Adaptive efficient global optimization of systems with independent components
- 1k Downloads
Abstract
We present a novel approach for efficient optimization of systems consisting of expensive to simulate components and relatively inexpensive system-level simulations. We consider the types of problem in which the components of the system problem are independent in the sense that they do not exchange coupling variables, however, design variables can be shared across components. Component metamodels are constructed using Kriging. The metamodels are adaptively sampled based on a system level infill sampling criterion using Efficient Global Optimization. The effectiveness of the technique is demonstrated by applying it on numerical examples and an engineering case study. Results show steady and fast converge to the global deterministic optimum of the problems.
Keywords
System optimization Kriging Expected improvement Efficient global optimization Infill sampling Gaussian processes1 Introduction
Optimization of systems has been dealt with in different ways depending on the problem type. The field of multidisciplinary design optimization has evolved at a fast rate in the past decades with the development of various methods and techniques to address optimization of systems with many components or disciplines. In multidisciplinary design optimization the primary focus has been on optimization of systems involving multiple interactions between disciplines which are coupled with one another via coupling variables. Various techniques have been developed that aid in maintaining consistency between these disciplines during the optimization process (Martins and Lambe 2013).
A majority of systems falls under the category of a problem where multiple components have complex interactions with one another. However, a subset of engineering and non-engineering systems consists of components that are not interdependent. Such systems may contain several components but the response of these components can be evaluated independently of one another. In other words, the bi-level problem has a hierarchical structure where, at the lower level, each component in the system is only a function of design variables and there is no exchange of coupling variables between components. In other words, the input-output relation of a component is not influenced by the response of any other components. For this type of problem there is no requirement for maintaining consistency between the different disciplines or components and the system optimization process is therefore much simpler.
In addition, components could be expensive to evaluate but the system transformation may be cheap. Systems of this type are common in the field of integrated optics (Lifante 2003). The response of integrated optical components such as power splitters, directional couplers and phase shifters can be obtained independently of other components. Finding the component response usually requires computationally expensive electromagnetic simulations. Multiple such components can be used to develop complex integrated optical systems. An example of such a system is an integrated optical serial ring resonator (Ahmed et al. 2011).
This work addresses optimization of deterministic hierarchical systems based on independent components that are expensive to evaluate. It is assumed that, once the component responses are available, the system response is cheap to compute. In order to optimize the system we construct response surfaces of the underlying components. The accuracy of the response surfaces depends on the number of samples and their locations. The challenge is to perform the optimization with a desired accuracy at very low computational cost. The response surfaces are built using Kriging (Sacks et al. 1989). Kriging provides an estimator of the Mean Squared Error (MSE) in its interpolation. This MSE was used by Jones et al. (1998) to develop the Expected Improvement (EI) criterion in Efficient Global Optimization (EGO). The EI criterion enables adaptive sampling of unconstrained problems in order to estimate the optimum using relatively few expensive simulations.
We develop a system level EI criterion that is derived from a system level MSE. The system MSE is found by performing a linear transformation of the component level MSE generated by each component metamodel. The system level EI suggests a potential location to be adaptively sampled at each iteration of the algorithm and the component metamodels are updated at the corresponding location. The iterative update of the component metamodels results in a higher fidelity system response with each passing iteration. The process enables the optimum of the system to be estimated using relatively few component simulation calls.
Metamodels have often been used in multidisciplinary optimization (Viana et al. 2014). Improving systems by adaptively sampling component metamodels is also a fairly well known concept (Li et al. 2006; Hu et al. 2011). Optimization of multilevel decomposed systems that have a hierarchical structure has also received attention (Kokkolaras et al. 2004). Similarly, (Barton 1997) employed different strategies for component metamodel construction and update for system level optimization. Research has also been previously performed on partitioning expensive problems with a large number of variables so that they can be treated using component metamodels in a multilevel system framework (Koch et al. 2000), Haftka2005. On the other hand, (Xiu et al. 2013) specifically studied the quantification of error at system level due to component level metamodels in a hierarchical system.
