Analysis of Summer Ozone Observations at a High Mountain Site in Central Italy (Campo Imperatore, 2388 m a.s.l.)
- 951 Downloads
- 6 Citations
Abstract
Tropospheric ozone (O3) is an important atmospheric pollutant and climate forcer. The Mediterranean basin is a hot-spot region in terms of short-term O3 distribution, with frequent episodes of high tropospheric O3, especially during summer. To improve the characterisation of summer O3 variability in the Mediterranean area, during the period 6–27 August 2009 an experimental campaign was conducted at Campo Imperatore, Mt Portella (CMP), a high mountain site (2,388 m a.s.l.) located in the central Italian Apennines. As deduced from analysis of atmospheric circulation, the measurement site was significantly affected by air masses originating over the Mediterranean basin, which affected the measurement site for 32 % of the time. Analysis of average values and diurnal and day-to-day variability revealed that CMP O3 observations (average value 60.0 ± 5.1 ppbv) were comparable with measurements at other European mountain stations, indicating a prevalent effect of meteorological conditions and atmospheric transport on the synoptic scale. In fact, only a small “reverse” diurnal variation typically characterises diurnal O3 variability because of local thermal wind circulation, which sporadically favours transport of air masses rich in O3 from the foothill regions. Statistical analysis of five-day back-trajectory ensembles indicates that synoptic-scale air-mass transport from the Mediterranean Sea usually results in decreasing O3 concentrations at CMP, whereas the highest hourly O3 values are mostly associated with air masses from central continental Europe, eastern Europe, and northern Italy. High O3 concentrations are also related to downward air-mass transport from higher altitudes. Comparison of in-situ O3 variability with tropospheric O3 satellite-based measurements reveals similar features of the two data sets. Together with the results from back-trajectory analysis, this indicates that CMP measurements might usefully improve characterisation of broad-scale O3 variability over the central Mediterranean basin.
Keywords
Ozone summer Italy pollution mountain air-mass back-trajectories1 Introduction
Tropospheric ozone (O3) is one of the most important atmospheric gases involved in photochemical reactions, and is the most important factor determining the oxidation capacity of the troposphere and air quality (Jacobson, 2002). Tropospheric O3 has, moreover, been recognised as the third most important greenhouse gas contributing to anthropogenic radiative forcing (Forster et al., 2007).
The Mediterranean basin is a hot-spot region in terms of short-term O3 distribution and related anthropogenic contributions (Monks et al., 2009): surface O3 concentrations have doubled in the Mediterranean basin compared with pre-industrial ages (UNEP and WMO, 2011). Photochemical production and O3 build-up frequently occur in this region during warm weather (Vautard et al., 2005). In fact, the Mediterranean basin is a sensitive region for occurrence of high O3 levels, especially during summer, because of the favourable meteorological conditions (high solar radiation, high temperature, and light surface wind), high emission of anthropogenic and natural O3 precursors, and its role as a major crossroad for air-mass transport (Lelieveld et al., 2002; Cristofanelli and Bonasoni, 2009). In particular, as summarized by Lolis et al. (2008), anti-cyclonic conditions usually prevail over the Mediterranean basin during summer, for a variety of reasons:
- 1.
the enhanced action of the sub-tropical anti-cyclone;
- 2.
the downward heat fluxes driven by the cooling of the lower atmosphere over the cool sea surface; and
- 3.
the subsidence over the eastern Mediterranean associated with the Asian monsoon.
However, atmospheric blocking over central Europe combined with cut-off lows in the eastern Mediterranean and the Gibraltar region can have a non-negligible effect on atmospheric circulation (especially in June, August, and September).
As a result of the interaction between O3 sources and air-mass transport (both regional and long-range), and because of its variable chemical lifetime (from days to a month), complex spatial and temporal variations in tropospheric O3 can lead to inhomogeneous distribution of its radiative forcing (Mickley et al., 2004) and non-linear effects on regional air quality (West et al., 2009). Thus, observation of O3 variability in different regions can contribute to furnishing a more complete picture of spatial and temporal O3 features. For these reasons, continuous baseline O3 monitoring is a crucial activity for improving characterization of the variability of atmospheric properties in the Mediterranean troposphere. In particular, because mountains are often characterised by large “areas of representativeness” and by “clean” conditions, such locations are often regarded as useful for studying the background conditions of the lower troposphere (Henne et al., 2008). Despite this, and because of the challenging environmental and logistic conditions involved in performing atmospheric observations in high mountain regions, in-situ observations of O3 (and other atmospheric compounds) are still sparse in the Mediterranean region—although high-altitude measurement sites are present along the northern border of the region (e.g. the Alpine and Carpathian regions, Pyrenees), only the global GAW-WMO station of Monte Cimone (CMN, 2165 m, northern Apennines, Italy) is operational inside the region (see, for instance, the World Data Center for Greenhouse, Gases, http://ds.data.jma.go.jp/gmd/wdcgg/). Since 1996, long-term O3 monitoring has been conducted continuously at this station. Cristofanelli and Bonasoni (2009) pointed out the importance of natural processes (e.g. stratosphere-to-troposphere transport, mineral dust transport) and anthropogenic sources (e.g. pollution transport) in determining O3 variability at high altitudes over the Mediterranean basin. Together with other O3 observations conducted in the Mediterranean basin and southern Europe in the past (Kouvarakis et al., 2002; Nolle et al., 2005; Ribas and Peñuelas, 2004; Di Carlo et al., 2007), the observations have clearly shown that the tropospheric seasonal cycle of background O3 is usually characterised by the presence of a broad spring–summer peak in this region. Thus, investigation of summer O3 variability is particularly important over the Mediterranean basin, considering that the region is frequently affected by episodes of peak O3 increases (Monks et al., 2009).
