Risk Assessment of a Synthetic Pyrethroid, Bifenthrin on Pulses
- 764 Downloads
- 5 Citations
Abstract
This work was undertaken to determine the pre-harvest interval of bifenthrin and to minimize its residues in pulses and thereby ensure consumer safety and avoid non-compliance in terms of residues violations in export market. Furthermore the residue dynamics in the soil under pulses was explored to assess the environmental safety. The residues of bifenthrin dissipated following first order kinetics. The residues in harvest time grains were below the maximum residue limit (MRL) of 0.02 mg/kg applicable for European Union. In soil the degradation rate was fast with a half life of 2–3 days. This work is of high practical significance to the domestic and export pulse industry of India to ensure safety compliance in respect of bifenthrin residues, keeping in view the requirements of international trade.
Keywords
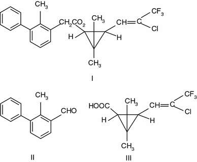
Bifenthrin Dissipation kinetics Pulses Chickpea Pigeon pea SoilBifenthrin (I) and its metabolites II and III
Important properties of bifenthrin
| Property | Bifenthrin |
|---|---|
| CAS number | 82657-04-3 |
| Chemical class | Pyrethroid |
| Chemical name | (2-methyl-1,1-biphenyl-3-y1)-methyl-3-(2-chloro-3,3,3-trifluoro-1-propenyl)-2,2-dimethyl cyclopropanecarboxylate |
| Relative molecular mass | 422.9 |
| Vapor pressure (m Pa) | 0.024 |
| Aqueous solubility(mg/l) | 0.1 |
| Log Kow | >6 |
The environmental fate of bifenthrin is a direct result of its chemical properties and the biotic and abiotic factors to which it is exposed. The major biotic pathway of bifenthrin degradation is hydrolysis into 4′-hydroxy bifenthrin (Fecko 1999). Minor pathways of biotic degradaion include ester cleavage, hydroxylation, and oxidation into benylphenoxy acid, BP alcohol, and BP aldehyde. In aqueous environments bifenthrin is usually adsorbed onto sediment and suspended particles. In addition, hydrolysis forms 4′- hydroxy bifenthrin. In soils, the major degradation pathway involves the formation of 4′-hydroxy bifenthrin and photolysis and ester cleavage produce BP acid, BP alcohol, and TFP.
Bifenthrin is effective for control of insect pets of cotton (Ali and Karim 1994), vegetables (Gupta et al. 2009), fruits (Reddy and Rao 2002), and in public health for control of mosquitoes (Mittal et al. 2002). It has shown good bioefficacy against insect pests of brinjal (Sudhakar et al. 1998) and tomato (Rushtapakornchai and Petchwichit 1996). Efficacy of different insecticides as foliar application was studied against mustard aphid Lipaphis erysimi (Kalt) by Rana et al. (2007). All tested insecticides performed better against aphid as compared to untreated plots and were at par with one another as compared to DC-Tron Plus and check. Carbosulfan proved as the best with 94.34% aphid. Population reduction, followed by bifenthrin, imidacloprid and DC-Tron Plus with 94.20, 92.66 and 53.42% reduction, respectively. Based on these risk assessments, EPA concludes that there is a reasonable certainty that no harm will result to the general population and to infants and children from aggregate exposure to bifenthrin residues. There are however, no reports of the behavior and persistence of bifenthrin on pulse crops like chickpea (cicer aretinium L) and pigeon pea (cajanus cajan L). The pulse crop is infested by a large number of insect pests, like pod borers, aphids, jassids and pod fly, which results in loss in yield. The synthetic pyrethriods have proved to be effective in the control of resistant insect pests of pulse crops (Mukherjee et al. 2007). The consumption of synthetic pyrethroids has increased significantly with the decline in the use of organochlorine pesticides like lindane and endosulfan, which were used for the control of insect pests of pulses. The synthetic pyrethroids represent the most popular class of insecticides today. The presence of pesticides residues in vegetables, fruits and green leaves above the maximum limit is of concern to human health due to the toxic nature of the pesticides. Hence, it is imperative to evaluate the pesticide schedule on edible crops for quantification of residues. This paper presents the behavior of bifenthrin in chickpea and pigeon pea.