This work also aims to optimize a multi-level problem with a hierarchical structure. The bi-level problem consists of a cheap system transformation at the upper level and expensive component models at the lower level. To our knowledge, there has been no previous work on a system level expected improvement based sampling strategy for optimization of systems involving expensive to simulate components that are independent of each other. The proposed approach can efficiently optimize such systems, provided the number of component variables is so small that high fidelity component metamodels can be built using a reasonable number of simulations.
The method is especially relevant for systems in which the component behavior is easier to approximate than system behavior. Also, it may be advantageous to employ the technique in situations where many similar components are present in the system since a single metamodel can then often replace multiple components. Furthermore, the approach is attractive for fields in which the systems are typically composed of a selection of a small set of components.
The paper is organized as follows. The system level optimization problem of systems with independent components is described in Section 2. In Section 3, we introduce Kriging and EGO and then present the system level EI approach for adaptive sampling of the system. The algorithm is tested on several well known numerical test problems and the result is analyzed in Section 4. The application of the algorithm on a practical engineering problem is shown in Section 5. Finally, Section 6 contains the conclusions and suggestions for future work.
2 Optimization of systems with independent components
We introduce unconstrained optimization of the system in this section, but the method also applies to constrained problems. The constrained problem will be discussed in Section 3.1.3.
a shows the process of optimization of the system based on metamodels of the independent components is shown. In b, a type of problem in which dependence exists between the underlying components of the system is illustrated
The fidelity of the system response that is based on component metamodels will heavily depend on the error of the underlying component response surfaces. Furthermore, the relative amount of system error is also governed by the operation that is performed on the component responses in order to arrive at the system response. This operation could turn a small component error into a large error contribution on the system level and vice versa. Therefore, it is important that any adaptive sampling of the components takes into account the error generated at system level. In the following section we show how such an adaptive sampling scheme can be developed.
3 Infill sampling criterion for system level optimization
3.1 Kriging and efficient global optimization
3.1.1 Kriging
Kriging is a metamodelling method that constructs the best linear unbiased predictor through a set of responses based on certain statistical assumptions. The most important of these assumptions is that the function responses (outputs) at two input locations (points) are more correlated, the closer these points are. Kriging is also a popular method for constructing response surfaces of fully deterministic simulation results (Forrester et al. 2008). Before introducing our new method in Section 3.2, we provide a condensed explanation of the main steps in Kriging metamodel construction. Some equations are included in the Appendix, for reference. Sacks et al. (1989) provide a full description of Kriging.
3.1.2 Efficient global optimization
The adaptive sampling strategy can be explained as follows An initial metamodel \(\mathcal {K}_{f}\) is constructed using n samples chosen via Design of Experiments, e.g. Latin Hypercube sampling (LHS). Equation 7 is then maximized to estimate the new adaptive sampling location x n e w . The sampling location and response is added to the set of samples and responses. The metamodel is constructed again with the augmented set of samples and responses until either EImax, the maximum EI at the last iteration, becomes less than 𝜖 E I or the computational budget N T is exhausted. The algorithm is referred to as Efficient Global Optimization (EGO) (Jones et al. 1998). This EGO algorithm forms the main inspiration for the present work.
3.1.3 Optimization of constrained problems
An infill sampling strategy based on Kriging for computationally expensive constrained problems was first suggested by Schonlau (1997). The method involved building metamodels of the objective and constraints and iteratively improving both sets of metamodels via a single adaptive sampling scheme. This infill sampling criterion was simply a product of probability of improvement in the objective and a probability of feasibility for the constraint.
The probability of feasibility measure operates in much the same way as the probability of improvement for the objective. Metamodels are built for the expensive to evaluate constraint(s). Let the Kriging prediction and MSE for such a constraint metamodel be given by \(\hat {h}(\mathbf {x})\) and s 2,(h)(x). The metamodel uncertainty for each constraint metamodel is again described in terms of a normally distributed random variable H(x) with mean \(\hat {h}(\mathbf {x})\) and variance s 2,(h)(x).