To contribute to filling this information gap, in the framework of the Station at High Altitude for Environmental Research (SHARE) project, continuous measurements of surface O3 and meteorological data were performed at a high mountain site in the central Italian Apennines (Campo Imperatore, Mt Portella). The measurements were also performed to verify the feasibility of installing a permanent monitoring station at this measurement site. Although technical problems limited the duration of the O3 measurements (from 6 to 27 August 2009), they nonetheless constitute a unique data-set of O3 observations at a high altitude site in central Italy, thus yielding the first direct information on summer O3 levels and variability.
The observed O3 concentrations were analysed as a function of local meteorological conditions and by means of three-dimensional back-trajectory simulations. Compared with previous investigations at other high mountain locations in Europe, because of its location at the centre of the Italian peninsula, CMP appears to be particularly suitable for investigating the effect of European pollution exported from continental Europe and the Italian peninsula across the Mediterranean Sea (Lelieveld et al., 2002; Duncan and Bey, 2004; Henne et al., 2005) and for directly characterising possible inputs from air masses originating from the marine boundary layer or higher tropospheric altitudes. Finally, comparison with satellite observations of O3 was conducted for preliminary (even if partial) evaluation of the representativeness of CMP observations on the broader scale for the experimental campaign period.
2 Materials and Methods
2.1 Site Description and Measurements
Region topography with CMP location
At CMP, surface O3 was measured, by use of a Dasibi 1108 UV-absorption analyser, from 6 to 27 August 2009. Zero checks were automatically performed every 24 h and the instrument was calibrated before and after the experimental campaign. Following Klausen et al. (2003), the combined uncertainty on the 1-min O3 measurements was less than ±2 ppbv in the 1–100 ppbv range. The O3 concentrations reported in this work refer to STP conditions (1,013 hPa and 0 °C), and time is expressed as local time (UTC + 1). Meteorological observations (air temperature, relative humidity, wind speed and direction) were recorded on a 1-min basis by use of an automatic weather station (Lastem LSI).
2.2 Air-Mass Back-Trajectory Calculations
To evaluate both the origin and different paths of the air masses reaching CMP, 120-h 3D back-trajectories were calculated with the HYSPLIT model (Draxler and Hess, 1998). The model calculations were based on the GDAS meteorological field produced by NCEP with a horizontal resolution of 1° × 1°. For every point along the trajectory (time resolution 1 h), the model provided the geographic location and altitude (or pressure level) of the air parcel. Sub-grid scale processes, for example convection and turbulent diffusion, are not represented by HYSPLIT back-trajectories. To compensate partially for these uncertainties, every 6 h starting from 6 August at 00:00 UTC, we calculated an ensemble of seven back-trajectories ending at the CMP site, at ±0.5° latitude/longitude and ±250 m altitude.
2.3 TES Satellite Measurements
For the purpose of partially assessing the representativeness of CMP measurements of regional tropospheric O3 variability, we compared the in-situ CMP O3 values with tropospheric O3 data obtained by the Tropospheric Emission Spectrometer (TES) on board NASA satellite Aura. TES is an infrared, high spectral resolution Fourier transform spectrometer operating in nadir mode, with an actual nadir footprint of ~5 km × 8 km, a spatial resolution of 2° in latitude/4° in longitude and two-day temporal resolution. As shown by Worden et al. (2007) and Nassar et al. (2008), TES can detect relative variations in the coarse vertical structure of tropospheric O3 and large-scale features of O3 spatial distribution. Here, we consider TES daily level 3 data, which are obtained by applying Delaunay triangulations on a latitude/longitude plane, followed by 2D interpolations for a fixed TES pressure level. The TES overpass time is approximately 13:30 UTC+1. However, to avoid any effect of midday up-slope flow, only CMP O3 measurements from 00:00 to 05:00 UTC+1 were used. This provided more representative information on the free troposphere and, thus, on larger-scale O3 variability.
3 Results
3.1 Meteorological Observations and Back-Trajectory Ensembles
During the experimental campaign the average air temperature was 11.4 ± 1.6 °C and the average RH 81 ± 16 %. Breezes were gentle (average values 4.6 ± 2.5 m s−1), with high occurrence of northerly (frequency 40 %) and north-easterly (36 %) wind direction (WD), and secondary contributions from the south-west (7 %), west (8 %), and north-west (6 %).