Materials and Methods
The maximum temperature during chickpea crop was 27.2 and 12.0°C, respectively with relative humidity of 32%. Average sunshine hours recorded was 9.50. There was no rainfall during the period of study. In case of pigeon pea the maximum and minimum temperatures were 29.8 and 16.9°C, respectively, with relative humidity of 69%. Average sunshine hours recorded was 5. The rainfall recorded during the period was 68.6 mm. A field trial was conducted in a randomized block design during 2007–2008. Pigeon pea (var Pusa 855) and chickpea crop (var Pusa 256) were raised in the fields of Indian Agricultural Research Institute, New Delhi following good agricultural practices of the region. The plot size was 6 m2 for each replicate. Pigeon pea was grown during Khariff (May to October) season, while chickpea was grown in the Rabi season (November to April). Bifenthrin formulation, Talstar 10% was applied @ 25.0 and 50.0 g a.i./ha in 750 L water (Treatment T1 and T2) at 50% pod formation stage in both chickpea and pigeon pea. The experiment was carried out in triplicate for each crop and a control plot was kept aside in which no pesticide was applied.
Physico-chemical properties of the IARI soil
| Properties | Values |
|---|---|
| Mechanical analysis | |
| Sand (%) | 64.9 |
| Silt (%) | 18.0 |
| Clay (%) | 17.1 |
| Textural class | Sandy loam |
| Bulk density (g cm−1) | 1.45 |
| Field capacity (%) | 17.61 |
| Chemical properties | |
| pH (Soil : Water = 1 : 2.5) | 7.41 |
| Electrical conductivity (dsm−1) (Soil : Water = 1 : 2.5) | 0.35 |
| Cation exchange capacity (Cmol (p+) kg−1) | 7.35 |
| Organic carbon (%) | 0.39 |
The concentrate (5 mL) was subjected to column clean up. The glass column (1.5 mm × 45 cm) was packed with anhydrous sodium sulfate (1 g) + neutral alumina (2 g) + Florisil (1 g) + anhydrous sodium sulfate (1 g). The column was pre-washed with hexane (30 mL). The concentrate was loaded onto the column and eluted with a mixture of hexane–acetone (1 + 1). The eluant was concentrated to dryness under rotary vacuum evaporator and made up in hexane before analysis by GLC. The recovery study was also carried out by varying the adsorbent to silica gel and alumina.
GC Apparatus
The quantitative estimation of bifenthrin was carried out using Varian CP-3800 Gas Liquid Chromatograph equipped with Ni 63 electron capture detector. The column CP Sil- 5 (25 m × 0.25 mm ID × 0.25 μ). The column temperature was maintained column programmed from 220°C hold for 6 min increased @ 260°C hold for 10 min. The injector and detector temperatures were 275 and 300°C, respectively. The carrier gas flow in the column was 2 mL/min and backup flow was 27 mL/min. The total run time was 10 min. The retentions time of bifenthrin under the conditions was 5.97 min. The concentration of bifenthrin was calculated on the basis of a peak area from the calibration curve. Standard solutions of different concentrations 0.1, 0. 2, 0.5, 1.0, 1.5 and 2.0 μg mL−1 of bifenthrin was injected in the GLC and a calibration curve was drawn by plotting peak area vs concentration. Each injection was made thrice for all the concentrations so as to obtain the linearity range of the pesticide.
