Abstract
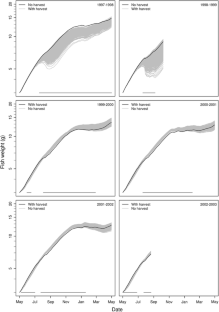
Data from a paired-catchment study in south coastal British Columbia, Canada, were analyzed to assess the thermal effects of clearcut harvesting with no riparian buffer on a fish-bearing headwater stream. The approach used time series of daily mean water temperatures for East Creek (control) and A Creek (treatment), both before and after harvest. Statistical models were developed to predict (a) what the temperatures would have been in the post-harvest period had harvesting not occurred, and (b) what temperatures would have been in the pre-harvest period had harvesting already occurred. The Wisconsin Bioenergetics Model was used to simulate growth of coastal cutthroat trout (Oncorhynchus clarki clarki) for the first year following fry emergence using the predicted and observed stream temperatures to generate scenarios representing with-harvest and no-harvest thermal regimes. A Monte Carlo approach was used to quantify the effects of uncertainty associated with the regression models on predicted stream temperature and trout growth. Summer daily mean temperatures in the with-harvest scenario were up to \(5^{\circ}\hbox{C}\) higher than those for the no-harvest scenario. Harvesting-induced warming reduced growth rates during summer, but increased growth rates during autumn and spring. In the with-harvest scenario, trout were 0.2–2.0 g (absolute weight) smaller throughout the winter period than in the no-harvest scenario. However, the bioenergetic simulations suggest that trout growth may be more sensitive to potential changes in food supply following harvesting than to direct impacts of stream temperature changes.
This is a preview of subscription content, access via your institution.






References
Allan JD, Wipfli MS, Caouette JP, Prussian A, Rodgers J (2003) Influence of streamside vegetation on inputs of terrestrial invertebrates to salmonid food webs. Can J Fish Aquat Sci 60(3):309–320
Baxter CV, Fausch KD, Saunders WC (2005) Tangled webs: reciprocal flows of invertebrate prey link streams and riparian zones. Freshw Biol 50(2):201–220
Beschta RL, Bilby RE, Brown G, Holtby LB, Hofstra TD (1987) Stream temperature and aquatic habitat: Fisheries and forestry interactions. In: Salo EO, Cundy TW (eds) Streamside management: Forestry and fishery interactions, vol 57. University of Washington, Institute of Forest Resources, Seattle, Washington, pp 191–232
Bilby RE, Bisson PA (1992) Allochthonous versus autochthonous organic matter contributions to the trophic support of fish populations in clear-cut and old-growth forested streams. Can J Fish Aquat Sci 49(3):540–551
Bisson PA, Sedell JR (1984) Salmonid populations in streams in clear-cut vs. old-growth forests of western Washington. In: Meehan WR, Merrell TR, Hanley TA (eds) Proceedings of a symposium: fish and wildlife relationships in old-growth forests. Morehead City, North Carolina. American Institute of Fishery Research Biologists, pp 121–129
Bjornn TC, Reiser DW (1991) Habitat requirements of salmonids in streams. In: Meehan WR (ed) Influences of forest and rangeland management on salmonid fishes and their habitat, vol 19. American Fisheries Society Special Publication, Bethesda, Maryland, pp 83–138
Boss SM (2000) Summer resource limitation and over-winter movement and survival of stream-resident coastal cutthroat trout. Master’s thesis, University of British Columbia
Boss SM, Richardson JS (2002) Effects of food and cover on the growth, survival, and movement of cutthroat trout (Oncorhynchus clarki) in coastal streams. Can J Fish Aquat Sci 59(6):1044–1053
Brown GW, Krygier JT (1970) Effects of clear-cutting on stream temperature. Water Resour Res 6(4):1133–1139
Campton DE, Utter FM (1985) Natural hybridization between steelhead trout (Salmo gairdneri) and coastal cutthroat trout (Salmo clarki clarki) in two Puget Sound streams. Can J Fish Aquat Sci 42(1):110–119
Chipps SR, Wahl DH (2008) Bioenergetics modeling in the 21st century: reviewing new insights and revisiting old constraints. Trans Am Fish Soc 137(1):298–313