Concentration field for HYSPLIT with the number of back-trajectory points. Asterisks indicate the back-trajectory origins at 120 h
3.2 Tropospheric O3 Behaviour
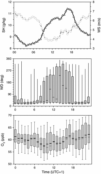
Upper plate time series of 30-min and daily average O3 values (black and grey continuous lines), and daily average atmospheric pressure (AP). Middle plate time series of air-temperature (black line, T) and relative humidity (grey line, RH). Bottom plate time series of wind speed (grey line, WS) and wind direction (crosses, WD)
Basic statistical data for O3 (expressed in ppb) at CMP, during the period 6–27 August 2009, as a function of local wind direction
| Data | Minimum | 25th percentile | Median | Average | 75th percentile | Maximum | St. dev. popa | Number of data |
|---|---|---|---|---|---|---|---|---|
| All data | 46.0 | 56.6 | 59.4 | 60.0 | 62.9 | 78.9 | 5.0 | 1,018 |
| N | 47.7 | 56.6 | 59.2 | 59.8 | 62.2 | 74.0 | 4.9 | 409 |
| NE | 46.7 | 57.6 | 60.1 | 60.6 | 63.5 | 75.4 | 4.7 | 369 |
| E | 50.8 | 58.9 | 60.1 | 59.6 | 60.6 | 66.6 | 2.9 | 20 |
| SE | 51.4 | 57.6 | 59.6 | 59.4 | 60.8 | 66.3 | 4.1 | 8 |
| S | 46.0 | 53.0 | 57.5 | 56.8 | 61.9 | 68.2 | 5.8 | 25 |
| SW | 48.7 | 55.5 | 58.5 | 58.8 | 62.2 | 71.3 | 4.7 | 70 |
| W | 52.1 | 55.4 | 59.5 | 60.9 | 64.1 | 78.9 | 6.9 | 46 |
| NW | 50.4 | 55.1 | 57.6 | 59.9 | 64.8 | 77.3 | 6.6 | 63 |
Summertime mean O3 values at CMP during the experimental campaign in comparison with the climatological values (period 2001–2008) reported by Gheusi et al. (2011) for five European mountain stations: Jungfraujoch (JFJ), Zugspitze (ZUG), Pic du Midi (PDM), Monte Cimone (CMN), Puy de Dôme (PUY). On the left (right): the y-axis reports the altitudes (latitudes) of the measurement sites
To investigate possible sources of O3 variability at CMP, O3 standard deviations were calculated on the basis of hourly and daily averages (σ 5.0 and 3.3 ppb, respectively). The CMP hourly variability is in the bottom range of the values presented by Chevalier et al. (2007) for European mountain stations, thus indicating a rather limited effect of diurnal scale processes (e.g. photochemical production, “thermal” transport of high O3 concentrations). However, the ratio of daily/hourly standard deviations (69 %) indicated that diurnal variability is very important in determining the total O3 variability at CMP. For this reason both diurnal and day-to-day synoptic-scale O3 variability are examined below.
3.2.1 O3 Diurnal Variations
Diurnal variations of specific humidity (black line, SH) and wind speed (gray line, WS) average hourly values (upper plate), local wind direction (middle plate) and surface O3 (bottom plate). For WD and O3 the box-and-whisker plots denote the 10th, 25th, 50th, 75th, and 90th percentiles of the hourly distributions. In the bottom plate, the bold line denotes mean hourly O3 values
Analysis of average hourly O3 values revealed a small “reverse” O3 diurnal cycle (average amplitude 5.0 ppb). In particular, lower average O3 values were observed during daytime and higher concentrations characterised nighttime observations. Such behaviour is similar to that at other high-altitude mountain sites: Bonasoni et al. (2000) and Fischer et al. (2003) reported similar findings at Mt Cimone (2,165 m a.s.l., northern Apennines). Such behaviour can be associated with transport of air masses depleted in O3 from the ABL during the morning hours (possibly affected by dry deposition) and with the presence of air masses richer in O3 and more representative of higher tropospheric layers during the night. Actually, by selecting O3 levels as a function of wind sector (Table 1), the lowest average O3 concentrations (56.8 ± 2.3 ppb) were observed in association with southerly winds, probably related to the upward transport of air masses from the lower troposphere by thermal circulation. Similar behaviour is also discernible in the upper and lower percentiles of the hourly O3 distributions, even if an increase in the highest percentiles (75th and 90th) around midday and late afternoon (16:00–17:00) suggests the possibility that polluted air masses richer in photochemical O3 could occasionally affect the site in association with upslope breezes. In particular, high O3 concentrations (mostly exceeding 70 ppb) were observed in the afternoon and evening, coinciding with diurnal wind rotation to the south and west under light breeze circulation (e.g. 9, 13, and 25 August). The probable source of these polluted air masses is the L’Aquila urban area. In fact, on the basis of the WS observed at CMP during midday–afternoon (ranging from 3 to 8 m/s) and assuming the value to be representative for the region near the measurement site, a transport distance of approximately 12–32 km in 1 h can be estimated. This distance encompassed L’Aquila, thus supporting the hypothesis that emissions from this urban area can affect CMP. With the objective of estimating O3 production within the ABL air masses ascending to CMP, we considered surface O3 data recorded at a sub-urban air-quality station in L’Aquila (AQU) on 9, 13, and 25 August. Then, we compared the highest O3 hourly values at AQU (recorded from 13:00 to 16:00) with those recorded at CMP (recorded from 16:00 to 24:00) during these days. O3 production rates ranging from 5 to 14 ppb/h along the transport path were deduced by calculating the ratio between the excess O3 observed at CMP and the time delay between the appearance of O3 peaks at AQU and CMP.