Result and Discussions
Recovery of bifenthrin from chickpea and pigeon pea
| Adsorbent | Amount added (μg g−1) | Amount recovered (μg g−1) | Average percent recovery (SD) | |||
|---|---|---|---|---|---|---|
| R1 | R2 | R3 | Average (SD) | |||
| Silica gel | 0.5 | 0.34 | 0.39 | 0.42 | 0.38 | 76.6 (0.04) |
| Silica gel | 1 | 0.68 | 0.67 | 0.32 | 0.65 | 65.6 (0.03) |
| Alumina | 0.5 | 0.37 | 0.4 | 0.45 | 0.40 | 81.3 (0.04) |
| Alumina | 1 | 0.77 | 0.76 | 0.69 | 0.74 | 74.0 (0.04) |
| Alumina + Florisil | 0.01 | 0.064 | 0.076 | 0.072 | 0.070 | 70.6 (0.006) |
| Alumina + Florisil | 0.5 | 0.46 | 0.44 | 0.48 | 0.46 | 92.0 (0.02) |
| Alumina + Florisil | 1 | 0.85 | 0.83 | 0.85 | 0.85 | 85.6 (0.03) |
Residues (mg/kg) of bifenthrin on chickpea and pigeonpea
| Days dose (g ai/ha) | Commodity | 0 | 1 | 3 | 5 | 7 | 10 | 15 | Harvest grains |
|---|---|---|---|---|---|---|---|---|---|
| 25 | Chickpea | 2.62 | 2.37 | 1.86 | 1.22 | 0.98 | 0.53 | ND | ND |
| 50 | 5.69 | 4.83 | 3.12 | 2.33 | 1.43 | 0.57 | 0.16 | ND | |
| 25 | Pigeon pea | 2.08 | 1.87 | 1.02 | 0.79 | 0.68 | 0.23 | ND | ND |
| 50 | 4.58 | 3.27 | 2.53 | 1.12 | 0.73 | 0.48 | 0.17 | ND |
Residues (mg kg −1) of bifenthrin in soil under chickpea and pigeonpea crop
| Days dose (g ai/ha) | Commodity | 0 | 1 | 3 | 5 | 7 | 10 | 15 | Harvest time soil |
|---|---|---|---|---|---|---|---|---|---|
| 25 | Chickpea soil | 1.31 | 1.13 | 0.8 | 0.61 | 0.43 | 0.16 | 0.02 | ND |
| 50 | 2.81 | 2.31 | 1.40 | 1.08 | 0.62 | 0.21 | 0.08 | ND | |
| 25 | Pigeon pea soil | 1.02 | 0.89 | 0.48 | 0.32 | 0.18 | 0.10 | ND | ND |
| 50 | 2.24 | 1.54 | 1.05 | 0.58 | 0.31 | 0.21 | 0.05 | ND |
Regression equation and half-life of bifenthrin on chickpea and pigeon pea
| Commodity | Dose (g ai/ha) | Y= | RL50 (days) | R2 |
|---|---|---|---|---|
| Chickpea | 25 | 0.4447–0.0694x | 4.30 | 0.989 |
| 50 | 0.8121–0.1041x | 2.89 | 0.9907 | |
| Pigeon pea | 25 | 0.3389–0.0901x | 3.34 | 0.9572 |
| 50 | 0.6152–0.0952x | 3.34 | 0.9839 | |
| Chickpea soil | 25 | 2.25–0.1166x | 2.73 | 0.94 |
| 50 | 2.47–0.1058x | 3.01 | 0.98 | |
| Pigeon pea soil | 25 | 2.09–0.1289x | 2.50 | 0.97 |
| 50 | 2.32–0.1073x | 3.01 | 0.99 |
Average initial deposits of bifenthrin on pigeon pea at recommended and double the recommended dose of application were 2.08 and 4.58 mg/kg, respectively. Residues dissipated with time, at both the doses. At high dose residues of bifenthrin persisted up to 15 days, whereas at low dose no residues were found on 15th day samples (Table 4). Half-life values calculated following first order dissipation kinetics model was 3.34 days at low and high dose, respectively (Table 6). Initial residues in soil under pigeon pea crop recorded was 1.02 and 2.24 mg/kg at recommended and double the recommended dose of application. The residues dissipated with time to non-detectable (<0.01 mg/kg) and 0.05 mg/kg on 15 day after application and at harvest time the residues were below detectable limit (<0.01 mg/kg) in soil (Table 5). The half lives of bifenthrin in soil were 3.73 and 3.01 days at recommended and double the recommended dose of application, respectively.