Let h min be the constraint limit, so \(\hat {h}(\mathbf {x}) <h_{{min}}\) (standard notation uses h m i n = 0, so the constrained problem at x remains feasible as long as the constraint is less than or equal to zero; for an example we refer to (30).
3.2 System level EI criterion
The aim of this work is to optimize (2) by means of building and iteratively improving a set of component metamodels such that the optimum of the original system problem, (1), is estimated. An additional goal is to solve system problems involving constraints. Changes required in the iterative sampling strategy to accommodate this goal are discussed in Section 3.3.
In order to update the metamodels in regions of interest for system optimization, an adaptive sampling strategy at system level is required. To derive such a system infill sampling criterion, an error estimate is needed of the system level response, (11).
The EI criterion in Section 3.1 was found by assuming that the uncertainty in the predicted value \(\hat {y}(\mathbf {x})\) at a position x can be described in terms of a normally distributed random variable Y(x) with mean given by the Kriging prediction \(\hat {y}(\mathbf {x})\) and variance given by the Kriging MSE s 2(x). Following the same process, we assume that the uncertainty in the system level response \(\hat {y}_{\text {sys}}\) at a position x can be expressed in terms of a random variable Y s y s (x) with mean \(\hat {y}_{\text {sys}}\) and variance \(s_{sys}^{2}\). Furthermore, we retain the assumption that the uncertainty in the predicted value of each component K c i can be described as a normally distributed random variable Y i (x) with mean given by the Kriging prediction \(\hat {y_{i}}\) and variance given by the Kriging MSE \({s}^{2}_{i}\).
The derivatives b i can be computed cheaply using finite difference in case of black-box system functions, or analytically otherwise. This is based on the assumption that the components are expensive to evaluate, but the system is cheap. Since Y s y s is normally distributed, an analytical expression similar to EI, (7), can be derived for the system level EI as well.
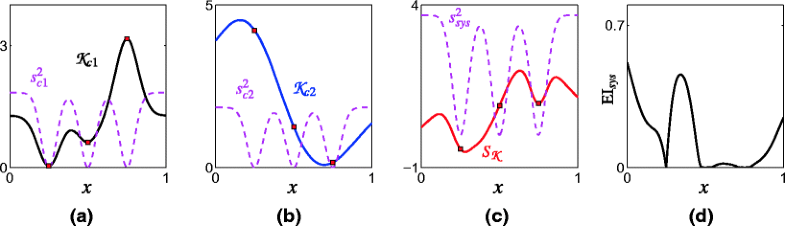
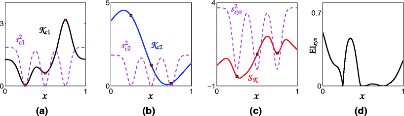
The components c 1(x) and c 2(x) and the system response S(c(x)) are plotted in the domain x ∈ [0,1]
The Kriging metamodel of components c 1(x) and c 2(x) and the system response \(S_{\mathcal {K}}\) are plotted along with their respective error estimate in (a), (b) and (c). Plot (d) shows the system level expected improvement EI s y s
Flowchart shows the steps involved in system optimization
3.3 Constrained optimization of systems
If the system involves constraints then the sampling criterion must also be adapted to deal with these constraints. Similar to the formulation of system-level EI above, a probability of feasibility measure at system level can be derived to ensure that samples are added in areas of interest for constrained optimization instead of unconstrained optimization.
4 Numerical test problems
The algorithm is tested on several test problems to investigate its ability to estimate the optimum of the system accurately and consistently. The performance of the algorithm is compared against treating the entire system as a component and applying optimization using the EGO method (Jones et al. 1998). In the following discussion we refer to the system decomposed into several components with the term DEC, (DEComposed), and the system treated as a single component with the term SAC, where SAC stands for System-As-Component. Similarly, we compare the performance of the approach with an LHS with a fixed sample size based sampling scheme for approximate response construction and optimization of the SAC response.