As shown by the analysis of the 10th and 25th percentiles, low O3 values can also be observed at CMP in the late evening. The meteorological observations (Fig. 4) suggested that this is the time of the transition between upward and downward flows at the site. Thus, the observed O3 depletion can be tentatively related to the recirculation of air masses relatively poor in O3 because of dry deposition or titration by NO in residual ABL air masses.
3.2.2 Effect of Synoptic-Scale Atmospheric Circulation
- On 8 August 2009, daily O3 values of 65 ppb were recorded at CMP. Back-trajectory analyses showed the measurement site was affected by air masses which originated over central and eastern Europe. In particular, during their transport toward central Italy and CMP (Fig. 6a), these air masses travelled at relatively low altitudes (at pressures greater than 800 hPa) over Romania, Bulgaria, and the Czech Republic. As reported by the European Environment Agency (EEA 2010), on 1–3 August 2009, exceedances of the O3 information threshold (180 μg m−3 or 90 ppb) were recorded in these countries. Thus, despite a possible contribution related to the transport of polluted air masses from the regional ABL by local “thermal” winds, the possibility that the high O3 values at CMP might be because of photochemical O3 production over west and central Europe cannot be ruled out.Fig. 6
HYSPLIT five-day back-trajectories ending at the CMP location on 8 August 2009 (a), 12–13 August 2009 (b), 20–21 August 2009 (c), and 24 August 2009 (d). The coloured scale indicates the pressure level of the back-trajectory points
-
On 12–13 August 2009, average daily values of 63 ppb were observed with hourly peak values of 71 and 68 ppb. On 12 August, surface O3 started to increase from around 12:00 (55 ppb) to 16:00–18:00 (70 ppb). During this period, north-northwesterly winds prevailed, with high RH (100 %). On 13 August at 00:00, RH started to decrease with relatively dry conditions (RH approx. 58 %, substantially lower than the average for the experimental campaign) being observed until 16:00. Until 12:00, relatively high O3 values were observed (up 67 ppb), with northerly winds. Southerly winds started to develop only from 12:00, thus with a time delay of approximately 5 h compared with the typical conditions (Fig. 5). From midday of 12 August, the atmospheric circulation was characterised by air-masses originating over central Europe at relatively low pressures (900 hPa), whereas starting from 13 August air masses from the middle troposphere (at pressures below 600 hPa) of the western Europe/Atlantic Ocean were identified by HYSPLIT (Fig. 6b). Thus it is likely that anthropogenic contributions from central Europe and air masses from the “free troposphere” both contributed to determining the high O3 levels. As reported in previous work (Henne et al., 2005), summer dry convection and ABL growth over the European continent can favour the transport of polluted air masses to altitudes that would usually be in the free troposphere. Thus, the possibility that the O3 increase at CMP was because of pollution enrichment of air masses travelling at relatively high altitudes over west-central Europe cannot be excluded.
-
On 20–21 August, the highest O3 concentrations of the experimental campaign were observed. In particular, on 21 August, a daily mean concentration of 68 ppb was recorded (peak hourly value 73 ppb). During this period, relatively low RH (average value 60 %) with moderate to high northerly winds were continuously observed at the measurement site, possibly indicating a major effect of synoptic-scale circulation. In this context, the HYSPLIT back-trajectory analyses (Fig. 6c) showed that two different classes of atmospheric circulation possibly affected CMP: (1) westerly air masses originating from the western Europe/Atlantic Ocean “free troposphere” (from 20 August 00:00 to 21 August 9:00); (2) air masses which originated in and travelled over the ABL (pressure greater than 1,000 hPa) of the Balkan peninsula (from 21 August 12:00 to 22 August). These circulations were associated with the occurrence of a high pressure system over central Italy, as reflected by the increase in the atmospheric pressure at CMP (Fig. 3). The “free tropospheric” air masses were concomitant with the highest O3 peak on the night between 20 and 21 August, and the eastern Europe air masses possibly contributed to the O3 peak during the afternoon and evening of 21 August. Such evidence suggests that air masses enriched in O3 from the free troposphere and continental Europe ABL could both have contributed to determining the high O3 values at CMP.
-
High hourly O3 values were also recorded at CMP on 24 August (up to 74 ppbv at 19:00). In this case, the occurrence of weak to moderate (up to 8 m s−1) northerly winds suggests that direct transport by upslope thermal winds was unlikely. Nevertheless, the high RH values (up to 100 %) indicated possible contributions by air masses enriched in water vapour from the lower troposphere. This possibility was supported by the HYSPLIT analyses (Fig. 6d), which were indicative of substantial air-mass recirculation over central Italy and eastern Europe at pressures greater than 1,000 hPa, suggesting that uplift of polluted air masses from the ABL of these regions could contribute to the O3 increase at CMP.