It is imperative to quantify the residues of bifenthrin in soil as almost 50% of the pesticide falls on soil during foliar application. Literature reveals that Long persistence was observed for bifenthrin under both aerobic and anaerobic conditions, and the half-life ranged from 8 to 17 months at 20°C(Gan et al. 2005). Recent studies showed that synthetic pyrethroids (SPs) can move via surface runoff into aquatic systems. In the aqueous phase, bifenthrin was rapidly degraded by strains of Stenotrophomonas acidaminiphila, and the half-life (t1/2) was reduced from >700 h to 30 to 131 h. Bifenthrin t1/2 was 343 to 466 h for a field sediment, and increased to 980 to 1,200 h for a creek sediment. Although SP-degrading bacteria may be widespread in aquatic systems, adsorption to sediment could render SPs unavailable to the degraders, thus prolonging their persistence (Lee et al. 2004). In order of decreasing toxicity of sediment-associated residues, the compounds tested were bifenthrin (average 10-d median lethal concentration (LC50) = 0.18 microg/g OC) (Amweg et al. 2005). Bifenthrin degraded at a much slower rate as compared to imidacloprid and chlorpyrifos and the presence of moisture did not have any significant effect on the degradation of bifenthrin in soil at the termiticidal application rate (Baskaran et al. 1999).
Residues of bifenthrin below the detectable limit in chickpea and pigeon pea harvest grains (<0.01 mg/kg). In India, maximum residue limit (MRL) of bifenthrin on has not been fixed, however, Codex MRL of bifenthrin on pulses is fixed as 0.02 mg/kg. The residues are below the detectable limit in harvested grains at both low and high dose of application, the schedule is considered to be safe from toxicity point of view. The metabolites, 1RS, 3RS)-3-[(Z)-2-chloro-3,3,3-trifluoroprop-1-enyl]-2,2-dimethyl cyclopropane carboxylic acid (TFP acid, Fig. 1, III) and 4′-OH bifenthrin, (4′-hydroxy-2-methylbiphenyl-3-yl)methyl (1RS,3RS)-3-[(Z)-2-chloro-3,3,3-trifluoroprop-1-enyl]-2,2-dimethylcyclopropanecarboxylate were not detected in green pods and in soil at harvest, bifenthrin was found to be the major residue component. Similar finding were also observed in metabolism studies on apples, cotton seed and corn plants bifenthrin was found to be the predominant residue. No significant cis- trans-isomerisation and translocation of residues through the plant were observed (http://www.efsa.europa.eu).
Theoretical Maximum residue Contribution in Chickpea and Pigeon pea
| Days | Residues in chickpea (mg kg−1) | TMRC mg person−1 day−1 | Residues in chickpea (mg kg−1) | TMRC mg person−1 day−1 | Residues in pigeon pea (mg kg−1) | Calculated TMRC mg person−1 day−1 | Residues in Pigeon pea (mg kg−1) | Calculated TMRC mg person−1 day−1 |
|---|---|---|---|---|---|---|---|---|
| 0 | 2.62 | 0.655 | 5.69 | 1.425 | 2.08 | 0.52 | 4.58 | 1.145 |
| 1 | 2.37 | 0.59 | 4.83 | 1.20 | 1.87 | 0.46 | 3.27 | 0.81 |
| 3 | 1.86 | 0.46 | 3.12 | 0.78 | 1.02 | 0.25 | 2.53 | 0.63 |
| 5 | 1.22 | 0.30 | 2.33 | 0.58 | 0.79 | 0.19 | 1.12 | 0.28 |
| 7 | 0.98 | 0.25 | 1.43 | 0.35 | 0.68 | 0.17 | 0.73 | 0.18 |
| 10 | 0.53 | 0.13 | 0.57 | 0.145 | 0.23 | 0.05 | 0.48 | 0.12 |
| 15 | 0.01 | 0.0025 | 0.16 | 0.04 | 0.01 | 0.0025 | 0.17 | 0.04 |
Theoretical Maximum residue Contribution in Chickpea and Pigeon pea
| Days | TMRC* mg person−1 day−1 | TMRC mg person−1 day−1 | Calculated TMRC mg person−1 day−1 | Calculated TMRC mg person−1 day−1 |
|---|---|---|---|---|
| 0 | 0.655 | 1.425 | 0.52 | 1.145 |
| 1 | 0.59 | 1.20 | 0.46 | 0.81 |
| 3 | 0.46 | 0.78 | 0.25 | 0.63 |
| 5 | 0.30 | 0.58 | 0.19 | 0.28 |
| 7 | 0.25 | 0.35 | 0.17 | 0.18 |
| 10 | 0.13 | 0.145 | 0.05 | 0.12 |
| 15 | 0.0025 | 0.04 | 0.0025 | 0.04 |
Notes
Acknowledgements
We thank the Head of the Division, Dr A. K. Dikshit for the encouragement and the facilities provided during the work. Division of Agricultural Chemicals contribution number 993.