The advantages of using an adaptive sampling scheme for the decomposed system problem are exhibited by comparing the effectiveness of the method with optimizing a system response for a constrained problem based on component metamodels built via one-shot LHS. A disadvantage of an adaptive sampling scheme such as BEGO is that the user is required to solve a multi-modal optimization problem at every iteration, (20), albeit on a cheap response. The optimization problem is multi-modal because EI = 0 at each sample location that has already been simulated. Various methods for estimating the global optimum on this problem are mentioned in Kleijnen (2015), (p. 268). In this context, it should be noted that we operate under the assumption that the components are so computationally expensive that the internal computational complexity of BEGO is negligible in comparison. If the computational complexity of the underlying components is of the same order as the internal algorithm computation cost then the user may be better served to employ one-shot LHS.
4.1 Algorithm evolution example
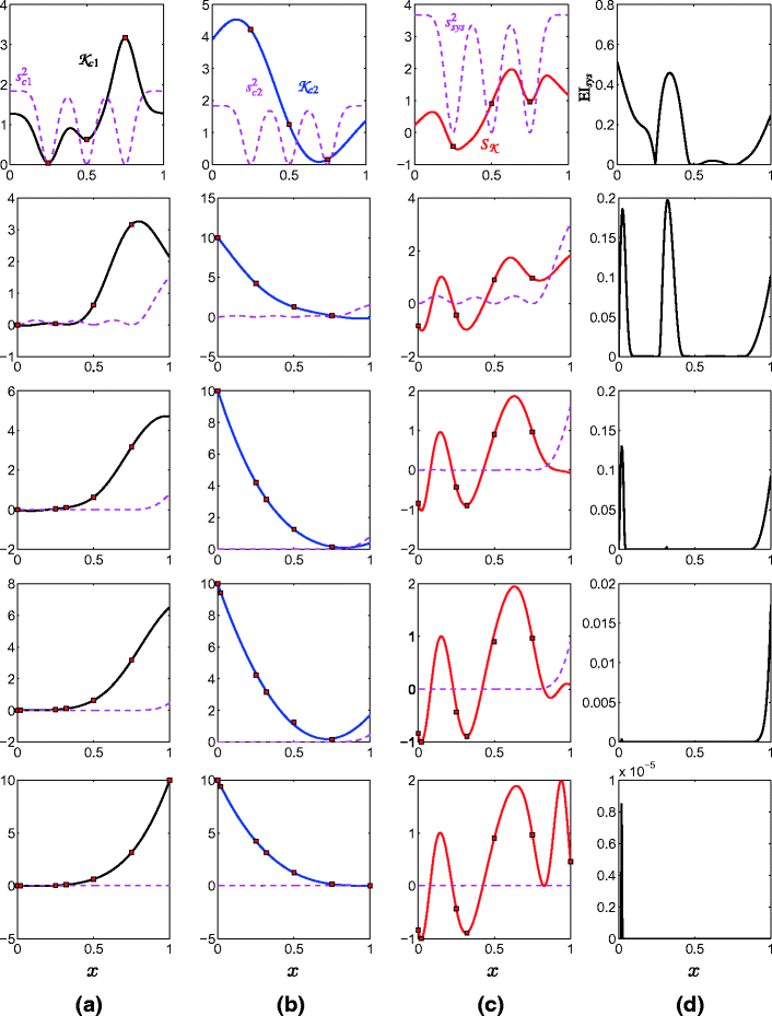
Before performing an in-depth analysis, we illustrate the evolution of the algorithm on the one-variable system that consisted of two non-linear components. The problem was introduced in Section 3, (21). The plot of the reference components and system response was given in Fig. 2.