3.2.3 Analysis of Surface O3 as a Function of Back-Trajectory Clusters
Field concentrations of back-trajectory points for the five air-mass clusters: Atlantic Ocean (a), western Europe (b), continental Europe (c), eastern Europe (d), Mediterranean basin (e). The coloured bar denotes the number of back-trajectory points on a logarithmic scale
- 1.
Continental Europe (CE): air masses slowly passing or recirculating over central–eastern Europe and central–northern Italy, mostly with mixing below 2,000 m a.g.l. (frequency of occurrence 23.0 %; main pollution source areas: north Italy, south Germany, the “Black Triangle”1);
- 2.
Western Europe (WE): air masses experiencing anti-cyclonic subsidence, and from western Europe and the Atlantic Ocean, travelling to continental Europe at altitudes above 2,000 m a.g.l. (frequency of occurrence 24.2 %);
- 3.
Atlantic Ocean (AO): air masses with five-day origin over the Atlantic Ocean, travelling mainly at altitudes above 3,000 m a.s.l. and never descending lower than the CMP altitude (8.4 %);
- 4.
Mediterranean basin (MB): air masses which mostly originated or passed over the Tyrrhenian and northern Mediterranean seas at altitudes below 3,000 m a.g.l. (32 %; possible pollution source Italy, southern France);
- 5.
Eastern Europe (EE): air masses reaching CMP with north-easterly circulation, associated with very different air mass altitudes, ranging from below 1,000 to 5,000 m a.g.l. (12.4 %; pollution source areas Poland, Hungary, Czech Republic, Slovakia).
Analysis of the vertical back-trajectory motions (not reported here) showed that, apart from AO and WE circulations, mixing with lower tropospheric air-masses (possibly affected by anthropogenic emissions within the ABL) was likely for all the circulation classes.
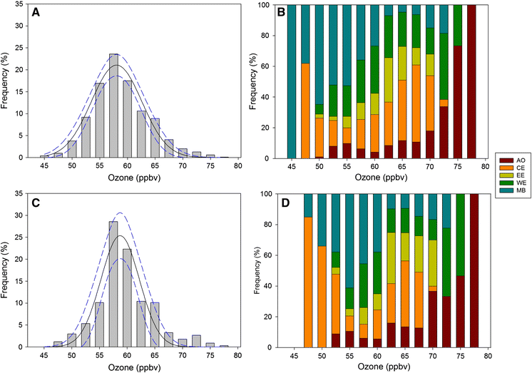
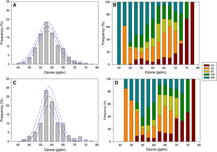
Statistical distribution of hourly O3 values at CMP during the field campaign for all data (a) and for nighttime (c). Gaussian fits (continuous line) with 95 % confidence level (dashed lines) are also reported. Percentage contribution of air-mass circulation occurrence (AO Atlantic Ocean, CE continental Europe, EE eastern Europe, WE western Europe, MB Mediterranean basin) for each bin of the O3 values are reported on the right for all data (b) and for nighttime (d)
Figure 8a also reports the calculated fit with the interval (dashed lines) for the 95 % confidence level. For each O3 value bin, we calculated the percentage of the air-mass cluster occurrence (Fig. 8b). As deduced by this analysis, the contribution of MB air-masses is maximized for O3 concentrations ranging from the lowest values to the distribution peak, whereas it decreased for O3 higher than 60 ppbv. On the other hand, the occurrence of CE and EE air-masses increased with increasing O3 values. In particular, the CE cluster is the atmospheric circulation prevailing (with 40 % of occurrence) for O3 values between 65 and 70 ppbv. As shown in Fig. 8b, a generally low occurrence of AO circulation was observed for the different O3 values. Only the upper O3 values observed at CMP were mostly associated with air-masses related with WE and AO circulations, suggesting that O3-enriched air masses from the free troposphere could significantly contribute to the episodic occurrence of these high O3 concentrations at the measurement site.
With the objective of studying the “baseline” atmospheric conditions (i.e. neglecting the effect of daytime thermal upward transport), the same analysis was repeated considering nighttime data only (00:00–06:00), which represent 34.5 % of the whole data-set. Even if the population distribution of O3 values was characterised by the same modal peak (x 0 = 58.73 ± 0.37 ppb), it appeared more peaked than for the all data selection (Fig. 8c), as also testified by the different fitting data of the Gaussian fit (a = 25.36 ± 2.37, b = 3.47 ± 0.37). This was mostly related to a higher relative occurrence of O3 values ranging from 55.0 to 62.5 ppb and a lower relative occurrence of O3 values from 50.0 to 57.5 ppbv. It suggests that nighttime observations at CMP were more frequently affected by “baseline” atmospheric conditions with a lower relative contribution of low O3 episodes (possibly related to the diurnal upward transport of ABL air-masses depleted in O3). The distribution of air-mass occurrence for the different O3 values did not differ substantially from that when all the data were selected (Fig. 7d): MB air-mass circulation was tagged with low O3 concentrations (~55 ppb), CE and EE circulations were frequently observed for the upper quartile of the O3 distribution, and the highest O3 concentrations (>72. 5 ppb) were related to the occurrence of AO and WE air masses.