De Groot JD, Hinch SG, Richardson JS (2007) Effects of logging second-growth forests on headwater populations of coastal cutthroat trout: A 6-year, multistream, before-and-after field experiment. Trans Am Fish Soc 136(1):211–226
Ebersole JL, Liss WJ, Frissell CA (2001) Relationship between stream temperature, thermal refugia and rainbow trout (Oncorhynchus mykiss) abundance in arid-land streams in the northwestern United States. Ecol Freshw Fish 10(1):1–10
Gomi T, Moore RD, Dhakal AS (2006) Headwater stream temperature response to clear-cut harvesting with different riparian treatments, coastal British Columbia, Canada. Water Resour Res 42(8):W08437
Groom JD, Dent L, Madsen LJ (2011) Stream temperature change detection for state and private forests in the Oregon Coast Range. Water Resour Res 47(1):W01501
Hansen MJ, Boisclair D, Brandt SB, Hewett SW, Kitchell JF, Lucas MC, Ney JJ (1993) Applications of bioenergetics models to fish ecology and management: where do we go from here?. Trans Am Fish Soc 122(5):1019–1030
Hanson PC, Johnson TB, Schindler DE, Kitchell JF (1997) Fish Bioenergetics 3.0. University of Wisconsin, Sea Grant Institute, Center for Limnology
Hartman KJ, Kitchell JF (2008) Bioenergetics modeling: progress since the 1992 symposium. Trans Am Fish Soc 137(1):216–223
Hawkins CP, Sedell JR (1981) Longitudinal and seasonal changes in functional organization of macroinvertebrate communities in four Oregon streams. Ecology 62(2):387–397
Hicks BJ, Hall JD, Bisson PA, Sedell JR (1991) Response of salmonid populations to habitat changes. In: Meehan WR (ed) Influences of forest and rangeland management on salmonid fishes and their habitat, vol 19. American Fisheries Society Special Publication, Bethesda, Maryland, pp 483–518
Holtby LB (1988) Effects of logging on stream temperatures in Carnation Creek British Columbia, and associated impacts on the coho salmon (Oncorhynchus kisutch). Can J Fish Aquat Sci 45(3):502–515
Hoover SER, Shannon LGW, Ackerman JD (2007) The effect of riparian condition on invertebrate drift in mountain streams. Aquat Sci 69(4):544–553
Jackson CR, Sturm CA, Ward JM (2001) Timber harvest impacts on small headwater stream channels in the Coast Ranges of Washington. J Am Water Resour Assoc 37(6):1533–1549
Johnson SL (2004) Factors influencing stream temperatures in small streams: substrate effects and a shading experiment. Can J Fish Aquat Sci 61(6):913–923
Johnson SL, Jones JA (2000) Stream temperature responses to forest harvest and debris flows in western Cascades, Oregon. Can J Fish Aquat Sci 57(S2):30–39
Kiffney PM, Richardson JS, Bull JP (2003) Responses of periphyton and insects to experimental manipulation of riparian buffer width along forest streams. J Appl Ecol 40(6):1060–1076
Kiffney PM, Richardson JS, Feller MC (2000) Fluvial and epilithic organic matter dynamics in headwater streams of southwestern British Columbia. Archiv für Hydrobiologie 149(1):109–129
Kutner MH, Nachtsheim CJ, Neter J, Li W (2005) Applied linear statistical models. 5th edn. McGraw-Hill Irwin, New York
McCullough DA, Bartholow JM, Jager HI, Beschta RL, Cheslak EF, Deas ML, Ebersole JL, Foott JS, Johnson SL, Marine KR et al (2009) Research in thermal biology: burning questions for coldwater stream fishes. Rev Fish Sci 17(1):90–115
Mellina E, Hinch SG (2009) Influences of riparian logging and in-stream large wood removal on pool habitat and salmonid density and biomass: a meta-analysis. Can J Forest Res 39(7):1280–1301
Moore RD, Wondzell SM (2005) Physical hydrology and the effects of forest harvesting in the Pacific Northwest: a review. J Am Water Resour Assoc 41(4):763–784
Moore RD, Spittlehouse DL, Story A (2005a) Riparian microclimate and stream temperature response to forest harvesting: a review. J Am Water Resour Assoc 41(4):813–834
Moore RD, Sutherland P, Gomi T, Dhakal A (2005b) Thermal regime of a headwater stream within a clear-cut, coastal British Columbia, Canada. Hydrol Process 19(13):2591–2608