The evolution of the method is shown as new sampling points are added at each iteration. The Kriging metamodel of components c 1(x) and c 2(x) and the system response \(S_{\mathcal {K}}\) are plotted along with their respective error estimate in (a), (b) and (c). Plot (d) shows the system EI, EI s y s
The DEC and SAC algorithms were applied 20 times on the illustrative system problem S 1. Both methods were initialized with two random sampling locations for each replication. The average number of iterations needed by DEC to converge to the optimum was 6.6 while the corresponding number of iterations for SAC was 14.5. In part, this disparity is caused by the difference in nonlinearity of the system and component responses, which require varying amounts of samples to approximate appropriately. To further illustrate this aspect, additional test problems are discussed below.
4.2 Unconstrained test problems
Comparison of the average number of simulations, based on 20 runs, needed by DEC and SAC to converge to the optimum of the problem. The horizontal axis is the value of the problem parameter p
A question that arises from the clear difference between the performance of DEC and SAC in Fig. 6 is why DEC does so much better than SAC on all problems. The fact is that the metamodels that DEC has to build are very simple linear functions that require only relatively few function calls to fit. On the other hand SAC has to construct the metamodel of the system response which is highly nonlinear. Therefore SAC requires many more iterations to fit the response well enough to estimate the optimum correctly.
The average number of simulations, based on 20 runs, needed by DEC and SAC to converge to the optimum of the problem. The horizontal axis is the value of problem parameter q
The proposed algorithm is applied 100 times on the system in (29). The component models are constructed using 4 initial samples based on LHS. The number of expensive simulations is limited to 12. Therefore the algorithm can run for 8 iterations.
The mean performance of the 100 runs of the system level approach is compared against applying optimization on a Kriging metamodel of the original function in (28) which is constructed using 12 expensive simulations chosen via LHS. The Kriging metamodel is also constructed 100 times based on 100 different combinations of LHS samples and the mean performance is analyzed.
| Optimum | Mean | Standard deviation | Expensive function evaluations |
|---|---|---|---|
| Reference | 0 | − | − |
| Adaptive system sampling | 0.00 | 0.001 | 12 |
| Latin Hypercube sampling | 1.02 | 0.015 | 12 |
4.3 Constrained test problem
The decomposed problem in (31) is used to compare the performance of BEGO with an LHS based strategy. For this problem, metamodels are made for the component response instead of the system response for the LHS based approach as well. Both methods are run 20 times on the proposed problem, (31), and the mean performance is compared.
In the case of BEGO, the component metamodels are initialized with a different number of samples based on the number of dimensions of the component. The four dimensional components c 1 and c 2 are initialized with 20 samples, while the six dimensional components c 3 and c 4 are initialized with 30 samples. The algorithm is allowed to run for 80 iterations. This means that at termination, 100 samples would have been added to \(\mathcal {K}_{c1}\) and \(\mathcal {K}_{c2}\), while \(\mathcal {K}_{c3}\) and \(\mathcal {K}_{c4}\) would be based on 110 samples.
The LHS based approach is therefore given a total budget of 100 samples for c 1 and c 2 and 110 samples for c 3 and c 4. The system response \(S_{\mathcal {K}}\) based on the LHS based metamodels is optimized and the average result of the 20 runs is analyzed.
We also compare the performance for the case in which both LHS and BEGO are given 25 less expensive simulations. This means that BEGO is terminated after 55 iterations. On the other hand, for LHS \(\mathcal {K}_{c1}\) and \(\mathcal {K}_{c2}\) are constructed based on 75 samples and \(\mathcal {K}_{c3}\) and \(\mathcal {K}_{c4}\) are built using 85 samples.