4 Comparison with Satellite Measurements
Daily TES ozone mixing ratio over the CMP region for the 681 hPa layer and for different spatial aggregations (1 × 1° and 3 × 3°: green and red lines, respectively). For comparison, CMP daily O3 values obtained by averaging the hourly values for nighttime (from 0:00 to 5:00 UTC+1) are reported (blue line)
5 Summary and Discussion
An experimental campaign conducted at Campo Imperatore, Mt Portella, (CMP) during August 2009 has enabled preliminary evaluation of the summer background O3 variability at a high remote mountain site over central Italy. During the period considered, average O3 values were 60.0 ± 5.1 ppb. As deduced from the analysis of average O3 values and diurnal and day-to-day O3 variability, the CMP observations were comparable with measurements at other European mountain stations. On a daily basis, surface O3 values seemed to be affected by mountain “thermal” wind, i.e. upslope flow during daytime and downslope flow during nighttime. Even if, on average, this daily wind variation led to the appearance of a small “reverse” O3 diurnal cycle (average amplitude 5.0 ppb), polluted air masses richer in photochemical O3 could episodically affect the site, in association with upslope breezes.
Analysis of specific O3 episodes indicates that synoptic-scale transport processes contributed to O3 variability at CMP during the period investigated. To capture the main synoptic-scale flows occurring at the measurement site during the experimental campaigns, cluster analysis was applied to the HYSPLIT five-day back-trajectory ensembles calculated for CMP. This analysis led to identification of five principal circulation patterns affecting the site: continental Europe, CE (frequency of occurrence 23.0 %); western Europe, WE (24.2 %); eastern Europe, EE (12.4 %); Mediterranean basin, MB (32.0 %); and Atlantic Ocean, AO (8.4 %). Both for the “all-data” and “nighttime” data selection, the MB circulation (average O3 57.3 ± 4.1 and 59.1 ± 3.9 ppb, respectively) prevail for the lowest range of observed O3 values, whereas the upper range of the distribution is mostly related to the CE (average O3 60.6 ± 5.3 ppb; 60.2 ± 5.7 ppb) and EE (average O3 61.8 ± 3.8 ppb; 62.6 ± 3.9 ppb) air masses. This suggests that atmospheric conditions connected with these circulation classes favoured the presence of high O3 values at CMP. The authors speculate that this could be because of the large anthropogenic emissions occurring in Europe and in northern/central Italy, and the meteorological conditions (i.e. anti-cyclonic conditions over Europe and the Mediterranean basin), which favour photochemical O3 production and enhance vertical transport of anthropogenic pollution on both continental and regional scales (Henne et al., 2005; Cristofanelli et al., 2009). Finally, it is observed that air masses from the free troposphere embedded within AO and WE circulations can favour the occurrence of specific high-O3 events.
Despite the relatively short time period, the analysis reported here shows that atmospheric observations at CMP can provide useful information enabling better characterisation of atmospheric variability in the Mediterranean region. Furthermore, we compared satellite-based observations of tropospheric O3 obtained by the NASA-TES instrument with in-situ CMP measurements. Despite a positive bias characterising TES measurements relative to CMP observations (ranging from 12 to 13 %, on average), the two time series had much similarity. All the above evidence indicates that the installation of a permanent facility for atmospheric composition observations at the CMP site could enable better investigation of the processes affecting the background troposphere of the Mediterranean basin. Being located more than 350 km south-east of the high mountain station of Mt Cimone, CMP can provide complementary information. For the field campaign period, the HYSPLIT back-trajectory analyses (not shown) showed that CMP was more affected by air masses from eastern Europe and the central Mediterranean basin than Mt Cimone, which was more affected by north-westerly air masses. Thus, this preliminary investigation suggests that a permanent station at CMP would be a very useful means of improving our knowledge of tropospheric variability in the Mediterranean basin (during the field campaign presented here, 32 % of six-day back-trajectories originated in, and recirculated over, this region). Together with the Alpine stations and the Mt Cimone station in the northern Apennines, CMP could become part of a system of high-mountain stations extending through the Mediterranean basin.
Footnotes
- 1.
The ‘‘Black Triangle’’ is defined as the area between Germany’s southern Saxony; Poland’s Lower Silesia, and the Czech Republic’s northern Bohemia.
Notes
Acknowledgments
This work was supported by the Ev-K2-CNR project SHARE (Stations at High Altitude for Research on the Environment) and the DTA-MIUR NextData Project. P. Di Carlo’s work was supported by Fondazione CARISPAQ. The authors gratefully acknowledge the Rome section of the Italian CAI for hosting instruments in the Rifugio Duca deli Abruzzi. The authors also thank NOAA-ARL for providing the HYSPLIT model and NCEP GDAS meteorological input data on their web-site. The TES data used in this paper were produced with the Giovanni online data system, developed and maintained by the NASA GES DISC. We also acknowledge the TES mission scientists and associated JPL personnel for the production of the data used in this research. Ozone data for L’Aquila were provided by ARPA-Abruzzo via the on-line data base BRACE maintained by ISPRA (Istituto Superiore per la Protezione e la Ricerca Ambientale) at the web address http://www.brace.sinanet.apat.it. Finally, the authors are grateful to the three anonymous referees for their valuable suggestions.
