85:149–161Google Scholar
- 7.Parker GJ, Law TL, Lenoch FJ, Bolger RE (2000) J Biomol Screen 5:77–88CrossRefGoogle Scholar
- 8.Oosterkamp AJ, Irth H, Villaverde Herraiz MT, Tjaden UR, van der Greef J (1997) J Chromatogr A 787:27–35CrossRefGoogle Scholar
- 9.Przyjazny A, Hentz NG, Bachas LG (1993) J Chromatogr A 654:79–86CrossRefGoogle Scholar
- 10.Oosterkamp AJ, Villaverde Herraiz MT, Irth H, Tjaden UR, van der Greef J (1996) Anal Chem 68:1201–1206CrossRefGoogle Scholar
- 11.Ingkaninan K, Hazekamp A, de Best CM, Irth H, Tjaden UR, van der Heijden R, van der Greef J, Verpoorte R (2000) J Nat Prod 63:803–806CrossRefGoogle Scholar
- 12.Schenk T, Appels NM, van Elswijk DA, Irth H, Tjaden UR, van der Greef J (2003) Anal Biochem 316:118–126CrossRefGoogle Scholar
- 13.de Boer AR, Letzel T, van Elswijk DA, Lingeman H, Niessen WM, Irth H (2004) Anal Chem 76:3155–3161CrossRefGoogle Scholar
- 14.Kool J, van Liempd SM, van Rossum H, van Elswijk DA, Irth H, Commandeur JN, Vermeulen NP (2007) Drug Metab Dispos 35:640–648CrossRefGoogle Scholar
- 15.Schobel U, Frenay M, van Elswijk DA, McAndrews JM, Long KR, Olson LM, Bobzin SC, Irth H (2001) J Biomol Screen 6:291–303Google Scholar
- 16.van Liempd SM, Kool J, Niessen WM, van Elswijk DE, Irth H, Vermeulen NP (2006) Drug Metab Dispos 34:1640–1649CrossRefGoogle Scholar
- 17.Maragos CM, Jolley ME, Plattner RD, Nasir MS (2001) J Agric Food Chem 49:596–602CrossRefGoogle Scholar
- 18.Trinquet E, Mathis G (2006) Mol Biosyst 2:381–387Google Scholar
- 19.Ohno K, Fukushima T, Santa T, Waizumi N, Tokuyama H, Maeda M, Imai K (2002) Anal Chem 74:4391–4396CrossRefGoogle Scholar
- 20.Kool J, Van Marle A, Hulscher S, Selman M, Van Iperen DJ, Van Altena K, Gillard M, Bakker RA, Irth H, Leurs R, Vermeulen NP (2007) J Biomol Screen 12:1074–1083CrossRefGoogle Scholar
- 21.Buu-Hoi NGPH, Ekert B, Royer R (1954) J Org Chem 19:1548–1552CrossRefGoogle Scholar
- 22.Rooseboom M, Commandeur JN, Floor GC, Rettie AE, Vermeulen NP (2001) Chem Res Toxicol 14:127–134CrossRefGoogle Scholar
- 23.Eiler S, Gangloff M, Duclaud S, Moras D, Ruff M (2001) Protein Expr Purif 22:165–173CrossRefGoogle Scholar
- 24.van Lipzig MM, ter Laak AM, Jongejan A, Vermeulen NP, Wamelink M, Geerke D, Meerman JH (2004) J Med Chem 47:1018–1030CrossRefGoogle Scholar
- 25.Kool J, van Liempd SM, Ramautar R, Schenk T, Meerman JH, Irth H, Commandeur JN, Vermeulen NP (2005) J Biomol Screen 10:427–436CrossRefGoogle Scholar
- 26.Matthews J, Celius T, Halgren R, Zacharewski T (2000) J Steroid Biochem Mol Biol 74:223–234CrossRefGoogle Scholar
- 27.Zollner P, Jodlbauer J, Kleinova M, Kahlbacher H, Kuhn T, Hochsteiner W, Lindner W (2002) J Agric Food Chem 50:2494–2501CrossRefGoogle Scholar
- 28.Pfeiffer E, Heyting A, Metzler M (2007) Mol Nutr Food Res 51:867–871CrossRefGoogle Scholar