The mean and standard deviation of the global optimum found on each iteration of BEGO based on the 20 runs for the test problem defined in (31)
Comparison of the mean and standard deviation of the global optimum found by BEGO and LHS based on 20 runs for small and large number of observations
| Optimum | Reference | BEGO | LHS | Evaluations c 1, c 2 | Evaluations c 3, c 4 |
|---|---|---|---|---|---|
| Mean | 46.03 | 47.43 | 48.89 | 75 | 85 |
| Standard deviation | − | 0.97 | 2.12 | 75 | 85 |
| Constraint violations | − | 0 | 0 | 75 | 85 |
| Mean | 46.03 | 46.93 | 47.70 | 100 | 110 |
| Standard deviation | − | 0.66 | 1.34 | 100 | 110 |
| Constraint violations | − | 0 | 2 | 100 | 110 |
Using the constrained and unconstrained problems, we have evaluated the performance of BEGO in different settings. The method converges well on the problems and also performs better than a space-filling based strategy. The primary advantage of the adaptive technique lies in reducing the computational budget needed to find the global optimum. Since each extra component simulation significantly increases the time and computational costs of optimization, any amount of reduction in these costs brings significant efficiency improvement. We now test the algorithm in a more practical setting by applying it on an engineering problem.
5 Engineering problem: Optimization of an optical filter
5.1 Background of the problem
Top-view schematic of a second order serial optical ring resonator. The cloud encompasses the complete system. The colored boxes, on the other hand, represent the six expensive to evaluate components
Desired band-pass filter spectral response (red line) of the serial ring resonator. No preference is specified in the intervals [0.1,0.2] and [0.8,0.9]
Power coupling ratio as a function of the coupler length for a certain coupler gap
5.2 System optimization
The system response, S, can be modeled in terms of two expensive components that are repeated three times in the second order resonator since each coupler requires two expensive simulations and there are three couplers in the system. Figure 9 shows the six components c 1 to c 6 as well as the five design variables of the problem [w g 1 g 2 g 3 L]. We treat the responses P L0 and L π , generated from each coupling section, as the components of the problem since this suits the mathematical structure of this problem. The expensive components are only a function of the width and the respective gaps. The components c 1, c 3 and c 5 give the power coupling ratio P L0 for each coupler while the beat length L π for each coupler is found by components c 2, c 4 and c 6.
A commercial electromagnetic solver, PhoeniX Software, is used to compute P L0 and L π . Both simulations require approximately 10 minutes. Initial Kriging metamodels for c 1 and c 2 are built based on n d = 9 samples for w and g 1 chosen via LHS. We assign g 2 and g 3 the same initial sample values as g 1. Since the design domain for all the components is the same we can essentially use \(\mathcal {K}_{c1}\) as the approximate response for P L0 for all three components c 1, c 3 and c 5. Similarly \(\mathcal {K}_{c2}\) can be used to give the beat length L π for components c 2, c 4 and c 6.
Once the component metamodels that predict the value for P L0 and L π for each coupler have been constructed, the following operations to evaluate the system objective are performed at system level. In order to evaluate the objective to be optimized, (32), the power coupling ratio of each coupler is needed. This operation is performed on system level since the value of P L0 and L π can cheaply be predicted by the Kriging metamodels for each coupler. The computation of the transfer function via scattering matrix analysis involves simple operations on small matrices and is therefore also performed on system level. Once the transfer function is known, it has to be plugged into (32) to find the system objective.
A total computational budget of 21 expensive simulations for evaluating P L0 and L π is reserved in addition to the 9 initial simulations. At each iteration of the system algorithm, P L0 and L π is simulated three times for the three different combinations [w g 1], [w g 2] and [w g 3] of the location for infill sampling suggested by the algorithm. The total number of simulations available translates to 7 iterations of the system optimization algorithm since 7 × 3 = 21 simulations. The three new P L0 responses at each iteration are all added to the Kriging metamodel \(\mathcal {K}_{c1}\). On the other hand, \(\mathcal {K}_{c2}\) is augmented with the set of three new beat length responses L π at each iteration.