References
- Bonasoni, P., Stohl, A., Cristofanelli, P., Calzolari, F., Colombo,T., Evangelisti, F. (2000), Background ozone variations at Mt Cimone, Atmos. Environ. 34, 29–30.Google Scholar
- Carnuth, W., Kempfer, U., and Trickl, T. (2002), Highlights of the tropospheric lidar studies at IFU within the TOR project, Tellus B 54, 163–185.Google Scholar
- Chevalier, A., Gheusi, F., Delmas, R., Ordónez, C., Sarrat, C., Zbinden, R., Thouret, V., Athier, G., and Cousin, J-M. (2007), Influence of altitude on ozone levels and variability in the lower troposphere: a ground-based study for western Europe over the period 2001–2004, Atmos. Chem. Phys. 7, 4311–4326.Google Scholar
- Cristofanelli, P. and Bonasoni, P. (2009), Background ozone in the southern Europe and Mediterranean area: influence of the transport processes, Environ. Poll. 157, 399–1406.Google Scholar
- Cristofanelli, P., Marinoni, A., Arduini, J., Bonafè, U., Calzolari, F., Colombo, T., Decesari, S., Duchi, R., Facchini, M. C., Fierli, F., Finessi, E., Maione, M., Chiari, M., Calzolai, G., Messina, P., Orlandi, E., Roccato, F., and Bonasoni, P. (2009), Significant variations of trace gas composition and aerosol properties at Mt Cimone during air mass transport from North Africa—contributions from wildfire emissions and mineral dust, Atmos. Chem. Phys. 9, 4603–4619.Google Scholar
- Di Carlo, P., Pitari, G., Mancini, E., Gentile, S., Pichelli, E. and Visconti G. (2007), Evolution of surface ozone in central Italy based on observations and statistical model, J. Geophys. Res. 112, D10316, doi: 10.1029/2006JD007900.
- Dorling, S.R., Davies, T.D., Pierce, C.E. (1992), Cluster analysis: A technique for estimating the synoptic meteorological controls on air and precipitation chemistry—Method and applications, Atmos. Environ. 26, 2575–2581.Google Scholar
- Draxler, R.R., and Hess, G.D. (1998), An overview of the HYSPLIT_4 modeling system of trajectories, dispersion, and deposition, Aust. Meteor. Mag. 47, 295–308.Google Scholar
- Duncan, B.N., Bey, I. (2004), A modeling study of the export pathways of pollution from Europe: seasonal and interannual variations (1987–1997), J. Geophys. Res. 109, D08301.Google Scholar
- European Environment Agency (2009) Air pollution by ozone across Europe during summer, Technical report No 2/2010. (European Environment Agency, Copenaghen 2010)Google Scholar
- Fischer, H., Kormann, R., Klüpfel, T., Gurk, C., Königstedt, R., Parchatka, U., Mühle, J., Rhee, T.S., Brenninkmeijer, C.A.M., Bonasoni, P. and Stohl, A. (2003), Ozone production and trace gas correlations during the June 2000 MINATROC intensive measurement campaign at Mt Cimone, Atmos. Chem. Phys. 3, 725–738.Google Scholar
- Forster, P., Ramaswamy, V., Artaxo, P. et al.: Changes in Atmospheric Constituents and in Radiative Forcing, In Climate Change 2007: The Physical Science Basis. Contribution of Working Group I to the Fourth Assessment Report of the Intergovernmental Panel on Climate Change (eds. Solomon, S., Qin, D., Manning, M., Chen, Z., Marquis, M., Averyt, K.B., Tignor, M., Miller, H.L.) (Cambridge University Press, Cambridge, United Kingdom and New York, NY, USA, 2007).Google Scholar
- Gheusi, F., Ravetta, F., Delbarre, H., Tsamalis, C., Chevalier-Rosso, A., Leroy, C., Augustin, P., Delmas, R., Ancellet, G., Athier, G., Bouchou, P., Campistron, B., Cousin, J.-M., Fourmentin, M., Meyerfeld, Y. (2011), Pic 2005, a field campaign to investigate low-tropospheric ozone variability in the Pyrenees, Atmos. Res. 101, 640–665.Google Scholar
- Henne, S., Dommen, J., Neininger, B., Reimann, S., Staehelin, J., and Prévôt, A. S. H. (2005), Influence of mountain venting in the Alps on the ozone chemistry of the lower free troposphere and the European pollution export, J. Geophys. Res. 110, D22307, doi: 10.1029/2005JD005936.