Open Access
This article is distributed under the terms of the Creative Commons Attribution Noncommercial License which permits any noncommercial use, distribution, and reproduction in any medium, provided the original author(s) and source are credited.
References
- Ali MI, Karim MA (1994) Biological efficacy of some chemical insecticides against the cotton jassis, Amrasca devastans (Dist.). Entomol Generalis 18:161–167Google Scholar
- Amweg EL, Weston DP, Ureda NM (2005) Use and toxicity of pyrethroid pesticides in the Central Valley, California, USA. Environ Toxicol Chem 24:966–972CrossRefGoogle Scholar
- Baskaran S, Kookana RS, Naidu R (1999) Degradation of bifenthrin, chlorpyrifos and imidacloprid in soil and bedding material at termiticidal application rate. Pesticide Sci 55:1222–1228Google Scholar
- Codex Alimentarius Commission MRL of Pesticides (2009) EFSA Scientific report (2008) Con clusion on peer review of bifenthrin.186, 1-109. http://www.efsa.europa.eu
- Fecko A (1999) Environmental fate of bifenthrin. Environ. Monitoring and Pest Mgt. Branch, Dept. of Pesticide Regulat., 830 K Street, Sacramento, CA 95814Google Scholar
- Gan J, Lee SJ, Liu WP, Haver DL, Kabashima JN (2005) Distribution and persistence of pyrethroids in runoff sediments. J Environ Qual 34:836–841CrossRefGoogle Scholar
- Gupta S, Sharma RK, Gupta RK, Sinha SR, Rai Singh, Gajbhiye VT (2009) Persistence of New Insecticides and Their Efficacy Against Insect Pests of Okra. Bull Environ Contam Toxicol 82:243–247CrossRefGoogle Scholar
- Lee S, Gan J, Kim JS, Kabashima JN, Crowley DE (2004) Microbial transformation of pyrethroid insecticides in aqueous and sediment phases. Environ Toxicol Chem 23:1–6CrossRefGoogle Scholar
- Mittal PK, Adak T, Subbarao SK (2002) Relative efficacy of five synthetic pyrethroids against four vector mosquitoes, Anopheles culicifacies, Anopheles stephensi, Culex quinquefasciatus and Aedes aegypti. Indian J Malaria 39:34–38Google Scholar
- Mukherjee I, Gopal M, Mathur DS (2007) Behaviour of β-cyfluthrin after foliar application on chickpea (cicer aretinium L) and pigeon pea (cajanus cajan L.). Bull Environ Contam Toxicol 78:76–80Google Scholar
- Rana ZA, Shahzad MA, Malik NA, Saleem A (2007) Efficacy of different insecticides against mustard aphid. J Agric Res 45:221Google Scholar
- Reddy DJ, Rao BN (2002) Efficacy of selected insecticides against pests of grapevine. Pesticide Res J 14:92–99Google Scholar
- Rushtapakornchai W, Petchwichit P (1996) Efficiency of some insecticides for controlling tobacco whitefly Bemisia tabaci and leaf miner Liriomyza trifolii on tomato Kaen Kaset Khon Kaen. Agric J 24:184–189Google Scholar
- Sudhakar K, Punnaiah KC, Krishnayya PV (1998) Efficacy of certain selected insecticides on the sucking pest complex of brinjal. Indian J Entomol 60:241–244Google Scholar
- Tomlin CDS (2006) The Pesticide Manual, 14th edn. Published by British Crop Protection Council, UK, pp 94–95Google Scholar
- Ware GW (2000) The pesticide book, 5th edn. Thomson Publications, Fresno, CaliforniaGoogle Scholar