Plot shows the approximate system response and the reference system response at the global optimum found by BEGO
The location of the global optimum is given along with the objective on the approximate system and the reference system
| w | g1 | g2 | g3 | L | \(S_{\mathcal {K}}\) | S | |
|---|---|---|---|---|---|---|---|
| Optimum | 1.0699 | 1.085 | 1.100 | 1.084 | 1940.2 | 0.0159 | 0.0160 |
The response of the individual components at the global optimum are given for the metamodels and the reference simulator
| Components | c 1(P L0) | c 3(P L0) | c 5(P L0) | c 2(L π ) | c 4(L π ) | c 6(L π ) |
|---|---|---|---|---|---|---|
| Reference | 0.1203 | 0.1126 | 0.1203 | 903.45 | 937.83 | 903.45 |
| Kriging | 0.1203 | 0.1130 | 0.1203 | 903.62 | 938.00 | 903.62 |
6 Conclusion
In this work, we have developed an efficient strategy for global optimization of systems involving independent components. The approach, referred to as BEGO, targets systems involving expensive to evaluate components that do not interact with each other. Kriging metamodels were employed to construct the responses of the expensive components. A novel system level infill sampling strategy was derived in order to sample the components in regions of interest for system optimization. A linear Taylor series approximation of the system transformation of the Kriging components was performed in order to obtain an analytical expression for system level EI. The infill sampling criterion was modified for constrained system optimization by deriving a system level probability of feasibility for each constraint.
The system level optimization approach was first compared with treating the problem as a single component and applying EGO (Jones et al. 1998) for obtaining the optimum. Similarly, the effectiveness of the technique was compared with building a response surface of the system via LHS and globally optimizing the cheap response. Both comparisons exhibited that, in general, there is clear efficiency improvement when optimization is performed on the decomposed problem. However, if the component responses are highly nonlinear and the system response is linear then decomposition may not always result in efficiency improvement.
We demonstrated the advantages of using an adaptive sampling scheme for the decomposed system problem by comparing the effectiveness of the strategy with performing optimization of a system response based on component metamodels constructed using LHS.
The two approaches were applied on a modified and constrained version of the Rastrigin function. Based on an average of 20 runs, BEGO converged comparatively faster to the optimum of the problem as opposed to the LHS based optimization strategy.
In addition, BEGO was applied on an engineering system involving an optical filter based on an integrated photonic serial ring resonator. The engineering problem consisted of a system with six uncoupled components. It was shown that BEGO was able to determine the global optimum of the system problem using only a limited number of expensive component simulations.
The algorithm is especially relevant for problems in which many multiple components are part of the system. In such a situation the same metamodel can be used to construct the response for the multiple components. Another advantage of employing the bilevel framework is that the number of dimensions for each component metamodel is often much lower than the total dimension size at system level. This enables the approximate system response to converge fast to the actual response with each passing component level simulation. Since the component response is treated as a black-box, the method is applicable to any hierarchical system with low dimensional components.
In this work, we have addressed optimization of systems involving independent components. A future aim is to extend the algorithm to the case where the components are dependent. We expect that the extension of the algorithm to systems of dependent components will have to draw upon methods developed within the field of Multidisciplinary Design Optimization (Martins and Lambe 2013).