- Henne,, S., Solberg, S., Brunner, D., Folini, D., Klausen, J., Fleming, Z., and Buchmanns, B. (2008), Analysis of Ground Based Site Representativeness for European Scale Trend Analysis, GRA. 10, EGU2008-A-09402.Google Scholar
- Jacobson, M.Z., Atmospheric Pollution: history, science and regulation (Cambridge University Press, Cambridge, UK, 2002).Google Scholar
- Klausen, J., Zellweger, C., Buchmann, B., Hofer, P. (2003), Uncertainty and bias of surface ozone measurements at selected Global Atmosphere Watch sites, J. Geophys. Res. 108 (D19), 4622, doi: 10.1029/2003JD003710.
- Kouvarakis, G., Vrekoussis, M., Mihalopoulos, N., Kourtidis, K., Rappenglueck, B., Gerasopoulos, E., Zerefos, C., 2002. Spatial and temporal variability of tropospheric ozone in the boundary layer above the Aegean Sea (eastern Mediterranean), J. Geophys. Res. 107 (D18), 8137, doi: 10.1029/2000JD000081.
- Lelieveld, J., Berresheim, H., Borrmann, S., Crutzen, P. J., Dentener, F. J., Fischer, H., Feichter, J., Flatau, P. J., Heland, J., Holzinger, R., Kormann, R., Lawrence, M. B., Levin, Z., Markowicz, K., Mihalopoulos, N., Minikin, A., Ramanthan, V., de Reus, M., Roelofs, G. J., Scheeren, H. A., Sciare, J., Schlager, H., Schulz, M., Siegmund, P., Steil, B., Stephanou, E. G., Stier, P., Traub, M., Warneke, C., Williams, J., and Ziereis, H. (2002), Global air pollution crossroads over the Mediterranean, Science 298, 794–799.Google Scholar
- Lolis, C. J., Metaxas, D. A., and Bartzokas, A. (2008), On the intra-annual variability of atmospheric circulation in the Mediterranean region, Int. J. Climatol. 28: 1339–1355.Google Scholar
- Monks, P.S., et al. (2009), Atmospheric composition change – global and regional air quality, Atmos. Environ. 43, 5268–5350.Google Scholar
- Mickley, L. J., Jacob D. J., Field B. D., and Rind D. (2004), Climate response to the increase in tropospheric ozone since preindustrial times: A comparison between ozone and equivalent CO 2 forcings, J. Geophys. Res. 109, D05106, doi: 1029/2003JD003653.
- Nassar, R., Logan, J.A., Worden, H.M., et al. (2008), Validation of Tropospheric Emission Spectrometer (TES) nadir ozone profiles using ozonesonde measurements, J. Geophys. Res. 113, D15S17, doi: 10.1029/2007JD008819.
- Nolle, M., Ellul, R., Ventura, F., Güsten, H.A., 2005, Study of historical surface ozone measurements (1884-1900) on the island of Gozo in the central Mediterranean, Atmos. Environ. 39, 5608–5618.Google Scholar
- Prèvôt, A.S.H., Dommen, J., Ba¨umle, M., Furger, M., (2000). Diurnal variations of volatile organic compounds and local circulation systems in an Alpine valley, Atmos. Environ. 34, 1413–1434.Google Scholar
- Ribas, A., Peñuelas, J., 2004, Temporal patterns of surface ozone levels in different habitats of the North Western Mediterranean basin, Atmos. Environ. 38, 985–992.Google Scholar
- Tarasova, O. A., Brenninkmeijer, C. A. M., Jöckel, P., Zvyagintsev, A. M., and Kuznetsov, G. I. (2007), A climatology of surface ozone in the extra tropics: cluster analysis of observations and model results, Atmos. Chem. Phys. 7, 6099-6117, doi: 10.5194/acp-7-6099-2007.
- UNEP and WMO (2011), Integrated Assessment of Black Carbon and Tropospheric Ozone, Bart Ullstein (Ed.), Banson, UK.Google Scholar
- Vautard R., Honoré C., Beekmann M., Rouil L. (2005), Simulation of ozone during the August 2003 heat wave and emission control scenarios, Atmos. Environ. 39, 2957–2967.Google Scholar
- West J. J., Naik V., Horowitz L. W., and Fiore A. M. (2009), Effect of regional precursor emission controls on long-range ozone transport – Part 2: Steady-state changes in ozone air-quality and impacts on human mortality, Atmos. Chem. Phys. 9, 6095–6107, doi: 10.5194/acp-9-6095-2009.
- Worden, H. M., Logan, J.A., Worden, J.R., et al. (2007), Comparisons of Tropospheric Emission Spectrometer (TES) ozone profiles to ozonesondes: Methods and initial results, J. Geophys. Res. 112, D03309, doi: 10.1029/2006JD007258.
- Zellweger, C., Ammann, M., Buchmann, B., Hofer, P., Lugauer, M., Ruettimann, R., Streit, N., Weingartner, E., and Baltensperger, U. (2000), Summertime NO y speciation at the Jungfraujoch, 3580 m above sea level, Switzerland, J. Geophys. Res. 105(D5), 6655–6667.Google Scholar
Copyright information
Open AccessThis article is distributed under the terms of the Creative Commons Attribution License which permits any use, distribution, and reproduction in any medium, provided the original author(s) and the source are credited.