Moring JR, Lantz RL (1975) The Alsea Watershed study: effects of logging on the aquatic resources of three headwater streams of the Alsea River, Oregon, part 1. Biological studies. Fisheries research report 9, Oregon Department of Fish and Wildlife, Corvallis, Oregon
Murphy ML, Hall JD (1981) Vaired effects of clear-cut logging on predators and their habitat in small streams of the Cascade Mountains, Oregon. Can J Fish Aquat Sci 38(2):137–145
Murphy ML, Heifetz J, Johnson SW, Koski KV, Thedinga JF (1986) Effects of clear-cut logging with and without buffer strips on juvenile salmonids in Alaskan streams. Can J Fish Aquat Sci 43(8):1521–1533
R Development Core Team (2009) R: A Language and Environment for Statistical Computing. R Foundation for Statistical Computing, Vienna, Austria. ISBN 3-900051-07-0
Raggon MF (2010) Seasonal variability in diet and consumption by cottid and salmonid fishes in headwater streams in western Oregon, USA. Master’s thesis, Oregon State University
Railsback SF, Rose KA (1999) Bioenergetics modeling of stream trout growth: temperature and food consumption effects. Trans Am Fish Soc 128(2):241–256
Rand PS, Stewart DJ, Seelbach PW, Jones ML, Wedge LR (1993) Modeling steelhead population energetics in Lakes Michigan and Ontario. Trans Am Fish Soc 122(5):977–1001
Rishel GB, Lynch JA, Corbett ES (1982) Seasonal stream temperature changes following forest harvesting. J Environ Qual 11(1):112–116
Torgersen CE, Price DM, Li HW, McIntosh BA (1999) Multiscale thermal refugia and stream habitat associations of chinook salmon in northeastern oregon. Ecol Appl 9(1):301–319
Trotter PC (1989) Coastal cutthroat trout: a life history compendium. Trans Am Fish Soc 118(5):463–473
Venables WN, Ripley BD (1997) Modern Applied Statistics with S-Plus, 2nd edn. Springer-Verlag, New York
Watson F, Vertessy R, McMahon T, Rhodes B, Watson I (2001) Improved methods to assess water yield changes from paired-catchment studies: application to the Maroondah catchments. Forest Ecol Manag 143(1–3):189–204
Winfield M (2002) The role of wood in headwater channels and short-term channel responses to harvesting of second growth riparian forests in southwestern British Columbia. Master’s thesis, The University of British Columbia, Vancouver
Wipfli MS (1997) Terrestrial invertebrates as salmonid prey and nitrogen sources in streams: contrasting old-growth and young-growth riparian forests in southeastern Alaska, USA. Can J Fish Aquat Sci 54(6):1259–1269
Wipfli MS, Musslewhite J (2004) Density of red alder (Alnus rubra) in headwaters influences invertebrate and detritus subsidies to downstream fish habitats in Alaska. Hydrobiologia 520(1):153–163
Zhang Y, Richardson JS, Pinto X (2009) Catchment-scale effects of forestry practices on benthic invertebrate communities in Pacific coastal streams. J Appl Ecol 46(6):1292–1303
Acknowledgments
Funding was provided by operating grants to RDM and SGH from Forest Renewal British Columbia (FRBC) and the Natural Sciences and Engineering Research Council (NSERC). JAL was supported by a Canadian Graduate Scholarship from NSERC. TG was supported by funding through grants from FRBC and Forestry Investment Initiative (FII). This project was part of a broader FRBC- and FII-funded project titled ‘Ecology and management of riparian-stream ecosystems: a large scale experiment using alternative streamside management techniques’ (P.I. John Richardson). Jennifer Bull assisted with field data collection and processing. Eric Leinberger produced Fig. 1. Two anonymous reviewers and the associate editor provided helpful comments which greatly improved the clarity of the manuscript.
Author information
Affiliations
Corresponding author
Rights and permissions
About this article
Cite this article
Leach, J.A., Moore, R.D., Hinch, S.G. et al. Estimation of forest harvesting-induced stream temperature changes and bioenergetic consequences for cutthroat trout in a coastal stream in British Columbia, Canada. Aquat Sci 74, 427–441 (2012). https://doi.org/10.1007/s00027-011-0238-z
Received:
Accepted:
Published:
Issue Date:
Keywords
- Stream temperature
- Forest harvesting
- Bioenergetics modelling
- Paired-catchment study
- Autocorrelation
- Cutthroat trout