References
- Ahmed OS, Swillam MA, Bakr MH, Li X (2011) Efficient Design Optimization of Ring Resonator-Based Optical Filters. J Lightwave Technol 29(18):2812–2817. doi: 10.1109/JLT.2011.2162818 CrossRefGoogle Scholar
- Ayyub BM (2003) Risk Analysis in Engineering and Economics. Chapman & Hall/CRC, Boca Raton, FLGoogle Scholar
- Barton RR (1997) Design of experiments for fitting subsystem metamodels Proceedings of the 29th conference on Winter simulation, IEEE Computer Society, pp 303–310Google Scholar
- Forrester A, Sobester A, Keane A (2008) Engineering design via surrogate modelling: a practical guide. John Wiley & Sons, UKGoogle Scholar
- Hu W, Li M, Azarm S, Almansoori A (2011) Multi-Objective Robust Optimization Under Interval Uncertainty Using Online Approximation and Constraint Cuts. J Mech Des 133(6):061,002. doi: 10.1115/1.4003918 CrossRefGoogle Scholar
- Jones DR, Schonlau M, Welch WJ (1998) Efficient Global Optimization of Expensive Black-Box Functions. J Glob Optim 13(4):455–492. doi: 10.1023/A:1008306431147 MathSciNetCrossRefMATHGoogle Scholar
- Kleijnen JP (2015) Design and analysis of simulation experiments. SpringerGoogle Scholar
- Kleijnen JP, Mehdad E (2014) Multivariate versus univariate kriging metamodels for multi-response simulation models. Eur J Oper Res 236(2):573–582. doi: 10.1016/j.ejor.2014.02.001 MathSciNetCrossRefMATHGoogle Scholar
- Koch PN, Mavris D, Mistree F (2000) Partitioned, Multilevel Response Surfaces for Modeling Complex Systems. AIAA J 38(5):875–881. doi: 10.2514/2.1042 CrossRefGoogle Scholar
- Kokkolaras M, Mourelatos ZP, Papalambros PY (2004) Design optimization of hierarchically decomposed multilevel systems under uncertainty ASME 2004 International Design Engineering Technical Conferences and Computers and Information in Engineering Conference, American Society of Mechanical Engineers, p 613–624Google Scholar
- Li G, Azarm S, Farhang-Mehr A, Diaz AR (2006) Approximation of multiresponse deterministic engineering simulations: a dependent metamodeling approach. Struct Multidiscip Optim 31(4):260–269. doi: 10.1007/s00158-005-0574-5
- Lifante G (2003) Integrated photonics: fundamentals. J. Wiley. doi: 10.1002/0470861401
- Martins JRRA, Lambe AB (2013) Multidisciplinary Design Optimization: A Survey of Architectures. AIAA J 51(9):2049–2075. doi: 10.2514/1.J051895
- Mühlenbein H, Schomisch M, Born J (1991) The parallel genetic algorithm as function optimizer. Parallel Comput 17(6):619–632. doi: 10.1016/S0167-8191(05)80052-3
- Sacks J, Welch W, Mitchell TJ, Wynn HP (1989) Design and Analysis of Computer Experiments. Stat Sci 4(4):409–435MathSciNetCrossRefMATHGoogle Scholar
- Schonlau M (1997) Computer experiments and global optimization. PhD thesis, University of WaterlooGoogle Scholar
- Schonlau M, Welch W (1996) Global optimization with nonparametric function fitting Proceedings of the Section on Physical and Engineering Sciences, American Statistical Association, pp 183–186Google Scholar
- Surjanovic S, Bingham D (2013) Virtual Library of Simulation Experiments: Test Functions and Datasets. http://www.sfu.ca/ssurjano
- Syms R, Cozens J (1992) Optical guided waves and devices. McGraw-HillGoogle Scholar
- Taboga M (2012) Lectures on probability theory and mathematical statistics., 2nd edn. CreateSpace Independent Publishing PlatformGoogle Scholar
- Viana FAC, Simpson TW, Balabanov V, Toropov V (2014) Metamodeling in Multidisciplinary Design Optimization: How Far Have We Really Come? AIAA J 52(4):670–690. doi: 10.2514/1.J052375
- Xiu R, Zhang X, Liu Y, Huang HZ (2013) Metamodeling uncertainty quantification in multi-level engineering system design Quality, Reliability, Risk, Maintenance, and Safety Engineering (QR2MSE), 2013 International Conference on, pp 449–454. doi: 10.1109/QR2MSE.2013.6625621
Copyright information
Open AccessThis article is distributed under the terms of the Creative Commons Attribution 4.0 International License (http://creativecommons.org/licenses/by/4.0/), which permits unrestricted use, distribution, and reproduction in any medium, provided you give appropriate credit to the original author(s) and the source, provide a link to the Creative Commons license, and indicate if changes were made.











